Simboli
|
Tasto + |
|
|
Restituisce la somma dei due argomenti. |
|
|
Lista1 + Lista2Þlista Matrice1 + Matrice2Þmatrice Restituisce una lista (o matrice) contenente le somme degli elementi corrispondenti di Lista1 e Lista2 (oppure di Matrice1 e Matrice2). Gli argomenti devono avere uguali dimensioni. |
|
|
Lista1 + ValoreÞlista
|
|
|
Matrice1 + ValoreÞmatrice Restituisce una matrice nella quale Valore viene sommato a ciascun elemento sulla diagonale di Matrice1. Matrice1 deve essere quadrata. Nota: utilizzare .+ (punto più) per aggiungere un’espressione a ciascun elemento. |
|
|
Tasto - |
|
|
|
|
|
Lista1 N Lista2Þlista Matrice1 N Matrice2Þmatrice Sottrae ciascun elemento di Lista2 (o di Matrice2) dal corrispondente elemento di Lista1 (o di Matrice1) e restituisce il risultato. Gli argomenti devono avere uguali dimensioni. |
|
|
Lista1 N ValoreÞlista
|
|
|
Matrice1 N ValoreÞmatrice Valore N Matrice1 restituisce una matrice di numero volte Valore la matrice di identità, meno Matrice1. Matrice1 deve essere quadrata. Matrice1 N Valore restituisce una matrice di Valore volte la matrice d’identità, sottratta da Matrice1. Matrice1 deve essere quadrata. Nota: Utilizzare .N (punto meno) per sottrarre un’espressione da ciascun elemento. |
|
|
Tasto r |
|
|
Restituisce il prodotto di due argomenti. |
|
|
Lista1 · Lista2Þlista Restituisce una lista contenente i prodotti degli elementi corrispondenti di Lista1 e Lista2. Le liste devono avere uguali dimensioni. |
|
|
Matrice1 · Matrice2Þmatrice Restituisce il prodotto di matrice di Matrice1 per Matrice2. Il numero di colonne di Matrice1 deve essere uguale al numero di righe di Matrice2. |
|
|
Lista1 · ValoreÞlista
|
|
|
Matrice1 · ValoreÞmatrice Restituisce una matrice contenente i prodotti di Valore per ciascun elemento di Matrice1. Nota: Utilizzare .·(punto moltiplicazione) per moltiplicare un’espressione per ciascun elemento. |
|
|
Tasto p |
|
|
Restituisce il quoziente di Valore1 diviso per Valore2. Nota: vedere anche Modello di frazione, qui. |
|
|
Lista1 à Lista2Þlista Restituisce una lista contenente i quozienti di Lista1 diviso per Lista2. Le liste devono avere uguali dimensioni. |
|
|
Lista1 à Valore Þ lista
|
|
|
Matrice1 à Valore Þ matrice Restituisce una matrice contenente i quozienti di Matrice1‡Valore. Nota: utilizzare . / (punto divisione) per dividere un’espressione per ciascun elemento. |
|
|
Tasto l |
|
|
Lista1 ^ Lista2 Þ lista Restituisce il primo argomento elevato alla potenza del secondo argomento. Nota: vedere anche Modello di esponente, qui. In una lista, restituisce gli elementi di Lista1 elevati alla potenza dei corrispondenti elementi di Lista2. Nel dominio reale, le potenze frazionarie con esponenti ridotti e denominatori dispari utilizzano l’ambito reale rispetto a quello principale, impiegata nel modo complesso. |
|
|
|
|
|
|
|
|
matriceQuadrata1 ^ intero Þ matrice Restituisce matriceQuadrata1 elevata alla potenza di intero. matriceQuadrata1 deve essere una matrice quadrata. Se intero = L1, viene calcolata l’inversa della matrice. Se intero < L1, viene calcolata l’inversa della matrice a una potenza positiva appropriata. |
|
|
Tasto q |
|
|
Restituisce il quadrato dell’argomento. Lista1 2 Þ lista Restituisce una lista contenente i quadrati degli elementi di Lista1. matriceQuadrata1 2 Þ matrice Restituisce la matrice matriceQuadrata1 elevata al quadrato. Ciò non equivale a calcolare il quadrato di ogni elemento. Utilizzare .^2 per calcolare il quadrato di ogni elemento. |
|
|
Tasti ^+ |
|
|
Matrice1 .+ Matrice2 Þ matrice Matrice1 .+ Matrice2 restituisce una matrice che è la somma di ciascuna coppia di elementi corrispondenti di Matrice1 e Matrice2.
