S
|
Tasto µ |
|
|
sec(Valore1) Þ valore sec(Lista1) Þ lista Restituisce la secante di Valore1 oppure restituisce una lista contenente le secanti di tutti gli elementi in Lista1. Nota: conformemente alla modalità di misurazione degli angoli impostata, l’argomento viene interpretato come angolo in gradi, gradianti o radianti. È possibile utilizzare ¡, G o R per escludere provvisoriamente la modalità d’angolo selezionata. |
In modalità angolo in gradi:
|
|
Tasto µ |
|
|
sec/(Valore1) Þ valore sec/(Lista1) Þ lista Restituisce l’angolo la cui secante è Valore1 oppure restituisce una lista contenente le secanti inverse di ciascun elemento di Lista1. Nota: conformemente alla modalità di misurazione degli angoli impostata, il risultato è in gradi, gradianti o radianti. Nota: è possibile inserire questa funzione dalla tastiera del computer digitando arcsec(...). |
In modalità angolo in gradi:
In modalità angolo in gradianti (gradi centesimali):
In modalità angolo in radianti:
|
|
Catalogo > |
|
|
sech(Valore1) Þ valore sech(Lista1) Þ lista
|
|
|
Catalogo > |
|
|
sech/(Valore1) Þ valore sech/ (Lista1) Þ lista Restituisce la secante iperbolica inversa di Valore1 oppure restituisce una lista contenente le secanti iperboliche inverse di ciascun elemento di Lista1. Nota: è possibile inserire questa funzione dalla tastiera del computer digitando arcsech(...). |
In modalità angolo in radianti e in modalità formato rettangolare complesso:
|
|
Menu Hub |
|
|
Istruzione di programmazione: invia uno o più TI-Innovator™ Hub comandi a un hub collegato. exprOrString deve essere un TI-Innovator™ Hub comando valido. Normalmente, exprOrString contiene un comando "SET ..." per controllare un dispositivo o un comando "READ ..." per richiedere i dati. Gli argomenti vengono inviati in successione all'hub. Nota: è possibile utilizzare il comando Send all'interno di un programma definito dall'utente ma non di una funzione. |
Esempio: attivare l'elemento blu del LED RGB integrato per 0,5 secondi.
Esempio: richiedere il valore attuale del sensore di livello luminosità integrato dell'hub. Un comando Get recupera il valore e lo assegna alla variabile lightval.
Esempio: inviare una frequenza calcolata al diffusore integrato dell'hub. Utilizzare la variabile speciale iostr.SendAns per mostrare il comando hub con l'espressione valutata.
|
|
Catalogo > |
|
|
seq(Espr, Var, Basso, Alto[, Incr])Þlista Aumenta Var da Basso a Alto con incrementi di Incr, calcola Espr e restituisce i risultati in forma di lista. Il contenuto originale di Var è intatto dopo l'esecuzione di Il valore predefinito di Incr è 1.
|
Nota: Per forzare un risultato approssimativo, Palmare: Premere / ·.
|
|
Catalogo > |
|
|
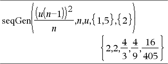
Genera una lista di termini per la successione varDipendente(Var)=Espr come segue: Incrementa la variabile indipendente Var da Var0 fino a VarMax di incrVar, calcola varDipendente(Var) per i valori corrispondenti di Var utilizzando la formula Espr e ListaDiTermIniziali e restituisce i risultati in forma di lista.
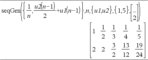
Genera una matrice di termini per un sistema (o lista) di successioni ListaDiVarDipendenti(Var)=ListaOSistemaDiEspr come segue: Incrementa la variabile indipendente Var da Var0 fino a VarMax di incrVar, calcola ListaDiVarDipendenti(Var) per i valori corrispondenti di Var utilizzando la formula ListaOSistemaDiEspr e MatriceDiTermIniziali e restituisce i risultati in forma di matrice. Il contenuto originale di Var è intatto dopo l'esecuzione di Il valore predefinito di incrVar è 1. |
Generare i primi 5 termini della sequenza u(n) = u(n-1)2/2, con u(1)=2 e incrVar=1.
