Symboler
|
+tast |
|
|
Returnerer summen av de to argumentene. |
|
|
Liste1 + Liste2Þliste Matrise1 + Matrise2Þmatrise Returnerer en liste (eller matrise) som inneholder summene av tilsvarende elementer i Liste1 og Liste2 (eller Matrise1 og Matrise2). Dimensjonene i argumentene må være like. |
|
|
Liste1 + VerdiÞliste
|
|
|
Matrise1 + VerdiÞmatrise Returnerer en matrise med Verdi addert til hvert element på diagonalen til Matrise1. Matrise1 må være kvadratisk. Merk: Bruk .+ (prikk pluss) for å addere et uttrykk til hvert element. |
|
|
-tast |
|
|
|
|
|
Liste1 N Liste2Þliste Matrise1 N Matrise2Þmatrise Subtraherer hvert element i Liste2 (eller Matrise2) fra tilsvarende element i Liste1 (eller Matrise1), og returnerer resultatene. Dimensjonene i argumentene må være like. |
|
|
Liste1 N VerdiÞliste
|
|
|
Matrise1 N VerdiÞmatrise Verdi N Matrise1 returnerer en matrise av Verdi hver gang identitetsmatrisen trekkes fra Matrise1. Matrise1 må være kvadratisk. Matrise1 N Verdi returnerer en matrise av Verdi hver gang identitetsmatrisen subtraheres fra Matrise1. Matrise1 må være kvadratisk. Merk: Bruk .N (prikk minus) for å subtrahere et uttrykk fra hvert element. |
|
|
rtast |
|
|
Returnerer produktet av de to argumentene. |
|
|
Liste1•Liste2Þliste Returnerer en liste som inneholder produktene av samsvarende elementer i Liste1 og Liste2. Dimensjonene i listene må være like. |
|
|
Matrise1•Matrise2Þmatrise Returnerer matriseproduktet av Matrise1 og Matrise2. Antallet kolonner i Matrise1 må være likt antallet rader i Matrise2. |
|
|
Liste1 •VerdiÞliste
|
|
|
Verdi •Matrise1Þmatrise Matrise1•VerdiÞmatrise Returnerer en matrise med produktene av Verdi og hvert element i Matrise1. Merk: Bruk .•(prikk multipliser) for å multiplisere et uttrykk med hvert element. |
|
|
ptast |
|
|
Returnerer kvotienten av Verdi1 dividert med Verdi2. Merk: Se også Brøk-sjablon, her. |
|
|
Liste1 à Liste2Þliste Returnerer en liste som inneholder kvotientene av Liste1 dividert med Liste2. Dimensjonene i listene må være like. |
|
|
Liste1 à Verdi Þ liste
|
|
|
Matrise1 à Verdi Þ matrise Returnerer en matrise med kvotientene av Matrise1 àVerdi. Merk: Bruk . / (prikk divider) for å dividere et uttrykk med hvert element. |
|
|
ltast |
|
|
Liste1 ^ Liste2 Þ liste Returnerer det første argument opphøyd i det andre argumentet. Merk: Se også Eksponent-sjablon, her. For en liste, returneres elementene i Liste1 opphøyd i tilsvarende elementer i Liste2. I reell grunnmengde bruker brøkpotens som har forkortet eksponent med oddetall i nevner en rell forgreining i motsetning til hovedforgreining for kompleks modus. |
|
|
|
|
|
|
|
|
kvadratMatrise1 ^ heltall Þ matrise Returnerer kvadratMatrise1 opphøyd i heltall -potens. kvadratMatrise1 må være en kvadratmatrise. Hvis heltall = L1, beregnes invers matrise. Hvis heltall < L1, beregnes invers matrise opphøyd i en korrekt positiv potens. |
|
|
q tast |
|
|
Returnerer kvadratet av argumentet. Liste12 Þ liste Returnerer en liste med kvadrater av elementene i Liste1. kvadratMatrise1 2 Þ matrise Returnerer matrisens kvadrat av kvadratMatrise1. Dette er ikke det samme som å beregne kvadratet av hvert element. Bruk .^2 for å beregne kvadratet av hvert element. |
|
|
^+ taster |
|
|
Matrise1 .+ Matrise2 Þ matrise
Matrise1 .+ Matrise2 returnerer en matrise som er summen av hvert par av samsvarende elementer i Matrise1 og Matrise2.
