E
|
Tasto u |
|
|
e^(Valore1)Þvalore Restituisce e elevato alla potenza di Valore1. Nota: vedere anche e modello di funzione esponenziale, qui. Nota: premere u per visualizzare e^( è diverso da accedere al carattere E dalla tastiera. Un numero complesso può essere inserito nella forma polare rei q. Usare questa forma solo nella modalità di misurazione degli angoli in radianti; nella modalità in gradi o gradianti causa un errore del dominio. |
|
|
e^(Lista1)Þlista Restituisce e elevato alla potenza di ciascun elemento di Lista1. |
|
|
e^(matriceQuadrata1)ÞmatriceQuadrata Restituisce l’esponenziale della matrice di matriceQuadrata1. Ciò non equivale a calcolare e elevato alla potenza di ciascun elemento. Per informazioni sul metodo di calcolo, vedere cos(). matriceQuadrata1 deve essere diagonalizzabile. Il risultato contiene sempre numeri a virgola mobile. |
|
|
Catalogo > |
|
|
eff(tassoNominale,CpY)Þvalore Funzione finanziaria che converte il tasso di interesse nominale tassoNominale in un tasso effettivo annuo, essendo CpY il numero di periodi di capitalizzazione per anno. tassoNominale deve essere un numero reale e CpY deve essere un numero reale > 0. Nota: vedere anche nom(), qui. |
|
|
Catalogo > |
|
|
eigVc(matriceQuadrata)Þmatrice Restituisce una matrice contenente gli autovettori per una matriceQuadrata reale o complessa, in cui ogni colonna del risultato corrisponde ad un autovalore. Tenere presente che un autovettore non è univoco; esso infatti può essere scalato per qualsiasi fattore costante. Gli autovettori vengono normalizzati, cioè se V = [x1, x2, …, xn], allora: x12 + x22 + … + xn2 = 1 matriceQuadrata viene dapprima equilibrata con similitudini fino a quando le norme di riga e colonna sono il più vicino possibili allo stesso valore. matriceQuadrata viene quindi ridotta nella forma superiore di Hessenberg mentre gli autovettori vengono calcolati con una scomposizione in fattori di Schur. |
In modalità formato rettangolare complesso:
Per vedere l'intero risultato, premere 5, quindi utilizzare 7 e 8 per spostare il cursore. |
|
Catalogo > |
|
|
eigVl(matriceQuadrata)Þlista Restituisce la lista degli autovalori di una matriceQuadrata reale o complessa. matriceQuadrata viene dapprima equilibrata con similitudini fino a quando le norme di riga e colonna sono il più vicino possibili allo stesso valore. matriceQuadrata viene quindi ridotta nella forma superiore di Hessenberg mentre gli autovalori vengono calcolati dalla matrice superiore di Hessenberg. |
In modalità formato rettangolare complesso:
Per vedere l'intero risultato, premere 5, quindi utilizzare 7 e 8 per spostare il cursore. |
|
Vedere If, qui. |
|
|
|
|
|
Catalogo > |
|
|
If Espressione booleana1 Then Nota per l'inserimento dell'esempio: per istruzioni sull'inserimento di definizioni di programmi e funzioni costituite da più righe, consultare la sezione Calcolatrice del manuale del prodotto. |
|
|
Vedere For, qui. |
|
|
|
|
|
Vedere Func, qui. |
|
|
|
|
|
Vedere If, qui. |
|
|
|
|
|
Vedere Loop, qui. |
|
|
|
|
|
Vedere Prgm, qui. |
|
|
|
|
|
Vedere Try, qui. |
|
|
|
|
|
Vedere While, qui. |
|
|
|
|
|
Catalogo > |
|
|
Utilizza il metodo di Eulero per risolvere il sistema
con varDipendente(Var0)=varDipendente0 nell'intervallo [Var0,VarMax]. Restituisce una matrice la cui prima riga definisce i valori ottenuti di Var e la cui seconda riga definisce il valore del primo componente della soluzione per i valori di Var corrispondenti, e così via. Espr è il secondo membro che definisce l'equazione differenziale ordinaria (ODE). SistemaDiEspr è il sistema di secondi membri che definiscono il sistema di ODE (corrisponde all'ordine di variabili dipendenti in ListaDiVarDipendenti). ListaDiEspr è una lista di secondi membri che definisce il sistema di ODE (corrisponde all'ordine di variabili dipendenti in ListaDiVarDipendenti). Var è la variabile indipendente. ListaDiVarDipendenti è una lista di variabili dipendenti. {Var0, VarMax} è una lista a due elementi che indica la funzione di integrare da Var0 a VarMax. ListaDiVarDipendenti0 è una lista di valori iniziali di variabili dipendenti. incrVar è un numero diverso da zero tale che incrEulero è un numero intero positivo (predefinito a 1) che definisce il numero di incrementi di Eulero tra i valori ottenuti. La dimensione effettiva dell'incremento utilizzato dal metodo di Eulero è incrVaràincrEulero. |
Equazione differenziale: y'=0.001*y*(100-y) e y(0)=10
Per vedere l'intero risultato, premere 5, quindi utilizzare 7 e 8 per spostare il cursore.