Esempio in cui Var0=2:
Sistema di due successioni:
Nota: il simbolo di nullo (_) nella matrice di termini iniziali sopra viene utilizzato per indicare che il termine iniziale per u1(n) è calcolato utilizzando la formula di sequenza esplicita u1(n)=1/n. |
|
Catalogo > |
|
|
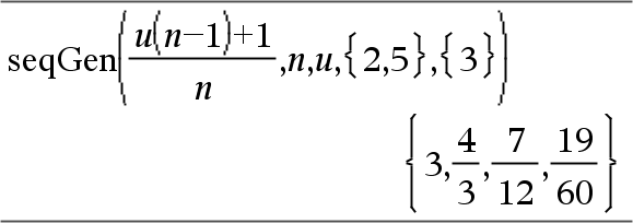
Genera una lista di termini per una successione u(n)=Espr(u, n) come segue: incrementa n da 1 a nMax di 1, calcola u(n) per i valori di n corrispondenti utilizzando la formula Espr(u, n) e ListaDiTermIniziali e restituisce i risultati in forma di lista.
Genera una lista di termini per una successione non ricorsiva u(n)=Espr(n) come segue: Incrementa n da 1 a nMax di 1, calcola u(n) per i valori di n corrispondenti utilizzando la formula Espr(n) e restituisce i risultati in forma di lista. Se manca nMax, nMax viene impostata su 2500 Se nMax=0, nMax viene impostato su 2500 Nota: |
Genera i primi 6 termini della successione u(n) = u(n-1)/2, con u(1)=2.
|
|
Catalogo > |
|
|
setMode(interoNomeModo, interoImpostazione) Þintero setMode(lista) Þlista interi Valido solo all’interno di una funzione o di un programma. setMode(interoNomeModo, interoImpostazione) imposta temporaneamente il modo interoNomeModo sulla nuova impostazione interoImpostazione e restituisce un intero corrispondente all’impostazione originale di quel modo. La modifica è limitata alla durata dell’esecuzione del programma o della funzione. interoNomeModo specifica il modo da impostare. Deve essere uno degli interi dei modi della tabella seguente. interoImpostazione specifica la nuova impostazione per il modo. Deve essere uno dei numeri interi per le impostazioni elencati di seguito per lo specifico modo che si sta impostando. setMode(lista) consente di modificare impostazioni multiple. lista contiene coppie di interi dei modi e di interi delle impostazioni. setMode(lista) restituisce una lista simile le cui coppie di interi rappresentano i modi e le impostazioni originali. Se si salvano tutte le impostazioni di modo con getMode(0) & var, è possibile utilizzare setMode(var) per ripristinare tali impostazioni fintantoché la funzione o il programma esistono. Vedere getMode(), qui. Nota: le impostazioni di modo correnti vengono passate alle sottoroutine chiamate. Se una sottoroutine cambia un’impostazione di modo, tale modifica viene perduta quando il controllo torna alla routine di chiamata. Nota per l'inserimento dell'esempio: per istruzioni sull'inserimento di definizioni di programmi e funzioni costituite da più righe, consultare la sezione Calcolatrice del manuale del prodotto. |
Visualizzare il valore approssimato di p utilizzando l’impostazione predefinita di Mostra cifre (Display Digits), quindi visualizzare p con l’impostazione Fissa2. Verificare che l’impostazione predefinita venga ripristinata dopo l’esecuzione del programma.
