C
|
Catalogo > |
|
|
ceiling(Valore1)Þvalore Restituisce il più vicino numero intero { all’argomento. L’argomento può essere un numero reale o complesso. Nota: vedere anche floor(). |
|
|
ceiling(Lista1)Þlista ceiling(Matrice1)Þmatrice Restituisce una lista o matrice del valore arrotondato per eccesso di ciascun elemento. |
|
|
Catalogo > |
|
|
Restituisce la derivata numerica utilizzando la formula del rapporto incrementale bilaterale. Se il Valore è specificato, lo stesso sostituisce qualsiasi assegnazione di variabile precedente o qualsiasi sovrapposizione corrente “|” della variabile. Incr è il valore di incremento. Se Incr è omesso, viene impostato per default su 0.001. Se si utilizza Lista1 o Matrice1, l'operazione viene mappata sui valori della lista o sugli elementi della matrice. Nota: vedere anche . |
|
|
Catalogo > |
|
|
char(Intero)Þcarattere Restituisce un carattere stringa corrispondente al numero Intero del set di caratteri del palmare. L’intervallo valido per intero Intero è compreso tra 0 e 65535. |
|
|
Catalogo > |
|
|
c22way MatriceOss chi22way MatriceOss Esegue una verifica c2 per l’associazione di numeri nella tabella a due variabili nella matrice osservata MatriceOss. Il riepilogo dei risultati è memorizzato nella variabile stat.results. (qui). Per informazioni sull'effetto di elementi vuoti in una matrice, vedere “Elementi vuoti (nulli)”, qui. |
|
|
Variabile di output |
Descrizione |
|
stat.c2 |
Statistica Chi quadrato: somma (osservati - attesi)2/attesi |
|
stat.PVal |
Livello minimo di significatività in corrispondenza del quale l’ipotesi nulla può essere rifiutata |
|
stat.df |
Gradi di libertà per le statistiche chi quadrato |
|
stat.ExpMat |
Matrice della tabella di numeri elementari attesi, assumendo l’ipotesi nulla |
|
stat.CompMat |
Matrice di contributi statistici chi quadrato elementari |
|
Catalogo > |
|
|
c2Cdf(valoreInferiore,valoreSuperiore,gl)Þnumero se valoreInferiore e valoreSuperiore sono numeri, lista se valoreInferiore e valoreSuperiore sono liste chi2Cdf(valoreInferiore,valoreSuperiore,gl)Þnumero se valoreInferiore e valoreSuperiore sono numeri, list se valoreInferiore e valoreSuperiore sono liste Calcola la probabilità della distribuzione c2 tra il valoreInferiore e il valoreSuperiore per i gradi di libertà gl specificati. Per P(X { valoreSuperiore), impostare valoreInferiore= 0. Per informazioni sull'effetto di elementi vuoti in una lista, vedere “Elementi vuoti (nulli)”, qui. |
|
|
Catalogo > |
|
|
c2GOF listaOss,listaAtt,gl chi2GOF listaOss,listaAtt,gl Esegue una verifica per confermare che i dati del campione appartengono a una popolazione conforme a una data distribuzione. listaOss è una lista di conteggi e deve contenere numeri interi. Il riepilogo dei risultati è memorizzato nella variabile stat.results. (qui). Per informazioni sull'effetto di elementi vuoti in una lista, vedere “Elementi vuoti (nulli)”, qui. |
|
|
Variabile di output |
Descrizione |
|
stat.c2 |
Statistica Chi quadrato: sum((osservati - attesi)2/attesi |
|
stat.PVal |
Livello minimo di significatività in corrispondenza del quale l’ipotesi nulla può essere rifiutata |
|
stat.df |
Gradi di libertà per le statistiche chi quadrato |
|
stat.CompList |
Contributi statistici chi quadrato elementari |
|
Catalogo > |
|
|