|
|
|
^- taster |
|
|
Matrise1 .− Matrise2 Þ matrise Matrise1 .− Matrise2 returnerer en matrise som er differansen mellom hvert par av samsvarende elementer i Matrise1 og Matrise2.
|
|
|
^rtaster |
|
|
Matrise1 .• Matrise2 Þ matrise
Matrise1 .• Matrise2 returnerer en matrise som er produktet av hvert par av samsvarende elementer i Matrise1 og Matrise2.
|
|
|
^p taster |
|
|
Matrise1 ./ Matrise2 Þ matrise
Matrise1 ./ Matrise2 returnerer en matrise som er kvotient av hvert par av samsvarende elementer i Matrise1 og Matrise2.
|
|
|
^l taster |
|
|
Matrise1 .^ Matrise2Þ matrise
Matrise1 .^ Matrise2 returnerer en matrise, der hvert element i Matrise2 er eksponenten for samsvarende element i Matrise1.
|
|
|
v tast |
|
|
LListe1 Þ liste LMatrise1 Þ matrise Returnerer argumentets negasjon. For en liste eller matrise returneres alle elementene negert. Hvis argumentet er et binært eller heksadesimalt heltall, gir negasjonen komplementet til to. |
I binær grunntall-modus: Viktig: Null, ikke bokstaven O
For å se hele resultatet, trykk på 5 og bruk så 7 og 8 for å bevege markøren. |
|
/k taster |
|
|
Liste1 % Þ liste Matrise1 % Þ matrise Returnerer For en liste eller matrise, returneres en liste eller matrise med hvert element dividert med 100. |
Merk: For å tvinge frem et tilnærmet desimalresultat, Grafregner: Trykk på / ·.
|
|
= tast |
|
|
Uttr1 = Uttr2ÞBoolsk uttrykk Liste1 = Liste2Þ Boolsk liste Matrise1 = Matrise2Þ Boolsk matrise Returnerer sann hvis Uttr1 er bestemt å være lik Uttr2. Returnerer usann hvis Uttr1 er bestemt å være ulik Uttr2. Alt annet returnerer en forenklet form av ligningen. For lister og matriser, returneres sammenlikninger element for element. Merk for å legge inn eksemplet: For anvisninger om hvordan du legger inn flerlinjede program- og funksjonsdefinisjoner, se avsnittet Kalkulator i produkthåndboken. |
Eksempel på funksjon som bruker matematiske testsymboler: =, ƒ, <, {, >, |
Resultat av grafisk fremstilling g(x)
|
|
/= taster |
|
|
Uttr1 ƒ Uttr2 Þ Boolsk uttrykk Liste1 ƒ Liste2 Þ Boolsk liste Matrise1 ƒ Matrise2 Þ Boolsk matrise Returnerer sann hvis Uttr1 er bestemt å være ulik Uttr2. Returnerer usann hvis Uttr1 er bestemt å være lik Uttr2. Alt annet returnerer en forenklet form av ligningen. For lister og matriser, returneres sammenlikninger element for element. Merk: Du kan sette inn denne operatoren fra tastaturet ved å skrive /= |
Se “=” (er lik) eksempel. |
|
/= taster |
|
|
Uttr1 < Uttr2 Þ Boolsk uttrykk Liste1 < Liste2 Þ Boolsk liste Matrise1 < Matrise2 Þ Boolsk matrise Returnerer sann hvis Uttr1 er bestemt å være mindre enn Uttr2. Returnerer usann hvis Uttr1 er bestemt å være større enn eller lik Uttr2. Alt annet returnerer en forenklet form av ligningen. For lister og matriser, returneres sammenlikninger element for element. |
Se “=” (er lik) eksempel. |
