Uttrykkssjabloner
Med uttrykkssjablonene er det enkelt å skrive inn uttrykk i standardisert, matematisk fremstilling. Når du setter inn en sjablon, kommer den til syne på kommandolinjen med små blokker i posisjoner der du kan legge inn elementer. En markør viser hvilke elementer du kan sette inn.
Bruk pilknappene eller trykk på e for å bevege markøren til hvert elements posisjon, og skriv inn en verdi eller et uttrykk for elementet. Trykk på · eller /· for å behandle uttrykket.
|
/p taster |
|
|
|
Eksempel:
|
|
ltast |
|
|
Merk: Skriv inn den første verdien, trykk på l og skriv så inn eksponenten. For å flytte markøren tilbake til grunnlinjen, trykk på høyre pil ( ¢ ). Merk: Se også ^ (potens), her. |
Eksempel:
|
|
/q taster |
|
|
|
Eksempel:
|
|
/l taster |
|
|
|
Eksempel:
|
|
u tast |
|
|
Naturlig grunntall e opphøyd i en eksponent Merk: Se også e^(), her. |
|
|
/s taster |
|
|
Beregner logaritme til et spesifisert grunntall. Hvis grunntallet er forhåndsinnstilt på 10, utelates grunntallet. Merk: Se også log(), her. |
Eksempel:
|
|
Katalog > |
|
|
Lar deg opprette uttrykk og betingelser for en to‑delers stykkevis definert funksjon. For å legge til en del, klikk på sjablonen og gjenta sjablonen. Merk: Se også stykkevis(), her. |
Eksempel:
|
|
Katalog > |
|
|
Lar deg opprette uttrykk og betingelser for en N‑-delers stykkevis definert funksjon. Ber om N.
Merk: Se også stykkevis(), her. |
Eksempel: Se eksemplet for Stykkevis sjablon (2-delers). |
|
Katalog > |
|
|
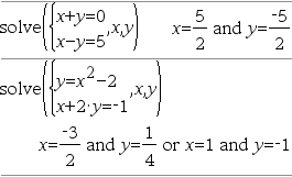
Oppretter et system av to Merk: Se også system(), her. |
Eksempel:
|
|
Katalog > |
|
|
Lar deg opprette et system av N
Merk: Se også system(), her. |
Eksempel: Se eksemplet for Sjabloner for ligningssystemer (2 ligninger). |
|
Katalog > |
|
|
|
Eksempel:
|
|
Katalog > |
|
|
Lar deg sette inn vinkler i gg° mm’ ss.ss’’ -format, der gg er antallet desimale grader, mm er antallet minutter og ss.ss er antallet sekunder. |
Eksempel:
|
|
Katalog > |
|
|
Oppretter en 2 x 2-matrise. |
Eksempel:
|
|
Katalog > |
|
|
|
Eksempel:
|
|
Katalog > |
|
|
|
Eksempel:
|
|
Katalog > |
|
|
Sjablonen kommer til syne etter at du er blitt bedt om å spesifisere antallet rader og kolonner.
Merk: Hvis du oppretter en matrise med et stort antall rader og kolonner, må du muligens vente en liten stund før den vises på skjermen. |
Eksempel:
|
|
Katalog > |
|
|
Merk: Se også G() (sumSeq), her. |
Eksempel:
|
|
Katalog > |
|
|
Merk: Se også P() (prodSeq), her. |
Eksempel:
|
|
Katalog> |
|
|
Den første deriverte sjablonen kan brukes for å beregne førstederiverte i et punkt numerisk ved hjelp av automatiske derivasjonsmetoder. Merk: Se også d() (derivert), her. |
Eksempel:
|
|
Katalog> |
|
|
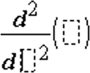
Den andre deriverte sjablonen kan brukes for å beregne andrederiverte i et punkt numerisk ved hjelp av automatiske derivasjonsmetoder. Merk: Se også d() (derivert), her. |
Eksempel:
|
|
Katalog > |
|
|
Den bestemte integral--sjablonen kan brukes for å beregne den bestemte integralet numerisk ved hjelp av den samme metoden som nInt().
|
Eksempel:
|





.