Expression Templates
Expression templates give you an easy way to enter math expressions in standard mathematical notation. When you insert a template, it appears on the entry line with small blocks at positions where you can enter elements. A cursor shows which element you can enter.
Position the cursor on each element, and type a value or expression for the element.
|
/p keys |
|
|
|
Example:
|
|
l key |
|
|
Note: Type the first value, press l, and then type the exponent. To return the cursor to the baseline, press right arrow (¢). Note: See also ^ (power), here. |
Example:
|
|
/q keys |
|
|
|
Example:
|
|
/l keys |
|
|
|
Example:
|
|
u keys |
|
|
Natural exponential e raised to a power Note: See also e^(), here. |
Example:
|
|
/s key |
|
|
Calculates log to a specified base. For a default of base 10, omit the base. Note: See also log(), here. |
Example:
|
|
Catalog > |
|
|
Lets you create expressions and conditions for a two‑piece piecewise function. To add a piece, click in the template and repeat the template. Note: See also piecewise(), here. |
Example:
|
|
Catalog > |
|
|
Lets you create expressions and conditions for an N‑piece piecewise function. Prompts for N.
Note: See also piecewise(), here. |
Example: See the example for Piecewise template (2-piece). |
|
Catalog > |
|
|
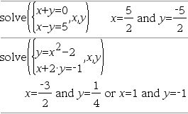
Creates a system of two Note: See also system(), here. |
Example:
|
|
Catalog > |
|
|
Lets you create a system of N
Note: See also system(), here. |
Example: See the example for System of equations template (2-equation). |
|
Catalog > |
|
|
|
Example:
|
|
Catalog > |
|
|
Lets you enter angles in dd°mm’ss.ss’’ format, where dd is the number of decimal degrees, mm is the number of minutes, and ss.ss is the number of seconds. |
Example:
|
|
Catalog > |
|
|
Creates a 2 x 2 matrix. |
Example:
|
|
Catalog > |
|
|
|
Example:
|
|
Catalog > |
|
|
|
Example:
|
|
Catalog > |
|
|
The template appears after you are prompted to specify the number of rows and columns.
Note: If you create a matrix with a large number of rows and columns, it may take a few moments to appear. |
Example:
|
|
Catalog > |
|
|
Note: See also Σ() (sumSeq), here. |
Example:
|
|
Catalog > |
|
|
Note: See also Π() (prodSeq), here. |
Example:
|
|
Catalog > |
|
|
The first derivative template can be used to calculate first derivative at a point numerically, using auto differentiation methods. Note: See also d() (derivative), here. |
Example:
|
|
Catalog > |
|
|
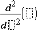
The second derivative template can be used to calculate second derivative at a point numerically, using auto differentiation methods. Note: See also d() (derivative), here. |
Example:
|
|
Catalog > |
|
|
The definite integral template can be used to calculate the definite integral numerically, using the same method as nInt(). Note: See also nInt(), here. |
Example:
|





.