|
|
|
Tasti ^- |
|
|
Matrice1 .N Matrice2 Þ matrice Matrice1 .NMatrice2 restituisce una matrice che è la differenza tra ciascuna coppia di elementi corrispondenti di Matrice1 e Matrice2.
|
|
|
Tasti ^r |
|
|
Matrice1 .· Matrice2 Þ matrice
Matrice1 .· Matrice2 restituisce una matrice che è il prodotto di ciascuna coppia di elementi corrispondenti di Matrice1 e Matrice2.
|
|
|
Tasti ^p |
|
|
Matrice1 . / Matrice2 Þ matrice Matrice1 ./ Matrice2 restituisce una matrice che è il quoziente di ciascuna coppia di elementi corrispondenti di Matrice1 e di Matrice2.
|
|
|
Tasto ^l |
|
|
Matrice1 .^ Matrice2 Þ matrice
Matrice1 .^ Matrice2 restituisce una matrice nella quale ciascun elemento di Matrice2 è l’esponente del corrispondente elemento di Matrice1.
|
|
|
Tasto v |
|
|
LLista1 Þ lista LMatrice1 Þ matrice Restituisce l’argomento con il segno cambiato. In una lista o in una matrice, restituisce tutti gli elementi con il segno cambiato. Se l’argomento è un intero binario o esadecimale, la negazione dà il complemento a due. |
In modalità base Bin: Importante: è zero, non la lettera O.
Per vedere l'intero risultato, premere 5, quindi utilizzare 7 e 8 per spostare il cursore. |
|
Tasti /k |
|
|
Lista1 % Þ lista Matrice1 % Þ matrice Restituisce In una lista o in una matrice, restituisce rispettivamente una lista o una matrice, nelle quali ciascun elemento è diviso per 100. |
Nota: Per forzare un risultato approssimativo, Palmare: Premere / ·.
|
|
Tasto = |
|
|
Espr1 = Espr2Þespressione booleana Lista1 = Lista2Þ lista booleana Matrice1 = Matrice2Þ matrice booleana Restituisce true se Espr1 è determinata in modo da essere uguale a Espr2. Restituisce false se Espr1 è determinata in modo da non essere uguale ad Espr2. Negli altri casi, restituisce una forma semplificata dell’equazione. Nelle liste e nelle matrici, restituisce un confronto elemento per elemento. Nota per l'inserimento dell'esempio: per istruzioni sull'inserimento di definizioni di programmi e funzioni costituite da più righe, consultare la sezione Calcolatrice del manuale del prodotto. |
Esempio di funzione che usa gli operatori relazionali: =, ƒ, <, {, >, |
Risultato della rappresentazione grafica g(x)
|
|
Tasti /= |
|
|
Espr1 ƒ Espr2 Þ espressione booleana Lista1 ƒ Lista2 Þ lista booleana Matrice1 ƒ Matrice2 Þ Matrice booleana Restituisce true se Espr1 è determinata in modo da non essere uguale a Espr2. Restituisce false se Espr1 è determinata in modo da essere uguale a Espr2. Negli altri casi, restituisce una forma semplificata dell’equazione. Nelle liste e nelle matrici, restituisce un confronto elemento per elemento. Nota: è possibile inserire questo operatore dalla tastiera del computer digitando /= |
Vedere l’esempio di “=” (uguale). |
|
Tasti /= |
|
|
Espr1 < Espr2 Þ espressione booleana Lista1 < Lista2 Þ lista booleana Matrice1 < Matrice2 Þ matrice booleana Restituisce true se Espr1 è determinata in modo da essere minore di Espr2. Restituisce false se Espr1 è determinata in modo da non essere maggiore o uguale a Espr2. Negli altri casi, restituisce una forma semplificata dell’equazione. Nelle liste e nelle matrici, restituisce un confronto elemento per elemento. |
Vedere l’esempio di “=” (uguale). |
|
Tasti /= |
|
|
