N
|
/= tasti |
|
|
BooleanExpr1 BooleanList1 BooleanMatrix1
Restituisce la negazione di un'operazione and logica riguardo i due argomenti. Restituisce true, false o una forma semplificata dell'equazione. Nel caso di liste e matrici, restituisce un confronto elemento per elemento. |
|
|
Integer1 Confronta due interi reali bit per bit tramite un'operazione nand. Internamente, entrambi gli interi vengono convertiti in numeri binari a 64 bit con segno. Quando vengono confrontati i bit corrispondenti, il risultato sarà 0 se entrambi sono uguali a 1; in caso contrario, il risultato sarà 1. Il valore restituito rappresenta il risultato dei bit e viene visualizzato secondo la modalità base. È possibile inserire gli interi in qualsiasi base numerica. Nel caso di un numero binario o esadecimale, è necessario utilizzare rispettivamente il prefisso 0b o 0h. Senza prefisso, gli interi vengono considerati decimali (base 10) |
|
|
Catalogo > |
|
|
nCr(Valore1, Valore2)Þespressione Dati i numeri interi Valore1 e Valore2 con Valore1 | Valore2 | 0, nCr() è il numero di combinazioni degli elementi di Valore1 presi nel numero di Valore2 per volta (questa procedura è nota anche come coefficiente binomiale). nCr(Valore1, 0)Þ1 nCr(Valore1, interoNeg)Þ0 nCr(Valore1, interoPos)Þ Valore1·(Valore1N1)... (Valore1NinteroPos+1)/ interoPos!
|
|
|
nCr(Lista1, Lista2)Þlista Restituisce una lista di combinazioni sulla base delle coppie di elementi corrispondenti nelle due liste. Le liste degli argomenti devono avere dimensioni uguali. |
|
|
nCr(Matrice1, Matrice2)Þmatrice Restituisce una matrice di combinazioni, sulla base delle coppie di elementi corrispondenti nelle due matrici. Le matrici degli argomenti devono avere le stesse dimensioni. |
|
|
Catalogo > |
|
|
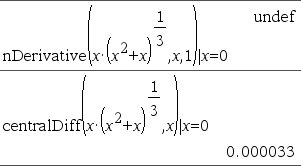
Restituisce la derivata numerica calcolata con metodi di differenziazione automatica. Se il Valore è specificato, lo stesso sostituisce qualsiasi assegnazione di variabile precedente o qualsiasi sovrapposizione corrente “|” della variabile. Se la variabile Var non contiene un valore numerico, è necessario specificare Valore. Ordine della derivata deve essere 1 o 2. |
|
|
Si consideri l'esempio sulla destra. La derivata prima di x·(x^2+x)^(1/3) con x=0 è uguale a 0. Tuttavia, poiché la derivata prima della sottoespressione (x^2+x)^(1/3) è indefinita con x=0, e questo valore è utilizzato per calcolare la derivata dell'espressione totale, nDerivative() riporta il risultato come indefinito e visualizza un messaggio di avvertenza. Se si incontra questa limitazione, verificare la soluzione graficamente. È anche possibile provare a utilizzare centralDiff(). |
|
|
Catalogo > |
|
|
newList(numElementi)Þlista Restituisce una lista le cui dimensioni sono numElementi. Ciascun elemento è zero. |
|
|
Catalogo > |
|
|
newMat(numRighe, numColonne)Þmatrice Restituisce una matrice di zeri le cui dimensioni sono date da numRighe per numColonne. |
|
|
Catalogo > |
|
|
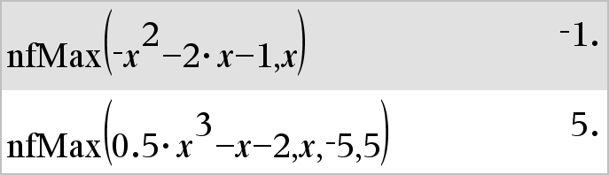
nfMax(Espr, Var)Þvalore nfMax(Espr, Var, estremoInf)Þvalore nfMax(Espr, Var, estremoInf, estremoSup)Þvalore nfMax(Espr, Var) | estremoInf{Var{estremoSupÞvalore Restituisce un possibile valore calcolato numericamente della variabile Var che produce il massimo locale di Espr. Se si fornisce estremoInf e estremoSup, la funzione controlla nell'ambito dell'intervallo chiuso[estremoInf,estremoSup] per il massimo locale. |
|
|
Catalogo > |
|
|
nfMin(Espr, Var)Þvalore nfMin(Espr, Var, estremoInf)Þvalore nfMin(Espr, Var, estremoInf, estremoSup)Þvalore nfMin(Espr, Var) | estremoInf{Var{estremoSupÞvalore Restituisce un possibile valore calcolato numericamente della variabile Var che produce il minimo locale di Espr. Se si fornisce estremoInf e estremoSup, la funzione controlla nell'ambito dell'intervallo chiuso[estremoInf,estremoSup] per il minimo locale. |
|
|