c2Pdf(ValX,gl)Þnumero se ValX è un numero, lista se ValX è una lista chi2Pdf(ValX,gl)Þnumero se ValX è un numero, lista se ValX è una lista Calcola la funzione della densità di probabilità (pdf) per la distribuzione c2 a un dato valore ValX per i gradi di libertà gl specificati. Per informazioni sull'effetto di elementi vuoti in una lista, vedere “Elementi vuoti (nulli)”, qui. |
|
|
Catalogo > |
|
|
ClearAZ Cancella tutte le variabili con il nome di un solo carattere nello spazio attività corrente. Se una o più variabili sono bloccate, questo comando visualizza un messaggio di errore ed elimina solo le variabili sbloccate. Vedere |
|
|
Catalogo > |
|
|
Cancella lo stato di errore e imposta la variabile di sistema errCode su zero. L’istruzione Else del blocco Try...Else...EndTry dovrebbe utilizzare ClrErr o PassErr. Se l’errore deve essere elaborato o ignorato, utilizzare ClrErr. Se non si sa quale azione applicare all’errore, utilizzare PassErr per inviarlo al successivo blocco di gestione degli errori. Se non ci sono ulteriori blocchi di gestione degli errori Try...Else...EndTry in attesa di applicazione, la finestra di dialogo dell’errore viene visualizzata come normale. Nota: vedere anche PassErr, qui e Try, qui. Nota per l'inserimento dell'esempio: per istruzioni sull'inserimento di definizioni di programmi e funzioni costituite da più righe, consultare la sezione Calcolatrice del manuale del prodotto. |
Per un esempio di ClrErr, vedere l’esempio 2 del comando Try, qui.
|
|
Catalogo > |
|
|
colAugment(Matrice1, Matrice2)Þmatrice Restituisce una nuova matrice in cui Matrice2 viene aggiunta alla fine di Matrice1. Le matrici devono avere uguale numero di colonne; Matrice2 viene aggiunta a Matrice1 come nuove colonne. Non modifica Matrice1 o Matrice2. |
|
|
Catalogo > |
|
|
colDim(Matrice)Þespressione Restituisce il numero delle colonne contenute in Matrice. Nota: vedere anche rowDim(). |
|
|
Catalogo > |
|
|
colNorm(Matrice)Þespressione Restituisce il massimo delle somme dei valori assoluti degli elementi nelle colonne di Matrice. Nota: non sono ammessi elementi non definiti di una matrice. Vedere anche rowNorm(). |
|
|
Catalogo > |
|
|
conj(Valore1)Þvalore conj(Lista1)Þlista conj(Matrice1)Þmatrice Restituisce il complesso coniugato dell’argomento. Nota: tutte le variabili non definite vengono considerate come variabili reali. |
|
|
Catalog > |
|
|
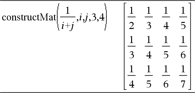
constructMat(Espr,Var1,Var2,numRighe,numColonne)Þmatrice Restituisce una matrice sulla base degli argomenti. Espr è un’espressione nelle variabili Var1 e Var2. Gli elementi nella matrice risultante sono formati calcolando Espr per ciascun valore incrementato di Var1 e Var2. Var1 è incrementato automaticamente da 1 a numRighe. All’interno di ciascuna riga, Var2 è incrementato da 1 a numColonne. |
|
|
Catalog > |
|
|
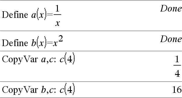
CopyVar Var1, Var2 CopyVar Var1., Var2. CopyVar Var1, Var2 copia il valore della variabile Var1 nella variabile Var2, creando Var2 se necessario. La variabile Var1 deve contenere un valore. Se Var1 è il nome di una funzione esistente definita dall’utente, copia la definizione di quella funzione nella funzione Var2. La funzione Var1 deve essere definita. Var1 deve soddisfare i requisiti validi per i nomi di variabile oppure deve essere un’espressione indiretta che viene semplificata in un nome di variabile che soddisfa i suddetti requisiti. |
