P
|
Catalogo > |
|
|
P4Rx(rEspr, qEspr)Þespressione P4Rx(rLista, qLista)Þlista P4Rx(rMatrice, qMatrice)Þmatrice Restituisce la coordinata x equivalente della coppia (r, q). Nota: l’argomento q viene interpretato come angolo in gradi, gradianti o radianti, conformemente alla modalità di misurazione degli angoli impostata. Se l’argomento è un’espressione, si può utilizzare il simbolo ¡, G o R per escludere tale impostazione provvisoriamente. Nota: è possibile inserire questa funzione dalla tastiera del computer digitando P@>Rx(...). |
In modalità angolo in radianti:
|
|
Catalogo > |
|
|
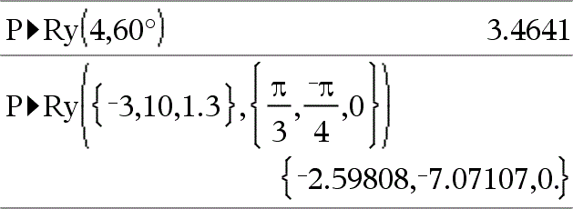
P4Ry(rValore, qValore)Þvalore P4Ry(rLista, qLista)Þlista P4Ry(rMatrice, qMatrice)Þmatrice Restituisce la coordinata y equivalente della coppia (r, q). Nota: l’argomento q viene interpretato come angolo in gradi, gradianti o radianti, conformemente alla modalità di misurazione degli angoli impostata. Nota: è possibile inserire questa funzione dalla tastiera del computer digitando P@>Ry(...). |
In modalità angolo in radianti:
|
|
Catalogo > |
|
|
PassErr Passa un errore al livello successivo. Se la variabile di sistema errCode è zero, PassErr non esegue alcuna azione. L’istruzione Else del blocco Try...Else...EndTry dovrebbe utilizzare ClrErr o PassErr. Se l’errore deve essere elaborato o ignorato, utilizzare ClrErr. Se non si sa quale azione applicare all’errore, utilizzare PassErr per inviarlo al successivo blocco di gestione degli errori. Se non ci sono ulteriori blocchi di gestione degli errori Try...Else...EndTry in attesa di applicazione, la finestra di dialogo dell’errore viene visualizzata come normale. Nota: Controlla anche ClrErr, qui, e Try, qui. Nota per l'inserzione dell'esempio: Nell'applicazione Calcolatrice sul palmare, è possibile inserire definizioni su più linee premendo @ invece di · alla fine di ogni riga. Sulla tastiera del computer, mantenere premuto Alt e premere Invio. |
Per un esempio di PassErr, vedere l’esempio 2 del comando Try, qui. |
|
Catalogo > |
|
|
piecewise(Espr1 [, Condizione1 [, Espr2 [, Condizione2 [, … ]]]]) Restituisce definizioni di una funzione piecewise (definita a tratti) sotto forma di elenco. È inoltre possibile creare definizioni piecewise utilizzando un modello. Nota: vedere anche Modello di funzione piecewise a qui. |
|
|
Catalogo > |
|||||||
|
Vettore 4Polare Nota: è possibile inserire questo operatore dalla tastiera del computer digitando @>Polar. Visualizza vettore in forma polare [r∠θ]. Il vettore deve essere bidimensionale e può essere sia una riga che una colonna. Nota: 4Polar è un’istruzione in formato di visualizzazione, non una funzione di conversione. Tale istruzione può essere impiegata solo alla fine di una riga di introduzione e non aggiorna ans. Nota: vedere anche 4Rect, qui. |
|
||||||
|
valoreComplesso 4Polar Visualizza vettoreComplesso in forma polare.