Catalogo > |
|
|
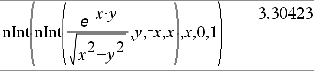
nInt(Espr1, Var, Inferiore, Superiore)Þespressione Se la funzione da integrare Espr1 non contiene nessun’altra variabile oltre a Var e se Inferiore e Superiore sono costanti, ˆ positivo o ˆ negativo, allora nInt() restituisce un’approssimazione di ‰(Espr1,Var, Inferiore, Superiore). Tale approssimazione è una media pesata di alcuni valori esemplificativi della funzione da integrare nell’intervallo Inferiore<Var<Superiore. |
|
|
L’obiettivo sono sei cifre significative. L’algoritmo adattivo termina quando sembra che l’obiettivo sia stato raggiunto, oppure quando sembra che ulteriori esempi non potrebbero portare alcun miglioramento significativo. Viene visualizzato un avvertimento (“Accuratezza dubbia”) quando sembra che l’obiettivo non sia stato raggiunto. |
|
|
È possibile nidificare nInt() per un’integrazione numerica multipla. I limiti di integrazione possono dipendere da variabili di integrazione esterne ad essi. |
|
|
Catalogo > |
|
|
nom(tassoEffettivo,CpY)Þvalore Funzione finanziaria che converte il tasso di interesse effettivo annuo tassoEffettivo in un tasso nominale, essendo CpY il numero di periodi di capitalizzazione per anno. tassoEffettivo deve essere un numero reale e CpY deve essere un numero reale > 0. Nota: vedere anche eff(), qui. |
|
|
/= tasti |
|
|
BooleanExpr1
BooleanList1
BooleanMatrix1
Restituisce la negazione di un'operazione or logica riguardo i due argomenti. Restituisce true, false o una forma semplificata dell'equazione. Nel caso di liste e matrici, restituisce un confronto elemento per elemento. |
|
|
Integer1
Confronta due interi reali bit per bit tramite una operazione nor. Internamente, entrambi gli interi vengono convertiti in numeri binari a 64 bit con segno. Quando vengono confrontati i bit corrispondenti, il risultato sarà 1 se entrambi sono uguali a 1; in caso contrario, il risultato sarà 0. Il valore restituito rappresenta il risultato dei bit e viene visualizzato secondo la modalità base. È possibile inserire gli integer in qualsiasi base numerica. Se si tratta di un numero binario o esadecimale, utilizzare rispettivamente il prefisso 0b o 0h. Senza prefisso, gli integer vengono considerati decimali (base 10) |
|
|
Catalogo > |
|
|
norm(Matrice)Þespressione norm(Vettore)Þespressione Restituisce la norma di Frobenius. |
|
|
Catalogo > |
|
|
normCdf(valoreInferiore,valoreSuperiore[,m[,s]])Þnumero se valoreInferiore e valoreSuperiore sono numeri, lista se valoreInferiore e valoreSuperiore sono liste Calcola la probabilità di distribuzione normale tra valoreInferiore e valoreSuperiore per m (default=0) e s (default=1) specificati.
|
|
|
Catalogo > |
|
|
normPdf(ValX[,m[,s]])Þnumero se ValX è un numero, lista se ValX è una lista Calcola la funzione della densità di probabilità per la distribuzione normale in un valore valX specificato per m s specificati. |
|
|
Catalogo > |
|
|
not EsprBooleana1Þespressione booleana Restituisce vero o falso o una forma semplificata dell’argomento. |
|
|
not Intero1Þintero Restituisce il complemento a uno di un intero reale. Internamente, Intero1 viene convertito in numero binario a 64 bit con segno. Il valore di ciascun bit viene scambiato (0 diventa 1 e viceversa) per il complemento a uno. I risultati vengono visualizzati nella modalità Base che è stata impostata. È possibile inserire l’intero in qualsiasi base numerica. Se si tratta di un numero binario o esadecimale, utilizzare rispettivamente il prefisso 0b o 0h. Senza prefisso, l’intero viene considerato decimale (base 10). Se viene indicato un intero decimale troppo grande per una forma binaria con segno a 64 bit, verrà utilizzata un'operazione a modulo simmetrico per portare il valore nell'intervallo appropriato. Per ulteriori informazioni, vedere 4Base2, qui. |
In modalità base Esadecimale: Importante: è zero, non la lettera O.