Espr1 { Espr2 Þ espressione booleana Lista1 { Lista2 Þ lista booleana Matrice1 { Matrice2 Þ matrice booleana Restituisce true se Espr1 è determinata in modo da essere minore o uguale a Espr2. Restituisce false se Espr1 è determinata in modo da non essere maggiore di Espr2. Negli altri casi, restituisce una forma semplificata dell’equazione. Nelle liste e nelle matrici, restituisce un confronto elemento per elemento. Nota: è possibile inserire questo operatore dalla tastiera del computer digitando <= |
Vedere l’esempio di “=” (uguale). |
|
Tasti /= |
|
|
Espr1 > Espr2 Þ espressione booleana Lista1 > Lista2 Þ lista booleana Matrice1 > Matrice2 Þ matrice booleana Restituisce true se Espr1 è determinata in modo da essere maggiore di Espr2. Restituisce false se Espr1 è determinata in modo da non essere minore o uguale a Espr2. Negli altri casi, restituisce una forma semplificata dell’equazione. Nelle liste e nelle matrici, restituisce un confronto elemento per elemento. |
Vedere l’esempio di “=” (uguale). |
|
Tasti /= |
|
|
Espr1 | Espr2 Þ espressione booleana Lista1 | Lista2 Þ lista booleana Matrice1 | Matrice2 Þ matrice booleana Restituisce true se Espr1 è determinata in modo da essere maggiore o uguale a Espr2. Restituisce false se Espr1 è determinata in modo da non essere minore o uguale a Espr2. Negli altri casi, restituisce una forma semplificata dell’equazione. Nelle liste e nelle matrici, restituisce un confronto elemento per elemento. Nota: è possibile inserire questo operatore dalla tastiera del computer digitando >= |
Vedere l’esempio di “=” (uguale). |
|
/= tasti |
|
|
BooleanExpr1 Þ BooleanExpr2 restituisce Boolean expression BooleanList1 Þ BooleanList2 restituisce Boolean list BooleanMatrix1 Þ BooleanMatrix2 restituisce Boolean matrix Integer1 Þ Integer2 restituisce Integer
Valuta l'espressione Nel caso di liste e matrici, restituisce un confronto elemento per elemento. Nota: È possibile inserire questo operatore dalla tastiera digitando => |
|
|
/= tasti |
|
|
BooleanExpr1 Û BooleanExpr2 restituisce Boolean expression BooleanList1 Û BooleanList2 restituisce Boolean list BooleanMatrix1 Û BooleanMatrix2 restituisce Boolean matrix Integer1 Û Integer2 restituisce Integer
Restituisce la negazione di un'operazione Nel caso di liste e matrici, restituisce un confronto elemento per elemento. Nota: È possibile inserire questo operatore dalla tastiera digitando <=> |
|
|
Tasto º |
|
|
Lista1! Þ lista Matrice1! Þ matrice Restituisce il fattoriale dell’argomento. In una lista o in una matrice, restituisce rispettivamente una lista o una matrice dei fattoriali di ciascun elemento. |
|
|
Tasti /k |
|
|
Stringa1 & Stringa2 Þ stringa Restituisce una stringa di testo, aggiungendo Stringa2 a Stringa1. |
|
|
Catalogo > |
|
|
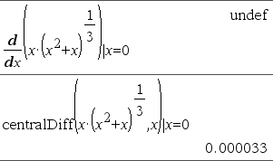
d(Espr1, Var[, Ordine]) | Var=ValoreÞvalore d(Espr1, Var[, Ordine])Þvalore d(Lista1, Var[, Ordine])Þlista d(Matrice1, Var[, Ordine])Þmatrice Tranne quando si utilizza la prima sintassi, è necessario memorizzare un valore numerico nella variabile Var prima di calcolare d(). Vedere gli esempi.
Ordine, se incluso, deve essere = 1 o 2. L'impostazione predefinita è 1. Nota: è possibile inserire questa funzione dalla tastiera del computer digitando
|
|
|
Si consideri l'esempio sulla destra. La derivata prima di x·(x^2+x)^(1/3) con x=0 è uguale a 0. Tuttavia, poiché la derivata prima della sottoespressione (x^2+x)^(1/3) è indefinita con x=0, e questo valore è utilizzato per calcolare la derivata dell'espressione totale, d() riporta il risultato come indefinito e visualizza un messaggio di avvertenza.