|
|
CopyVar Var1., Var2. copia tutti i membri del gruppo di variabili Var1. nel gruppo Var2., creando Var2. se necessario. Var1. deve essere il nome di un gruppo di variabili esistente, come ad esempio i risultati statistici stat.nn o le variabili create utilizzando la funzione |
|
|
Catalogo > |
|
|
corrMat(Lista1,Lista2[,…[,Lista20]]) Calcola la matrice di correlazione per la matrice affiancata [Lista1 Lista2 . . . Lista20]. |
|
|
Tasto µ |
|
|
cos(Valore1)Þvalore cos(Lista1)Þlista
cos(Lista1) restituisce una lista dei coseni di tutti gli elementi di Lista1. Nota: conformemente alla modalità di misurazione degli angoli impostata, l’argomento viene interpretato come angolo in gradi, gradianti o radianti. È possibile utilizzare ¡, G o R per escludere provvisoriamente la modalità d’angolo selezionata. |
In modalità angolo in gradi:
In modalità angolo in gradianti (gradi centesimali):
In modalità angolo in radianti:
|
|
cos(matriceQuadrata1)ÞmatriceQuadrata Restituisce il coseno della matrice di matriceQuadrata1. Ciò non equivale a calcolare il coseno di ogni elemento. Quando una funzione scalare f(A) opera su matriceQuadarata1 (A), il risultato viene calcolato dall’algoritmo: Calcola gli autovalori (li) e gli autovettori (Vi) di A. matriceQuadrata1 deve essere diagonalizzabile. Inoltre, non può avere variabili simboliche alle quali non sia stato assegnato un valore. Forma le matrici:
Quindi A = X B X/e f(A) = X f(B) X/. Ad esempio, cos(A) = X cos(B) X/ dove: cos (B) =
Tutti i calcoli vengono eseguiti in virgola mobile. |
In modalità angolo in radianti:
|
|
Tasto µ |
|
|
cos/(Valore1)Þvalore cos/(Lista1)Þlista
cos/(Lista1) restituisce la lista dell’inversa dei coseni di ciascun elemento di Lista1. Nota: conformemente alla modalità di misurazione degli angoli impostata, il risultato è in gradi, gradianti o radianti. Nota: è possibile inserire questa funzione dalla tastiera del computer digitando arccos(...). |
In modalità angolo in gradi:
In modalità angolo in gradianti (gradi centesimali):
In modalità angolo in radianti:
|
|
cos/(matriceQuadrata1)ÞmatriceQuadrata Restituisce il coseno inverso della matrice di matriceQuadrata1. Ciò non equivale a calcolare il coseno inverso di ogni elemento. Per informazioni sul metodo di calcolo, vedere cos(). matriceQuadrata1 deve essere diagonalizzabile. Il risultato contiene sempre numeri a virgola mobile. |
In modalità angolo in radianti e in modalità formato rettangolare complesso:
Per vedere l'intero risultato, premere 5, quindi utilizzare 7 e 8 per spostare il cursore. |
|
Catalogo > |
|
|
cosh(Valore1)Þvalore cosh(Lista1)Þlista
cosh(Lista1) restituisce una lista dei coseni iperbolici di ciascun elemento di Lista1. |
In modalità angolo in gradi:
|
|
cosh(matriceQuadrata1)ÞmatriceQuadrata Restituisce il coseno iperbolico della matrice di matriceQuadrata1. Ciò non equivale a calcolare il coseno iperbolico di ogni elemento. Per informazioni sul metodo di calcolo, vedere cos(). matriceQuadrata1 deve essere diagonalizzabile. Il risultato contiene sempre numeri a virgola mobile. |
In modalità angolo in radianti:
|
|
Catalogo > |
|
|
cosh/(Valore1)Þvalore cosh/(Lista1)Þlista