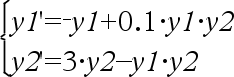
Sistema di equazioni
con y1(0)=2 e y2(0)=5
|
|
Menu Hub |
|
|
eval() è valido solo in TI-Innovator™ Hub Argomento del comando delle istruzioni di programmazione Get, GetStr e Send. Il software calcola l'espressione Espr e sostituisce l'istruzione eval() con il risultato come stringa di caratteri. L'argomento Espr deve essere semplificato in un numero reale. |
Impostare l'elemento blu del LED RGB su metà intensità.
Reimpostare l'elemento blu su OFF.
L'argomento eval() deve essere semplificato in un numero reale.
Programmare per aumentare gradualmente l'elemento rosso
Eseguire il programma.
|
|
Anche se eval() non mostra il suo risultato, è possibile visualizzare la stringa del comando Hub risultante dopo l'esecuzione del comando controllando ciascuna delle seguenti variabili speciali. iostr.SendAns |
|
|
Catalogo > |
|
|
Exit Permette di uscire dal blocco corrente For, While o Loop. Exit non è ammesso al di fuori delle tre strutture iterative (For, While o Loop). Nota per l'inserimento dell'esempio: per istruzioni sull'inserimento di definizioni di programmi e funzioni costituite da più righe, consultare la sezione Calcolatrice del manuale del prodotto. |
Descrizione della funzione:
|
|
Tasto u |
|
|
exp(Valore1)Þvalore Restituisce e elevato alla potenza di Espr1. Restituisce e elevato alla potenza di Valore1. Nota: vedere anche e modello di funzione esponenziale, qui. Un numero complesso può essere inserito nella forma polare rei q. Usare questa forma solo nella modalità di misurazione degli angoli in radianti; nella modalità in gradi o gradianti causa un errore del dominio. |
|
|
exp(Lista1)Þlista Restituisce e elevato alla potenza di ciascun elemento di Lista1. |
|
|
exp(matriceQuadrata1)ÞmatriceQuadrata Restituisce l’esponenziale della matrice di matriceQuadrata1. Ciò non equivale a calcolare e elevato alla potenza di ciascun elemento. Per informazioni sul metodo di calcolo, vedere cos(). matriceQuadrata1 deve essere diagonalizzabile. Il risultato contiene sempre numeri a virgola mobile. |
|
|
Catalogo > |
|
|
expr(Stringa)Þespressione Restituisce la stringa di caratteri contenuta in Stringa come espressione e la esegue subito. |
|
|
Catalogo > |
|
|
ExpReg X, Y [, [Freq][, Categoria, Includi]] Calcola la regressione esponenzialey = a·(b)xsulle liste X e Y con frequenza Freq. Il riepilogo dei risultati è memorizzato nella variabile stat.results. (qui). Tutte le liste devono avere le stesse dimensioni, ad eccezione di Includi. X e Y sono liste di variabili indipendenti e dipendenti. Freq è una lista opzionale di valori di frequenza. Ciascun elemento di Freq specifica la frequenza di occorrenza di ogni dato corrispondente di X e Y. Il valore predefinito è 1. Tutti gli elementi devono essere numeri interi | 0. Categoria è una lista Includi è una lista di uno o più codici di categoria. Solo quei dati il cui codice di categoria è inserito in questa lista vengono inclusi nel calcolo. Per informazioni sull'effetto di elementi vuoti in una lista, vedere “Elementi vuoti (nulli)”, qui. |
|
|
Variabile di output |
Descrizione |
|
stat.RegEqn |
Equazione di regressione: a·(b)x |
|
stat.a, stat.b |
Coefficienti di regressione |
|
stat.r2 |
Coefficiente di determinazione lineare di dati trasformati |
|
stat.r |
Coefficiente di correlazione per dati trasformati (x, ln(y)) |
|
stat.Resid |
Residui associati al modello esponenziale |
|
stat.ResidTrans |
Residui associati all’adattamento lineare dei dati trasformati |
|
stat.XReg |
Lista di punti dati della Lista X modificata attualmente usata nella regressione secondo le restrizioni di Freq, Lista Categoria e Includi Categorie |
|
stat.YReg |
Lista di punti dati della Lista Y modificata attualmente usata nella regressione secondo le restrizioni di Freq, Lista Categoria e Includi Categorie |
|
stat.FreqReg |
Lista di frequenze corrispondenti a stat.XReg e stat.YReg |