|
|
Nome modo |
Intero modo |
Interi impostazioni |
|
Mostra cifre (Display digits) |
1 |
1=Mobile, 2=Mobile1, 3=Mobile2, 4=Mobile3, 5=Mobile4, 6=Mobile5, 7=Mobile6, 8=Mobile7, 9=Mobile8, 10=Mobile9, 11=Mobile10, 12=Mobile11, 13=Mobile12, 14=Fissa0, 15=Fissa1, 16=Fissa2, 17=Fissa3, 18=Fissa4, 19=Fissa5, 20=Fissa6, 21=Fissa7, 22=Fissa8, 23=Fissa9, 24=Fissa10, 25=Fissa11, 26=Fissa12 |
|
Angolo (Angle) |
2 |
1=Radianti, 2=Gradi, 3=Gradianti |
|
Formato esponenziale (Exponential Format) |
3 |
1=Normale, 2=Scientifico, 3=Tecnico |
|
Reale o Complesso (Real or Complex) |
4 |
1=Reale, 2=Rettangolare, 3=Polare |
|
Auto o Approssimato (Auto or Approx.) |
5 |
1=Auto, 2=Approssimato |
|
Formato vettoriale (Vector Format) |
6 |
1=Rettangolare, 2=Cilindrico, 3=Sferico |
|
Base |
7 |
1=Decimale, 2=Esa, 3=Binario |
|
Catalogo > |
|
|
shift(Intero1[,numSpostamenti])Þintero Sposta i bit di un numero intero binario. È possibile inserire Intero1 in qualsiasi base numerica; esso viene convertito automaticamente in forma binaria a 64 bit con segno. Se Intero1 è troppo grande per questa forma, un'operazione a modulo simmetrico lo porta all'interno dell'intervallo. Per ulteriori informazioni, vedere 4Base2, qui. Se numSpostamenti è positivo, lo spostamento avviene verso sinistra. Se numSpostamenti è negativo, lo spostamento avviene verso destra. L’impostazione predefinita è L1 (sposta a destra di un bit). In uno spostamento a destra, il bit più a destra viene eliminato e al suo posto viene inserito 0 o 1, in modo che corrisponda al bit più a sinistra. In uno spostamento a sinistra, il bit più a sinistra viene eliminato e viene inserito 0 come bit più a destra. Ad esempio, in uno spostamento a destra: ogni bit viene spostato verso destra. 0b0000000000000111101011000011010 Inserisce 0 se il bit più a sinistra è 0, oppure 1 se il bit più a sinistra è 1. Dà: 0b00000000000000111101011000011010 I risultati vengono visualizzati nella modalità Base che è stata impostata. Gli zeri iniziali non vengono visualizzati. |
In modalità base Bin:
In modalità base Esadecimale:
Importante: per inserire un numero binario o esadecimale, utilizzare sempre il prefisso 0b o 0h (è uno zero, non la lettera O). |
|
shift(Lista1 [,numSpostamenti])Þlista Restituisce una copia di Lista1 spostata a destra o a sinistra di numSpostamenti elementi. Non modifica Lista1. Se numSpostamenti è positivo, lo spostamento avviene verso sinistra. Se numSpostamenti è negativo, lo spostamento avviene verso destra. L’impostazione predefinita è L1 (sposta a destra di un elemento). Gli elementi introdotti all’inizio o alla fine di lista a seguito dello spostamento sono contrassegnati con il simbolo “undef”. |
In modalità base Dec:
|
|
shift(Stringa1 [,numSpostamenti])Þstringa Restituisce una copia di Stringa1 spostata a sinistra o a destra di numSpostamenti caratteri. Non modifica Stringa1. Se numSpostamenti è positivo, lo spostamento avviene verso sinistra. Se numSpostamenti è negativo, lo spostamento avviene verso destra. L’impostazione predefinita è L1 (sposta a destra di un carattere). I caratteri introdotti all’inizio o alla fine di stringa a seguito dello spostamento sono costituiti da uno spazio. |
|
|
Catalogo > |
|
|
sign(Valore1)Þvalore sign(Lista1)Þlista sign(Matrice1)Þmatrice Quando Valore1 è reale o complesso, restituisce Valore1 / abs(Valore1) se Valore1 ƒ 0. Restituisce 1 se Valore1 è positivo.
sign(0) restituisce „1 se la modalità Formato complesso è Reale; altrimenti restituisce se stesso. sign(0) rappresenta la circonferenza unitaria del dominio complesso. Con liste o matrici, restituisce i segni di tutti gli elementi. |
Se la modalità del formato complesso è Reale:
|
|
Catalogo > |
|||||||
|
simult(matriceCoeff, vettoreCost[,Tol])Þmatrice Restituisce un vettore colonna che contiene le soluzioni di un sistema di equazioni lineari. Nota: vedere anche matriceCoeff deve essere una matrice quadrata contenente i coefficienti delle equazioni. vettoreCost deve avere lo stesso numero di righe (stesse dimensioni) di matriceCoeff e deve contenere i termini noti. In alternativa, un elemento qualsiasi della matrice viene considerato zero se il suo valore assoluto è minore di Tol. Tale tolleranza viene utilizzata solo se la matrice contiene elementi a virgola mobile e non contiene variabili simboliche alle quali non sia stato assegnato un valore. In caso contrario, Tol viene ignorato.
|
Risolvere rispetto a x e y: x + 2y = 1 3x + 4y = L1
La soluzione è x=L3 e y=2.