|
/= taster |
|
|
Uttr1 { Uttr2 Þ Boolsk uttrykk Liste1 { Liste2 Þ Boolsk liste Matrise1 { Matrise2 Þ Boolsk matrise Returnerer sann hvis Uttr1 er bestemt å være mindre enn eller lik Uttr2. Returnerer usann hvis Uttr1 er bestemt å være større enn Uttr2. Alt annet returnerer en forenklet form av ligningen. For lister og matriser, returneres sammenlikninger element for element. Merk: Du kan sette inn denne operatoren fra tastaturet ved å skrive <= |
Se “=” (er lik) eksempel. |
|
/= taster |
|
|
Uttr1 > Uttr2 Þ Boolsk uttrykk Liste1 > Liste2 Þ Boolsk liste Matrise1 > Matrise2 Þ Boolsk matrise Returnerer sann hvis Uttr1 er bestemt å være større enn Uttr2. Returnerer usann hvis Uttr1 er bestemt å være mindre enn eller lik Uttr2. Alt annet returnerer en forenklet form av ligningen. For lister og matriser, returneres sammenlikninger element for element. |
Se “=” (er lik) eksempel. |
|
/= taster |
|
|
Uttr1 | Uttr2 Þ Boolsk uttrykk Liste1 | Liste2 Þ Boolsk liste Matrise1 | Matrise2 Þ Boolsk matrise Returnerer sann hvis Uttr1 er bestemt å være større enn eller lik Uttr2. Returnerer usann hvis Uttr1 er bestemt å være mindre enn eller lik Uttr2. Alt annet returnerer en forenklet form av ligningen. For lister og matriser, returneres sammenlikninger element for element. Merk: Du kan sette inn denne operatoren fra tastaturet ved å skrive >= |
Se “=” (er lik) eksempel. |
|
/=-taster |
|
|
BoolskUttr1 Þ BoolskUttr2 returnerer Boolsk uttrykk BoolskListe1 Þ BoolskListe2 returnerer Boolsk liste BoolskMatrise1 Þ BoolskMatrise2 returnerer Boolsk matrise Heltall1 Þ Heltall2 returnerer Heltall
Behandler uttrykket not <argument1> or <argument2> og returnerer sann, usann eller en forenklet form av ligningen. For lister og matriser, returneres sammenlikninger element for element. Merk: Du kan sette inn denne operatoren fra tastaturet ved å skrive => |
|
|
/=-taster |
|
|
BoolskUttr1 Û BoolskUttr2 returnerer Boolsk uttrykk BoolskListe1 Û BoolskListe2 returnerer Boolsk liste BoolskMatrise1 Û BoolskMatrise2 returnerer Boolsk matrise Heltall1 Û Heltall2 returnerer Heltall
Returnerer negasjon av en For lister og matriser, returneres sammenlikninger element for element. Merk: Du kan sette inn denne operatoren fra tastaturet ved å skrive <=> |
|
|
º tast |
|
|
Verdi1! Þ verdi Liste1! Þ liste Matrise1! Þ matrise Returnerer argumentets fakultet. For en liste eller matrise, returneres en liste eller matrise av elementenes fakulteter. |
|
|
/k taster |
|
|
Streng1 & Streng2 Þ streng Returnerer en tekststreng som er Streng2 lagt til Streng1. |
|
|
Katalog > |
|
|
d(Uttr1, Var[, Orden]) | Var=VerdiÞverdi d(Uttr1, Var[, Orden])Þverdi d(Liste1, Var[, Orden])Þliste d(Matrise1, Var[, Orden])Þmatrise Unntatt mens du bruker den første syntaksen, må du lagre en numerisk verdi i variabel Var før du behandler d(). Se eksemplene.