|
|
|
Catalogo > |
|
|
‰(Espr1, Var, Inferiore, Superiore) Þ valore Restituisce l'integrale di Espr1 rispetto alla variabile Var da Inferiore a Superiore. Può essere utilizzato per calcolare numericamente l'integrale definito, con lo stesso metodo di nInt(). Nota: è possibile inserire questa funzione dalla tastiera del computer digitando integral(...). Nota: vedere anche nInt(), qui e Modello di integrale definito, qui. |
|
|
Tasti /q |
|
|
‡ (List1)Þlista Restituisce la radice quadrata dell’argomento. In una lista, restituisce le radici quadrate di tutti gli elementi di Lista1. Nota: è possibile inserire questa funzione dalla tastiera del computer digitando sqrt(...) Nota: vedere anche Modello di radice quadrata, qui. |
|
|
Catalogo > |
|
|
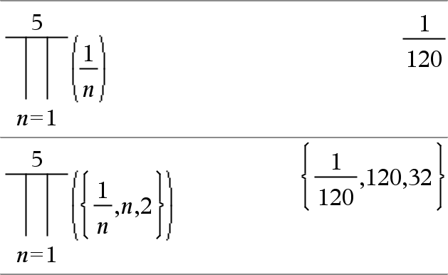
P(Espr1, Var, Basso, Alto)Þespressione Nota: è possibile inserire questa funzione dalla tastiera del computer digitando prodSeq(...). Calcola Espr1 per ciascun valore di Var da Basso ad Alto e restituisce il prodotto dei risultati. Nota: vedere anche Modello di prodotto (P), qui. |
|
|
P(Espr1, Var, Basso, BassoN1)Þ1 P(Espr1, Var, Basso, Alto) Þ1/P(Espr1, Var, Alto+1, BassoN1) if Alto < BassoN1 Le formule di prodotto utilizzate sono derivate dal seguente riferimento: Ronald L. Graham, Donald E. Knuth, and Oren Patashnik. Concrete Mathematics: A Foundation for Computer Science. Reading, Massachusetts: Addison-Wesley, 1994. |
|
|
Catalogo > |
|
|
G(Espr1, Var, Basso, Alto)Þespressione Nota: è possibile inserire questa funzione dalla tastiera del computer digitando sumSeq(...). Calcola Espr1 per ciascun valore di Var da Basso ad Alto e restituisce la somma dei risultati. Nota: vedere anche Modello di somma, qui. |
|
|
G(Espr1, Var, Basso, BassoN1)Þ0 G(Espr1, Var, Basso, Alto) ÞLG(Espr1, Var, Alto+1, BassoN1) if Alto < BassoN1
Le formule di sommatoria utilizzate sono derivate dal seguente riferimento: Ronald L. Graham, Donald E. Knuth, and Oren Patashnik. Concrete Mathematics: A Foundation for Computer Science. Reading, Massachusetts: Addison-Wesley, 1994. |
|
|
Catalogo > |
||||||||||
|
GInt(NPmt1, NPmt2, N, I, PV,[Pmt], [FV], [PpY], [CpY], [PmtAt], [valoreArrotondato])Þvalore GInt(NPmt1,NPmt2,tabellaAmmortamento)Þvalore Funzione di ammortamento che calcola la somma dell’interesse pagato durante un intervallo specifico di pagamenti. NPmt1 e NPmt2 definiscono l’inizio e la fine dell’intervallo dei pagamenti. N, I, PV, Pmt, FV, PpY, CpY e PmtAt sono descritti nella tabella degli argomenti TVM, qui.
valoreArrotondato specifica il numero di cifre decimali di arrotondamento. Impostazione predefinita=2. GInt(NPmt1,NPmt2,tabellaAmmortamento) calcola la somma degli interessi sulla base della tabella di ammortamento tabellaAmmortamento. L’argomento tabellaAmmortamento deve essere una matrice avente la forma descritta in amortTbl(), qui. Nota: vedere anche GPrn(), sotto, e Bal(), qui. |
|
|
Catalogo > |
||||||||||
|
GPrn(NPmt1, NPmt2, N, I, PV, [Pmt], [FV], [PpY], [CpY], [PmtAt], [valoreArrotondato])Þvalore GPrn(NPmt1,NPmt2,tabellaAmmortamento)Þvalore Funzione di ammortamento che calcola la somma del capitale versato durante un intervallo specifico di pagamenti. NPmt1 e NPmt2 definiscono l’inizio e la fine dell’intervallo dei pagamenti. N, I, PV, Pmt, FV, PpY, CpY e PmtAt sono descritti nella tabella degli argomenti TVM, qui.
valoreArrotondato specifica il numero di cifre decimali di arrotondamento. Impostazione predefinita=2. GPrn(NPmt1,NPmt2,tabellaAmmortamento) calcola la somma del capitale versato sulla base della tabella di ammortamento tabellaAmmortamento. L’argomento tabellaAmmortamento deve essere una matrice avente la forma descritta in amortTbl(), qui. Nota: vedere anche GInt(), sopra, e Bal(), qui. |
|
|
Tasti / k |
|
|
# stringaNomeVariabile Questo operatore, che si riferisce alla variabile chiamata stringaNomeVariabile, permette di creare e di modificare le variabili dall’interno di una funzione mediante le stringhe. |
Crea o fa riferimento alla variabile xyz.