Risolvere: ax + by = 1 cx + dy = 2
|
||||||
|
simult(matriceCoeff, matriceCost[, Tol])Þmatrice Risolve sistemi multipli di equazioni lineari in cui ogni sistema ha coefficienti delle equazioni uguali ma termini noti diversi. Ogni colonna di matriceCost deve contenere i termini noti per un sistema di equazioni. Ogni colonna della matrice risultante contiene la soluzione per il sistema corrispondente. |
Risolvere: x + 2y = 1 3x + 4y = L1
x + 2y = 2 3x + 4y = L3
Per il primo sistema, x=L3 e y=2. Per il secondo sistema, x=L7 e y=9/2. |
|
Tasto µ |
|
|
sin(Valore1)Þvalore sin(Lista1)Þlista
sin(Lista1) restituisce una lista di seni di tutti gli elementi di Lista1. Nota: l’argomento è interpretato come angolo in gradi, gradianti o radianti, a seconda della modalità angolo correntemente impostata. Si può usare ¡,G o R per escludere tale impostazione provvisoriamente. |
In modalità angolo in gradi:
In modalità angolo in gradianti (gradi centesimali):
In modalità angolo in radianti:
|
|
sin(matriceQuadrata1)ÞmatriceQuadrata Restituisce il seno della matrice di matriceQuadrata1. Ciò non equivale a calcolare il seno di ogni elemento. Per informazioni sul metodo di calcolo, vedere cos(). matriceQuadrata1 deve essere diagonalizzabile. Il risultato contiene sempre numeri a virgola mobile. |
In modalità angolo in radianti:
|
|
Tasto µ |
|
|
sin/(Valore1)Þvalore sin/(Lista1)Þlista
sin/(Lista1) restituisce una lista contenente l’inversa del seno di ciascun elemento di Lista1. Nota: conformemente alla modalità di misurazione degli angoli impostata, il risultato è in gradi, gradianti o radianti. Nota: è possibile inserire questa funzione dalla tastiera del computer digitando arcsin(...). |
In modalità angolo in gradi:
In modalità angolo in gradianti (gradi centesimali):
In modalità angolo in radianti:
|
|
sin/(matriceQuadrata1)ÞmatriceQuadrata Restituisce l’inversa del seno della matrice di matriceQuadrata1. Ciò non equivale a calcolare l’inversa del seno di ogni elemento. Per informazioni sul metodo di calcolo, vedere cos(). matriceQuadrata1 deve essere diagonalizzabile. Il risultato contiene sempre numeri a virgola mobile. |
In modalità angolo in radianti e in modalità formato rettangolare complesso:
|
|
Catalogo > |
|
|
sinh(Valore1)Þvalore sinh(Lista1)Þlista
sinh (Lista1) restituisce una lista del seno iperbolico di ciascun elemento di Lista1. |
|
|
sinh(matriceQuadrata1)ÞmatriceQuadrata Restituisce il seno iperbolico della matrice di matriceQuadrata1. Ciò non equivale a calcolare il seno iperbolico di ogni elemento. Per informazioni sul metodo di calcolo, vedere cos(). matriceQuadrata1 deve essere diagonalizzabile. Il risultato contiene sempre numeri a virgola mobile. |
In modalità angolo in radianti:
|
|
Catalogo > |
|
|
sinh/(Valore1)Þvalore sinh/(Lista1)Þlista
sinh/(List1) restituisce una lista contenente l’inversa del seno iperbolico di ciascun elemento di Lista1. Nota: è possibile inserire questa funzione dalla tastiera del computer digitando arcsinh(...). |
|
|
sinh/(matriceQuadrata1)ÞmatriceQuadrata Restituisce l’inversa del seno iperbolico della matrice di matriceQuadrata1. Ciò non equivale a calcolare l’inversa del seno iperbolico di ogni elemento. Per informazioni sul metodo di calcolo, vedere cos(). matriceQuadrata1 deve essere diagonalizzabile. Il risultato contiene sempre numeri a virgola mobile. |
In modalità angolo in radianti:
|
|
Catalogo > |
|
|