In modalità base Bin:
Per vedere l'intero risultato, premere 5, quindi utilizzare 7 e 8 per spostare il cursore. Nota: un numero binario può contenere fino a 64 cifre (oltre al prefisso 0b). Un numero esadecimale può contenere fino ad 16 cifre. |
|
Catalogo > |
|
|
nPr(Valore1, Valore2)Þespressione nPr(Valore1, 0)Þ1 nPr(Valore1, interoNeg) Þ 1/((Valore1+1)·(Valore1+2)... (Valore1NinteroNeg)) nPr(Valore1, interoPos) Þ Valore1·(Valore1N1)... (Valore1NinteroPos+1)
|
|
|
nPr(Lista1, Lista2)Þlista Restituisce una lista delle disposizioni semplici sulla base delle coppie di elementi corrispondenti nelle due liste. Le liste degli argomenti devono avere dimensioni uguali. |
|
|
nPr(Matrice1, Matrice2)Þmatrice Restituisce una matrice di disposizioni semplici sulla base delle coppie di elementi corrispondenti nelle due matrici. Le matrici degli argomenti devono avere le stesse dimensioni. |
|
|
Catalogo > |
|
|
npv(tassoInteresse,CFO,CFLista[,CFFreq]) Funzione finanziaria che calcola il valore presente netto (Net Present Value), la somma dei valori presenti per i cash flow in entrata (somme ricevute) e in uscita (somme pagate). Un risultato positivo per npv indica un investimento proficuo. tassoInteresse è il tasso a cui scontare i cash flow (il costo del denaro) di un dato periodo. CF0 è il cash flow iniziale al tempo 0; deve essere un numero reale. CFLista è una lista di importi di cash flow dopo il cash flow iniziale CF0. CFFreq è una lista in cui ciascun elemento specifica la frequenza di occorrenza di un importo di cash flow raggruppato (consecutivo), che è l’elemento corrispondente di CFLista. L’impostazione predefinita è 1; è possibile inserire valori che siano numeri interi positivi < 10000. |
|
|
Catalogo > |
|
|
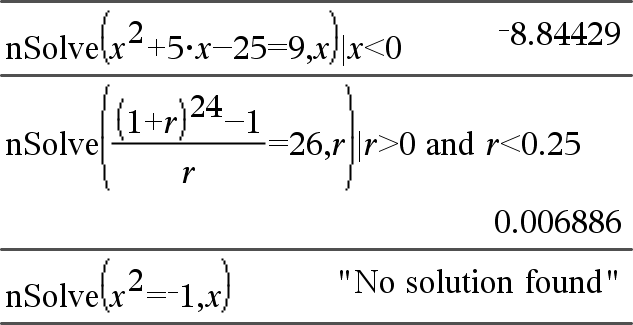
nSolve(Equazione,Var[=Campione])Þnumero o stringa_errore nSolve(Equazione,Var[=Campione],estremoInf) Þnumero o stringa_errore nSolve(Equazione,Var[=Campione],estremoInf,estremoSup) Þnumero o stringa_errore nSolve(Equazione,Var[=Campione]) | estremoInf{Var{estremoSup Þnumero o stringa_errore Ricerca iterativamente una soluzione numerica reale approssimata dell’Equazione per la sua variabile. Specificare la variabile come: variabile – o – variabile = numero reale Ad esempio, x è valido come pure x=3. |
Nota: se vi sono soluzioni multiple, è possibile usare un valore campione per trovare una soluzione particolare. |
|
nSolve() cerca di determinare un punto in cui il resto sia zero oppure due punti relativamente vicini, nei quali il resto abbia segni opposti e la grandezza del resto non sia eccessiva. Se non è possibile ottenere ciò utilizzando un numero limitato di punti campione, viene restituita la stringa “Nessuna soluzione trovata.” |
|