Restituisce il valore della variabile (r) il cui nome è memorizzato nella variabile s1. |
|
Tasto i |
|
|
mantissaEesponente Permette di inserire un numero in notazione scientifica. Il numero viene interpretato come mantissa × 10esponente. Suggerimento: se si desidera inserire una potenza di 10 senza ottenere un valore decimale per risultato, utilizzare 10^intero. Nota: è possibile inserire questo operatore dalla tastiera del computer digitando @E. Per esempio, digitare 2.3@E4 per inserire 2.3E4. |
|
|
Tasto 1 |
|
|
Espr1g Þespressione Espr1g Þespressione Lista1g Þlista Matrice1g Þmatrice Questa funzione consente di utilizzare un angolo espresso in gradianti pure essendo attiva la modalità di misurazione degli angoli in gradi o in radianti. In modalità angolo in radianti, moltiplica Espr1 per p/200. In modalità angolo in gradi, moltiplica Espr1 per g/100. In modalità gradianti, restituisce Espr1 senza modifiche. Nota: è possibile inserire questo simbolo dalla tastiera del computer digitando @g. |
In modalità di misurazione degli angoli in gradi, gradianti o radianti:
|
|
Tasto 1 |
|
|
Lista1RÞlista Matrice1RÞmatrice Questa funzione consente di utilizzare un angolo espresso in radianti pur essendo attiva la modalità di misurazione degli angoli in gradi o in gradianti. In modalità angolo in gradi, moltiplica l’argomento per 180/p. In modalità angolo in radianti, restituisce l’argomento immutato. In modalità angolo in gradianti, moltiplica l’argomento per 200/p. Suggerimento: ricorrere al simbolo Rse si desidera forzare l’uso dei radianti in una definizione, indipendentemente dalla modalità prevalente nella funzione. Nota: è possibile inserire questo simbolo dalla tastiera del computer digitando @r. |
In modalità angolo in gradi, gradianti o radianti:
|
|
Tasto 1 |
|
|
Lista1¡Þlista Matrice1¡Þmatrice Questa funzione consente di utilizzare un angolo espresso in gradi pur essendo attiva la modalità di misurazione degli angoli in gradianti o in radianti. In modalità angolo in radianti, moltiplica l’argomento per p/180. In modalità angolo in gradi, restituisce l’argomento immutato. In modalità angolo in gradianti, moltiplica l’argomento per 10/9. Nota: è possibile inserire questo simbolo dalla tastiera del computer digitando @d. |
In modalità angolo in gradi, gradianti o radianti:
In modalità angolo in radianti:
|
|
Tasti / k |
|||||||
|
gg¡pp’ss.ss’’Þespressione ggun numero positivo o negativo ppun numero non negativo ss.ssun numero non negativo Restituisce gg+(pp/60)+(ss.ss/3600). Questo formato di introduzione in base ‑60 consente di:
Nota: far seguire ss.ss da due apostrofi (’’) e non dal simbolo di virgolette ("). |
In modalità angolo in gradi:
|
|
Tasti / k |
|
|
[Raggio,±q_Angolo]Þvettore (formato polare) [Raggio,±q_Angolo,Z_Coordinate]Þvettore (formato cilindrico) [Raggio,±q_Angolo,±q_Angolo]Þvettore (formato sferico) Restituisce le coordinate nella forma di un vettore a seconda dell’impostazione della modalità formato vettore: rettangolare, cilindrico o sferico. Nota: è possibile inserire questo simbolo dalla tastiera del computer digitando @<. |
In modalità angolo in radianti e con il formato vettore impostata su: rettangolare
cilindrico
sferico
|
|
(Grandezza ± Angolo)ÞvaloreComplesso (formato polare) Inserisce un valore complesso in formato polare (r±q). Angolo viene interpretato conformemente alla modalità di misurazione degli angoli impostata. |
In modalità angolo in radianti e in modalità formato rettangolare complesso:
|
|
Vedere “Elementi vuoti (nulli)”, qui. |
|
|
|
|
|
Tasti /_ |
|
|
Variabile_ Se Variabile non ha un valore, essa verrà trattata come se indicasse un numero complesso. Per impostazione predefinita, senza _, la variabile verrà considerata un numero reale. Se a Variabile è associato un valore, il carattere _ viene ignorato e Variabile conserverà il tipo di dati originale. |