SinReg X, Y [, [Iterazioni], [Periodo] [, Categoria, Includi]] Calcola la regressione sinusoidale sulle liste X e Y. Il riepilogo dei risultati è memorizzato nella variabile stat.results. (qui). Tutte le liste devono avere le stesse dimensioni, ad eccezione di Includi. X e Y sono liste di variabili indipendenti e dipendenti. Iterazioni è un valore che specifica quante volte al massimo (da 1 a 6) verrà tentata una soluzione. Se omesso, viene utilizzato 8. Di solito valori più alti danno una maggiore accuratezza ma richiedono tempi di esecuzione più lunghi, e viceversa. Periodo indica il periodo stimato. Se viene omesso, la differenza tra i valori di X deve essere uguale e in ordine sequenziale. Se invece Periodo viene specificato, le differenze tra valori x possono non essere uguali. Categoria è una lista Includi è una lista di uno o più codici di categoria. Solo quei dati il cui codice di categoria è inserito in questa lista vengono inclusi nel calcolo. L’output di SinReg è sempre espresso in radianti, indipendentemente dall’impostazione corrente della modalità di misurazione degli angoli. Per informazioni sull'effetto di elementi vuoti in una lista, vedere “Elementi vuoti (nulli)”, qui. |
|
|
Variabile di output |
Descrizione |
|
stat.RegEqn |
Equazione di regressione: a·sin(bx+c)+d |
|
stat.a, stat.b, stat.c, stat.d |
Coefficienti di regressione |
|
stat.Resid |
Residui della regressione |
|
stat.XReg |
Lista di punti dati della Lista X modificata attualmente usata nella regressione secondo le restrizioni di Freq, Lista Categoria e Includi Categorie |
|
stat.YReg |
Lista di punti dati della Lista Y modificata attualmente usata nella regressione secondo le restrizioni di Freq, Lista Categoria e Includi Categorie |
|
stat.FreqReg |
Lista di frequenze corrispondenti a stat.XReg e stat.YReg |
|
Catalogo > |
|
|
SortA Lista1[, Lista2] [, Lista3] ... SortA Vettore1[, Vettore2] [, Vettore3] ... Questo comando permette di ordinare in modo ascendente gli elementi del primo argomento. Se vengono inclusi altri argomenti, il comando permette di ordinare gli elementi di ciascuno di essi in modo che le loro nuove posizioni coincidano con le nuove posizioni degli elementi del primo argomento. Tutti gli argomenti devono essere nomi di liste o di vettori e devono avere le stesse dimensioni. Gli elementi vuoti (nulli) nel primo argomento si spostano in fondo. Per ulteriori informazioni sugli elementi vuoti, vedere a qui. |
|
|
Catalogo > |
|
|
SortD Lista1[, Lista2] [, Lista3] ... SortD Vettore1[,Vettore2] [,Vettore3] ... Questo comando è identico a SortA, con la differenza che SortD ordina gli elementi in modo discendente. Gli elementi vuoti (nulli) nel primo argomento si spostano in fondo. Per ulteriori informazioni sugli elementi vuoti, vedere a qui. |
|
|
Catalogo > |
|
|
Vettore 4Sphere Nota: è possibile inserire questo operatore dalla tastiera del computer digitando @>Sphere. Visualizza il vettore di riga o colonna nel formato sferico [r ±q ±f]. Vettore deve avere dimensione 3 e può essere un vettore di riga o colonna. Nota: 4Sphere è un’istruzione nel formato di visualizzazione, ma non è una funzione di conversione. Tale istruzione può essere impiegata solo alla fine di una riga di introduzione. |
|
|
Catalogo > |
|
|
sqrt(Valore1)Þvalore sqrt(Lista1)Þlista Restituisce la radice quadrata dell’argomento. In una lista, restituisce le radici quadrate di tutti gli elementi di Lista1. Nota: vedere anche Modello di radice quadrata, qui. |
|
|
Catalogo > |
|
|
stat.results Visualizza risultati di un calcolo statistico. I risultati sono visualizzati sotto forma di coppie nome-valore. I nomi specifici mostrati dipendono dall’ultima funzione o comando statistico applicato. È possibile copiare un nome o un valore e incollarlo in altre posizioni.