Orden, hvis inkludert, må være=1 eller 2. Standard er 1. Merk: Du kan sette inn denne funksjonen fra tastaturet ved å skrive
|
|
|
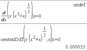
Studer eksemplet til høyre. Den første deriverte av x·(x^2+x)^(1/3) i x=0 er lik 0. Men siden den første deriverte av deluttrykket (x^2+x)^(1/3) er udefinert i x=0 og denne verdien blir brukt til å beregne den deriverte av hele uttrykket, rapporterer d() resultatet som udefinert og viser en varselmelding.
|
|
|
Katalog > |
|
|
‰(Uttr1, Var, Nedre, Øvre) Þ verdi Returnerer integralet av Uttr1 med hensyn på variabelen Var fra Nedre til Øvre. Kan brukes for å beregne den bestemte integralet numerisk ved hjelp avsamme metode som nInt(). Merk: Du kan sette inn denne funksjonen fra tastaturet ved å skrive integral(...). |
|
|
/q taster |
|
|
‡ (Liste1)Þliste Returnerer kvadratroten til argumentet. For en liste, returneres kvadratroten til alle elementene i Liste1. Merk: Du kan sette inn denne funksjonen fra tastaturet ved å skrive sqrt(...) Merk: Se også Kvadratrot-sjablon, her. |
|
|
Katalog > |
|
|
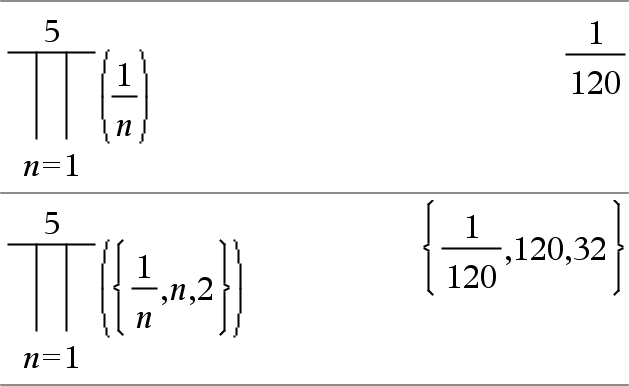
P(Uttr1, Var, Nedre, Øvre)Þuttrykk Merk: Du kan sette inn denne funksjonen fra tastaturet ved å skrive prodSeq(...). Finner Uttrykk1 for hver verdi av Var fra Nedre til Øvre, og returnerer produktet av resultatene. Merk: Se også Produkt-sjablon (P), her. |
|
|
P(Uttr1, Var, Nedre, NedreN1)Þ1 P(Uttr1, Var, Nedre, Øvre) Þ1/P(Uttr1, Var, Øvre+1, NedreN1) hvis Øvre < Nedre 1
Produktformlene som er brukt er hentet fra følgende referanse: Ronald L. Graham, Donald E. Knuth, og Oren Patashnik. Concrete Mathematics: A Foundation for Computer Science. Reading, Massachusetts: Addison-Wesley, 1994. |
|
|
Katalog > |
|
|
G(Uttr1, Var, Nedre, Øvre)Þuttrykk Merk: Du kan sette inn denne funksjonen fra tastaturet ved å skrive sumSeq(...). Behandler Uttrykk1 for hver verdi av Var fra Nedre til Øvre, og returnerer summen av resultatene. Merk: Se også Sum-sjablon, her. |
|
|
G(Uttr1, Var, Nedre, NedreN1)Þ0 G(Uttr1, Var, Nedre, Øvre)ÞLG(Uttr1, Var, Øvre+1, NedreN1) hvis Øvre < NedreN1
Summeringsformlene som er brukt er hentet fra følgende referanse: Ronald L. Graham, Donald E. Knuth, og Oren Patashnik. Concrete Mathematics: A Foundation for Computer Science. Reading, Massachusetts: Addison-Wesley, 1994. |
|
|
Katalog > |
||||||||||
|
GInt(NPmt1, NPmt2, N, I, PV,[Pmt], [FV], [PpY], [CpY], [PmtAt], [avrundVerdi])Þverdi GInt(NPmt1,NPmt2,amortTabell)Þverdi Amortiseringsfunksjon som beregner rentesummen i løpet av en spesifisert rekke av betalinger. NPmt1 og NPmt2 definerer start- og sluttgrensene for betalingsrekken. N, I, PV, Pmt, FV, PpY, CpY og PmtAt er beskrevet i tabellen med TVM-argumenter, her.