valoreComplesso può avere una forma complessa qualsiasi. Tuttavia una voce reiθ causa un errore nella modalità di misurazione degli angoli in gradi. Nota: è necessario usare le parentesi per un inserimento polare (r∠θ). |
In modalità angolo in radianti:
In modalità angolo in gradianti (gradi centesimali):
In modalità angolo in gradi:
|
|
Catalogo > |
|
|
polyEval(Lista1, Espr1)Þespressione polyEval(Lista1, Lista2)Þespressione Interpreta il primo argomento come coefficiente di un polinomio di grado decrescente e restituisce il polinomio calcolato per il valore del secondo argomento. |
|
|
Catalogo > |
|
|
La prima sintassi,
La seconda sintassi, Nota: vedere anche |
|
|
Catalogo > |
|
|
PowerReg X,Y [, Freq] [, Categoria, Includi]] Calcola la regressione su potenzay = (a·(x)b)sulle liste X e Y con frequenza Freq. Il riepilogo dei risultati è memorizzato nella variabile stat.results. (qui). Tutte le liste devono avere le stesse dimensioni, ad eccezione di Includi. X e Y sono liste di variabili indipendenti e dipendenti. Freq è una lista opzionale di valori di frequenza. Ciascun elemento di Freq specifica la frequenza di occorrenza di ogni dato corrispondente di X e Y. Il valore predefinito è 1. Tutti gli elementi devono essere numeri interi | 0. Categoria è una lista Includi è una lista di uno o più codici di categoria. Solo quei dati il cui codice di categoria è inserito in questa lista vengono inclusi nel calcolo. Per informazioni sull'effetto di elementi vuoti in una lista, vedere “Elementi vuoti (nulli)”, qui. |
|
|
Variabile di output |
Descrizione |
|
stat.RegEqn |
Equazione di regressione: a·(x)b |
|
stat.a, stat.b |
Coefficienti di regressione |
|
stat.r2 |
Coefficiente di determinazione lineare di dati trasformati |
|
stat.r |
Coefficiente di correlazione per dati trasformati (ln(x), ln(y)) |
|
stat.Resid |
Residui associati al modello di potenza |
|
stat.ResidTrans |
Residui associati all’adattamento lineare dei dati trasformati |
|
stat.XReg |
Lista di punti dati della Lista X modificata attualmente usata nella regressione secondo le restrizioni di Freq, Lista Categoria e Includi Categorie |
|
stat.YReg |
Lista di punti dati della Lista Y modificata attualmente usata nella regressione secondo le restrizioni di Freq, Lista Categoria e Includi Categorie |
|
stat.FreqReg |
Lista di frequenze corrispondenti a stat.XReg e stat.YReg |
|
Catalogo > |
|
|
Prgm Modello per la creazione di un programma definito dall’utente. Deve essere utilizzato con il comando Define, Define LibPub o Define LibPriv. Blocco può essere una singola istruzione, una serie di istruzioni separate dal carattere “:” o una serie di istruzioni su righe separate. Nota per l'inserimento dell'esempio: per istruzioni sull'inserimento di definizioni di programmi e funzioni costituite da più righe, consultare la sezione Calcolatrice del manuale del prodotto. |
Calcolare il massimo comune divisore e visualizzare i risultati intermedi.
|
|
Vedere P(), qui. |
|
|
|
|
|
Vedere P(), qui. |
|
|
|
|
|
Catalogo > |
|
|
product(Lista[, Inizio[, Fine]])Þespressione Restituisce il prodotto degli elementi contenuti in Lista. Inizio e Fine sono opzionali e specificano un intervallo di elementi. |
|
|
product(Matrice1[, Inizio[, Fine]])Þmatrice Restituisce un vettore di riga contenente i prodotti degli elementi nelle colonne di Matrice1. Inizio e Fine sono opzionali e specificano un intervallo di elementi. Gli elementi vuoti (nulli) vengono ignorati. Per ulteriori informazioni sugli elementi vuoti, vedere a qui. |
|
|
Catalogo > |
|
|
propFrac(Valore1[, Var])Þvalore propFrac(numero_razionale) restituisce numero_razionale sotto forma di somma di un numero intero e di una frazione, aventi lo stesso segno e denominatore di grandezza maggiore del numeratore. |
|
|
propFrac(espressione_razionale,Var) restituisce la somma delle frazioni proprie ed un polinomio rispetto a Var. Il grado di Var nel denominatore supera il grado di Var nel numeratore di ciascuna frazione propria. Le potenze simili di Var sono ridotte. I termini ed i rispettivi fattori sono ordinati considerando Var la variabile principale. Se Var è omesso, viene eseguita l’espansione della frazione propria rispetto alla variabile più significativa. I coefficienti della parte polinomiale vengono trasformati in propri rispetto alla prima variabile più significativa, e così di seguito. |