Nota: evitare di definire variabili con gli stessi nomi delle variabili utilizzate per l’analisi statistica. In alcuni casi, potrebbe prodursi un errore. I nomi di variabile utilizzati per l’analisi statistica sono elencati nella seguente tabella. |
|
|
stat.a stat.AdjR² stat.b stat.b0 stat.b1 stat.b2 stat.b3 stat.b4 stat.b5 stat.b6 stat.b7 stat.b8 stat.b9 stat.b10 stat.bList stat.c² stat.c stat.CLower stat.CLowerList stat.CompList stat.CompMatrix stat.CookDist stat.CUpper stat.CUpperList stat.d |
stat.dfDenom stat.dfBlock stat.dfCol stat.dfError stat.dfInteract stat.dfReg stat.dfNumer stat.dfRow stat.DW stat.e stat.ExpMatrix stat.F stat.FBlock stat.Fcol stat.FInteract stat.FreqReg stat.Frow stat.Leverage stat.LowerPred stat.LowerVal stat.m stat.MaxX stat.MaxY stat.ME stat.MedianX |
stat.MedianY stat.MEPred stat.MinX stat.MinY stat.MS stat.MSBlock stat.MSCol stat.MSError stat.MSInteract stat.MSReg stat.MSRow stat.n stat.Ç stat.Ç1 stat.Ç2 stat.ÇDiff stat.PList stat.PVal stat.PValBlock stat.PValCol stat.PValInteract stat.PValRow stat.Q1X stat.Q1Y |
stat.Q3X stat.Q3Y stat.r stat.r² stat.RegEqn stat.Resid stat.ResidTrans stat.sx stat.sy stat.sx1 stat.sx2 stat.Gx stat.Gx² stat.Gxy stat.Gy stat.Gy² stat.s stat.SE stat.SEList stat.SEPred stat.sResid stat.SEslope stat.sp stat.SS |
stat.SSBlock stat.SSCol stat.SSX stat.SSY stat.SSError stat.SSInteract stat.SSReg stat.SSRow stat.tList stat.UpperPred stat.UpperVal stat.v stat.v1 stat.v2 stat.vDiff stat.vList stat.XReg stat.XVal stat.XValList stat.w stat.y stat.yList stat.YReg |
|
Nota: ogni volta che Foglio elettronico calcola risultati statistici, l’applicazione copia le variabili di gruppo “stat.” in un gruppo “stat#.”, dove # è un numero che viene incrementato automaticamente. Questa funzione consente di mantenere i risultati precedenti mentre si eseguono calcoli multipli. |
|
Catalogo > |
|
|
stat.values Visualizza una matrice dei valori calcolati per l’ultima funzione o comando statistico calcolato. Diversamente da stat.results, stat.values omette i nomi associati ai valori. È possibile copiare un valore e incollarlo in altre posizioni. |
Per un esempio vedere stat.results. |
|
Catalogo > |
|
|
stDevPop(Lista[, listaFreq])Þespressione Restituisce la deviazione standard degli elementi di Lista. Ogni elemento di listaFreq conta il numero di occorrenze consecutive dell’elemento corrispondente di Lista. Nota: Lista deve avere almeno due elementi. Gli elementi vuoti (nulli) vengono ignorati. Per ulteriori informazioni sugli elementi vuoti, vedere a qui. |
In modalità angolo in radianti:
|
|
stDevPop(Matrice1[, matriceFreq])Þmatrice Restituisce un vettore di riga delle deviazioni standard della popolazione delle colonne di Matrice1. Ogni elemento di matriceFreq conta il numero di occorrenze consecutive dell’elemento corrispondente di Matrice1. Nota: Matrice1 deve avere almeno due righe. Gli elementi vuoti (nulli) vengono ignorati. Per ulteriori informazioni sugli elementi vuoti, vedere a qui. |
|
|
Catalogo > |
|
|
