Modelli di espressione
I modelli di espressione rappresentano un metodo veloce per introdurre espressioni matematiche in notazione matematica standard. Un modello, quando inserito, viene visualizzato nella riga di introduzione come tanti quadratini al posto degli elementi che si possono inserire. Un cursore indica quale elemento si può inserire.
Utilizzare i tasti freccia o premere e per spostare il cursore su ciascun elemento e digitare un valore o un’espressione per esso. Premere · o /· per calcolare l’espressione.
|
Tasti /p |
|
|
|
Esempio:
|
|
Tasto l |
|
|
Nota: digitare il primo valore, premere l, quindi digitare l’esponente. Per riportare il cursore sulla linea di base, premere la freccia a destra (¢). Nota: vedere anche ^ (potenza), qui. |
Esempio:
|
|
Tasti /q |
|
|
|
Esempio:
|
|
Tasti /l |
|
|
|
Esempio:
|
|
Tasti u |
|
|
Esponenziale naturale e elevato a potenza Nota: vedere anche e^(), qui. |
Esempio:
|
|
Tasto / |
|
|
Calcola il logaritmo nella base specificata. Per la base 10 predefinita, omettere la base. Nota: vedere anche log(), qui. |
Esempio:
|
|
Catalogo > |
|
|
Consente di creare espressioni e condizioni per funzioni definite a due‑tratti. Per aggiungere un tratto, fare clic sul modello e ripeterlo. Nota: vedere anche piecewise(), qui. |
Esempio:
|
|
Catalogo > |
|
|
Consente di creare espressioni e condizioni per una funzione definita a N‑tratti. Richiede l’introduzione di N.
Nota: vedere anche piecewise(), qui. |
Esempio: vedere l’esempio del Modello di funzione piecewise a 2 tratti. |
|
Catalogo > |
|
|
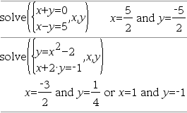
Crea un sistema di due equazioni Nota: vedere anche system(), qui. |
Esempio:
|
|
Catalogo > |
|
|
Consente di creare un sistema di N
Nota: vedere anche system(), qui. |
Esempio: vedere l’esempio del Modello di sistema di equazioni (2 equazioni). |
|
Catalogo > |
|
|
|
Esempio:
|
|
Catalogo > |
|
|
Consente di inserire angoli nel formato gg°pp’ss.ss’’, dove gg è il numero di gradi decimali, pp è il numero di primi e ss.ss è il numero di secondi. |
Esempio:
|
|
Catalogo > |
|
|
Crea una matrice 2 x 2. |
Esempio:
|
|
Catalogo > |
|
|
|
Esempio:
|
|
Catalogo > |
|
|
|
Esempio:
|
|
Catalogo > |
|
|
Il modello appare dopo la richiesta di specificare il numero di righe e colonne.
Nota: se si crea una matrice con un numero elevato di righe e colonne, è possibile che la visualizzazione richieda un po’ di tempo. |
Esempio:
|
|
Catalogo > |
|
|
Nota: vedere anche G() (sumSeq), qui. |
Esempio:
|
|
Catalogo > |
|
|
Nota: vedere anche P() (prodSeq), qui. |
Esempio:
|
|
Catalogo > |
|
|
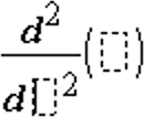
Può essere utilizzato inoltre per calcolare numericamente la derivata prima in un punto con metodi di differenziazione automatica. Nota: vedere anche d() (derivata), qui. |
Esempio:
|
|
Catalogo > |
|
|
Può essere utilizzato inoltre per calcolare numericamente la derivata seconda in un punto con metodi di differenziazione automatica. Nota: vedere anche d() (derivata), qui. |
Esempio:
|
|
Catalogo > |
|
|
Il modello di integrale definito può essere utilizzato per calcolare numericamente l'integrale definito, con lo stesso metodo di nInt().
|
Esempio:
|





.