cosh/(Lista1) restituisce una lista dell’inversa dei coseni iperbolici di ciascun elemento di Lista1. Nota: è possibile inserire questa funzione dalla tastiera del computer digitando arccosh(...). |
|
|
cosh/(matriceQuadrata1)ÞmatriceQuadrata Restituisce l’inversa del coseno iperbolico della matrice di matriceQuadrata1. Ciò non equivale a calcolare l’inversa del coseno iperbolico di ogni elemento. Per informazioni sul metodo di calcolo, vedere cos(). matriceQuadrata1 deve essere diagonalizzabile. Il risultato contiene sempre numeri a virgola mobile. |
In modalità angolo in radianti e in modalità formato rettangolare complesso:
Per vedere l'intero risultato, premere 5, quindi utilizzare 7 e 8 per spostare il cursore. |
|
Tasto µ |
|
|
cot(Valore1) Þ valore cot(Lista1) Þ lista Restituisce la cotangente di Valore1 oppure restituisce una lista delle cotangenti di tutti gli elementi di Lista1. Nota: conformemente alla modalità di misurazione degli angoli impostata, l’argomento viene interpretato come angolo in gradi, gradianti o radianti. È possibile utilizzare ¡, G o Rper escludere provvisoriamente la modalità d’angolo selezionata. |
In modalità angolo in gradi:
In modalità angolo in gradianti (gradi centesimali):
In modalità angolo in radianti:
|
|
Tasto µ |
|
|
cot/(Valore1)Þvalore cot/(Lista1)Þlista Restituisce l’angolo la cui cotangente è Valore1 oppure restituisce una lista contenente l’inversa delle cotangenti di ciascun elemento di Lista1. Nota: conformemente alla modalità di misurazione degli angoli impostata, il risultato è in gradi, gradianti o radianti. Nota: è possibile inserire questa funzione dalla tastiera del computer digitando arccot(...). |
In modalità angolo in gradi:
In modalità angolo in gradianti (gradi centesimali):
In modalità angolo in radianti:
|
|
Catalogo > |
|
|
coth(Valore1)Þvalore coth(Lista1)Þlista
|
|
|
Catalogo > |
|
|
coth/(Valore1)Þvalore coth/(Lista1)Þlista Restituisce la cotangente iperbolica inversa di Valore1 oppure restituisce una lista contenente le cotangenti iperboliche inverse di ciascun elemento di Lista1. Nota: è possibile inserire questa funzione dalla tastiera del computer digitando arccoth(...). |
|
|
Catalogo > |
|
|
count(Valore1oLista1 [,Valore2oLista2 [,...]])Þvalore Restituisce il totale accumulato di tutti gli elementi negli argomenti che danno come risultato valori numerici. Gli argomenti possono essere un’espressione, un valore, una lista o una matrice. È possibile mischiare tipi di dati e utilizzare argomenti di varie dimensioni. Per una lista, una matrice o un intervallo di celle, viene calcolato ciascun elemento per determinare se dovrebbe essere incluso nel conteggio. In Foglio elettronico, è possibile utilizzare un intervallo di celle al posto di qualsiasi argomento. Gli elementi vuoti (nulli) vengono ignorati. Per ulteriori informazioni sugli elementi vuoti, vedere, qui. |
|
|
Catalogo > |
|||||||
|
countif(Lista,Criteri)Þvalore Restituisce il totale accumulato di tutti gli elementi di Lista che soddisfano i Criteri specificati. Criteri può essere:
In Foglio elettronico, è possibile utilizzare un intervallo di celle al posto di Lista. Gli elementi vuoti (nulli) della lista vengono ignorati. Per ulteriori informazioni sugli elementi vuoti, vedere, qui. |
Conta il numero di elementi uguali a 3.
Conta il numero di elementi uguali a “def”.
Conta 1 e 3.
Conta 3, 5 e 7.