stDevSamp(Lista[, listaFreq])Þespressione Restituisce la deviazione standard del campione di Lista. Ogni elemento di listaFreq conta il numero di occorrenze consecutive dell’elemento corrispondente di Lista. Nota: Lista deve avere almeno due elementi. Gli elementi vuoti (nulli) vengono ignorati. Per ulteriori informazioni sugli elementi vuoti, vedere a qui. |
|
|
stDevSamp(Matrice1[, matriceFreq])Þmatrice Restituisce un vettore di riga delle deviazioni standard del campione delle colonne di Matrice1. Ogni elemento di matriceFreq conta il numero di occorrenze consecutive dell’elemento corrispondente di Matrice1. Nota: Matrice1 deve avere almeno due righe. Gli elementi vuoti (nulli) vengono ignorati. Per ulteriori informazioni sugli elementi vuoti, vedere a qui. |
|
|
Catalogo > |
|
|
Stop Istruzione di programmazione: termina il programma.il programma. Stop non è ammesso nelle funzioni. Nota per l'inserimento dell'esempio: per istruzioni sull'inserimento di definizioni di programmi e funzioni costituite da più righe, consultare la sezione Calcolatrice del manuale del prodotto. |
|
|
Vedere & (memorizza), qui. |
|
|
|
|
|
Catalogo > |
|
|
string(Espr)Þstringa Semplifica Espr e restituisce il risultato come una stringa di caratteri. |
|
|
Catalogo > |
|
|
subMat(Matrice1[, rigaInizio] [, colInizio] [, rigaFine] [, collFine]) Þmatrice Restituisce la sottomatrice specificata di Matrice1. Impostazioni predefinite: rigaInizio=1, colInizio=1, rigaFine=ultima riga, colFine=ultima colonna. |
|
|
Vedere G(), qui. |
|
|
|
|
|
Catalogo > |
|
|
sum(Lista[, Inizio[, Fine]])Þespressione Restituisce la somma degli elementi di Lista. Inizio e Fine sono opzionali e specificano un intervallo di elementi. Un argomento vuoto produce un risultato vuoto. Gli elementi vuoti (nulli) di Lista vengono ignorati. Per ulteriori informazioni sugli elementi vuoti, vedere a qui. |
|
|
sum(Matrice1[, Inizio[, Fine]])Þmatrice Restituisce un vettore di riga contenente le somme degli elementi nelle colonne della Matrice1. Inizio e Fine sono opzionali e specificano un intervallo di elementi. Un argomento vuoto produce un risultato vuoto. Gli elementi vuoti (nulli) di Matrice1 vengono ignorati. Per ulteriori informazioni sugli elementi vuoti, vedere a qui. |
|
|
Catalogo > |
|||||||
|
sumIf(Lista,Criteri[, listaSomma])Þvalore Restituisce la somma cumulata di tutti gli elementi di Lista che soddisfano i Criteri specificati. Opzionalmente è possibile specificare una lista alternativa, ListaSomma, per fornire gli elementi da accumulare. Lista può essere un’espressione, una lista o una matrice. listaSomma, se specificata, deve avere le stesse dimensioni di Lista. Criteri può essere:
Quando un elemento di Lista soddisfa i Criteri, esso viene aggiunto alla somma accumulata. Se si include listaSomma, l’elemento corrispondente di listaSomma viene aggiunto invece alla somma. In Foglio elettronico, è possibile utilizzare un intervallo di celle al posto di Lista e di listaSomma. Gli elementi vuoti (nulli) vengono ignorati. Per ulteriori informazioni sugli elementi vuoti, vedere a qui. Nota: vedere anche countIf(), qui. |
|
|
Vedere G(), qui |
|
|
|
|
|
Catalogo > |
|
|
system(Valore1 [, Valore2 [, Valore3 [, ...]]]) Restituisce un sistema di equazioni, formattato come una lista. È inoltre possibile creare un sistema utilizzando un modello. |

.