Assumendo che z non sia definito:
|
|
Catalogo > |
|
|
10^ (Valore1)Þvalore 10^ (Lista1)Þlista Restituisce 10 elevato alla potenza dell’argomento. In una lista, restituisce 10 elevato alla potenza degli elementi di Lista1. |
|
|
10^(matriceQuadrata1)ÞmatriceQuadrata Restituisce 10 elevato alla potenza di matriceQuadrata1. Ciò non equivale a calcolare 10 elevato alla potenza di ciascun elemento. Per informazioni sul metodo di calcolo, vedere cos(). matriceQuadrata1 deve essere diagonalizzabile. Il risultato contiene sempre numeri a virgola mobile. |
|
|
Catalogo > |
|
|
Lista1 ^/Þlista Restituisce il reciproco dell’argomento. In una lista, restituisce i reciproci degli elementi di Lista1. |
|
|
matriceQuadrata1 ^/ÞmatriceQuadrata Restituisce l’inversa di matriceQuadrata1. matriceQuadrata1 deve essere una matrice quadrata non singolare. |
|
|
/k tasti |
||||||||||
|
Expr | BooleanExpr1 [ Expr | BooleanExpr1 [ Il simbolo di vincolo (“|”) serve da operatore binario. L'operando a sinistra di | è un'espressione. L'operando a destra di | definisce una o più relazioni destinate ad avere un effetto sulla semplificazione dell'espressione. Le relazioni multiple dopo | devono essere collegate da operatori logici “ L'operatore di vincolo fornisce tre tipi primari di funzionalità:
|
|
|||||||||
|
Le sostituzioni si presentano nella forma di equazione, come per esempio x=3 o y=sin(x). I migliori risultati si ottengono quando la parte sinistra è una variabile semplice. Expr | Variabile = valore sostituirà valore per ogni ricorrenza di Variabile in Expr. |
|
|||||||||
|
I vincoli d'intervallo si presentano nella forma di una o più disequazioni, collegate da operatori logici “and” o “or”. I vincoli d'intervallo permettono inoltre la semplificazione, la quale sarebbe altrimenti non valida o non calcolabile. |
|
|||||||||
|
Le esclusioni utilizzano l'operatore relazionale “diverso da” (/= or ƒ) per escludere dalla valutazione un valore specifico. |
|
Tasti /h |
|
|
List & Matrix & Var Espr & Funzione(Param1,...) Lista & Funzione(Param1,...) Matrice & Funzione(Param1,...) Se la variabile Var non esiste, Var viene creata e inizializzata in Valore, Lista o Matrice. Se la variabile Var esiste già e non è bloccata o protetta, l’operatore ne sostituisce il contenuto con Valore, Lista o Matrice. Nota: è possibile inserire questo operatore dalla tastiera del computer digitando =: come scelta rapida. Per esempio, digitare pi/4 =: Miavar. |
|
|
Tasti /t |
|
|
Var := Lista Var := Matrice Funzione(Param1,...) := Espr Funzione(Param1,...) := Lista Funzione(Param1,...) := Matrice Se la variabile Var non esiste, Var viene creata e inizializzata in Valore, Lista o Matrice. Se la variabile Var esiste già e non è bloccata o protetta, l’operatore ne sostituisce il contenuto con Valore, Lista o Matrice. |
|
|
Tasti /k |
|
|
© [testo] © considera testo come una riga di commento che consente di annotare le funzioni e i programmi creati. © può trovarsi all’inizio o in qualsiasi altro punto della riga. Tutto quanto si trova a destra del segno © fino alla fine della riga viene considerato come commento. Nota per l'inserimento dell'esempio: per istruzioni sull'inserimento di definizioni di programmi e funzioni costituite da più righe, consultare la sezione Calcolatrice del manuale del prodotto. |
|
|
Tasti 0B, tasti 0H |
|
|
0b numeroBinario 0h numeroEsadecimale Indica, rispettivamente, un numero binario o un numero esadecimale. Per inserire un numero binario o esadecimale, inserire il prefisso 0b o 0h indipendentemente dalla modalità Base che è stata impostata. Senza prefisso, un numero viene considerato decimale (base 10). I risultati vengono visualizzati nella modalità Base che è stata impostata. |
In modalità base Dec:
In modalità base Bin:
In modalità base Esadecimale:
|

.