Conta 1, 3, 7 e 9. |
|
Catalogo > |
|
|
La prima sintassi,
La seconda sintassi, Nota: vedere anche |
|
|
Catalogo > |
|
|
crossP(Lista1, Lista2)Þlista Restituisce sotto forma di lista il prodotto vettoriale di Lista1 e Lista2. Lista1 e Lista2 devono essere uguali, 2 o 3. |
|
|
crossP(Vettore1, Vettore2)Þvettore Restituisce un vettore riga o colonna (a seconda degli argomenti) corrispondente al prodotto vettoriale di Vettore1 per Vettore2. Vettore1 e Vettore2 devono essere entrambi vettori riga o vettori colonna. Le dimensioni di entrambi devono essere uguali, 2 o 3. |
|
|
Tasto µ |
|
|
csc(Valore1)Þvalore csc(Lista1)Þlista
|
In modalità angolo in gradi:
In modalità angolo in gradianti (gradi centesimali):
In modalità angolo in radianti:
|
|
Tasto µ |
|
|
csc/(Valore1) Þ valore csc/(Lista1) Þ lista Restituisce l’angolo la cui cosecante è Valore1 oppure restituisce una lista contenente le cosecanti inverse di ciascun elemento di Lista1. Nota: conformemente alla modalità di misurazione degli angoli impostata, il risultato è in gradi, gradianti o radianti. Nota: è possibile inserire questa funzione dalla tastiera del computer digitando arccsc(...). |
In modalità angolo in gradi:
In modalità angolo in gradianti (gradi centesimali):
In modalità angolo in radianti:
|
|
Catalogo > |
|
|
csch(Valore1) Þ valore csch(Lista1) Þ lista
|
|
|
Catalogo > |
|
|
csch/(Valore1) Þ valore csch/(Lista1) Þ lista Restituisce la cosecante iperbolica inversa di Valore1 oppure restituisce una lista contenente le cosecanti iperboliche inverse di ciascun elemento di Lista1. Nota: è possibile inserire questa funzione dalla tastiera del computer digitando arccsch(...). |
|
|
Catalogo > |
|
|
CubicReg X, Y[, [Freq] [, Categoria, Includi]] Calcola la regressione polinomiale cubicay = a·x3+b· x2+c·x+dsulle liste X e Y con frequenza Freq. Il riepilogo dei risultati è memorizzato nella variabile stat.results. (qui). Tutte le liste devono avere le stesse dimensioni, ad eccezione di Includi. X e Y sono liste di variabili indipendenti e dipendenti. Freq è una lista opzionale di valori di frequenza. Ciascun elemento di Freq specifica la frequenza di occorrenza di ogni dato corrispondente di X e Y. Il valore predefinito è 1. Tutti gli elementi devono essere numeri interi | 0. Categoria è una lista Includi è una lista di uno o più codici di categoria. Solo quei dati il cui codice di categoria è inserito in questa lista vengono inclusi nel calcolo. Per informazioni sull'effetto di elementi vuoti in una lista, vedere “Elementi vuoti (nulli)”, qui. |
|
|
Variabile di output |
Descrizione |
|
stat.RegEqn |
Equazione di regressione: a·x3+b·x2+c·x+d |
|
stat.a, stat.b, stat.c, stat.d |
Coefficienti di regressione |
|
stat.R2 |
Coefficiente di determinazione |
|
stat.Resid |
Residui della regressione |
|
stat.XReg |
Lista di punti dati della Lista X modificata attualmente usata nella regressione secondo le restrizioni di Freq, Lista Categoria e Includi Categorie |
|
stat.YReg |
Lista di punti dati della Lista Y modificata attualmente usata nella regressione secondo le restrizioni di Freq, Lista Categoria e Includi Categorie |
|
stat.FreqReg |
Lista di frequenze corrispondenti a stat.XReg e stat.YReg |
|
Catalogo > |
|
|
cumulativeSum(Lista1)Þlista Restituisce una lista delle somme cumulative degli elementi in Lista1, incominciando dall'elemento 1. |
|
|
cumulativeSum(Matrice1)Þmatrice Restituisce una matrice delle somme cumulative degli elementi di Matrice1. Ciascun elemento è la somma cumulativa della colonna, dall'alto al basso. Un elemento vuoto (nullo) in Lista1 o Matrice1 produce un elemento vuoto nella lista o matrice risultante. Per ulteriori informazioni sugli elementi vuoti, vedere, qui. |
|
|
Catalogo > |
|
|
Ripeti Trasferisce il controllo della funzione alla iterazione immediatamente successiva del ciclo corrente (For, While o Loop). Cycle non è ammesso al di fuori delle tre strutture di ciclo (For, While o Loop). Nota per l'inserimento dell'esempio: per istruzioni sull'inserimento di definizioni di programmi e funzioni costituite da più righe, consultare la sezione Calcolatrice del manuale del prodotto. |
Funzione che elenca le somme degli interi da 1 a 100 saltando 50.
|
|
Catalogo > |
|
|
Vettore 4Cylind Nota: è possibile inserire questo operatore dalla tastiera del computer digitando @>Cylind. Visualizza il vettore riga o colonna nella forma cilindrica [r,±q, z]. Vettore deve avere esattamente tre elementi. Può essere una riga o una colonna. |
|