avrundVerdi spesifiserer antallet desimalplasser for avrunding. Grunninnstilling=2. GInt(NPmt1,NPmt2,amortTabell) beregner rentesummen basert på amortiseringstabell amortTabell. Argumentet amortTabell må være en matrise i den form som er beskrevet under amortTbl(), her. Merk: Se også GPrn(), nedenfor, og Bal(), her. |
|
|
Katalog > |
||||||||||
|
GPrn(NPmt1, NPmt2, N, I, PV, [Pmt], [FV], [PpY], [CpY], [PmtAt], [avrundVerdi])Þverdi GPrn(NPmt1,NPmt2,amortTable)Þverdi Amortiseringsfunksjon som beregner summen av hovedbetalinger i løpet av en spesifisert rekke av betalinger. NPmt1 og NPmt2 definerer start- og sluttgrensene for betalingsrekken. N, I, PV, Pmt, FV, PpY, CpY og PmtAt er beskrevet i tabellen med TVM-argumenter, her.
avrundVerdi spesifiserer antallet desimalplasser for avrunding. Grunninnstilling=2. GPrn(NPmt1,NPmt2,amortTabell) beregner summen av hovedbetalinger basert på amortiseringstabell amortTabell. Argumentet amortTabell må være en matrise i den form som er beskrevet under amortTbl(), her. Merk: Se også GInt(), over, og Bal(), her. |
|
|
/k taster |
|
|
# varNavnStreng Refererer til variabelen med navnet varNavnStreng. På denne måten kan du bruke strenger for å opprette variabelnavn “innenfra” en funksjon. |
Oppretter eller refererer til variabelen xyz.
Returnerer verdien av variabelen (r) som har et navn som er lagret i variabel s1. |
|
i tast |
|
|
mantissaEeksponent Legger inn et tall i vitenskapelig fremstilling. Tallet blir tolket som en mantissa × 10eksponent. Tips: Hvis du vil legge inn en potens av 10 uten å forårsake desimale verdier i resultatet, bruk 10^heltall. Merk: Du kan sette inn denne operatoren fra datamaskintastaturet ved å skrive @E. Eksempel: Skriv 2.3@E4 for å legge inn 2.3E4. |
|
|
1 tast |
|
|
Uttr1g ÞUttrykk Uttr1g ÞUttrykk Liste1g Þliste Matrise1g Þmatrise Denne funksjonen gir deg en mulighet til å spesifisere en vinkel i gradianer mens du er i grader- eller gradian-modus. I radian-vinkelmodus, multipliseres Uttr1 med p/200. I grader-vinkelmodus, multipliseres Uttr1 med g/100. I gradian modus, returneres Uttr1 uendret. Merk: Du kan sette inn dette symbolet fra datamaskintastaturet ved å skrive @g. |
I grader, gradian eller radian modus:
|
|
1 tast |
|
|
Liste1RÞliste Matrise1RÞmatrise Denne funksjonen gir deg en mulighet til å spesifisere en gradian vinkel mens du er i grader- eller radian-modus. I grader-vinkelmodus, multipliseres argumentet med 180/ p. I radian-vinkelmodus, returneres argumentet uendret. I gradian modus, multipliseres argumentet med 200/ p. Tips: Bruk Rhvis du vil tvinge radianer inn en funksjonsdefinisjon uavhengig av hvilken modus som er i bruk når du bruker funksjonen. Merk: Du kan sette inn dette symbolet fra datamaskintastaturet ved å skrive @r. |
I grader, gradian eller radian modus:
|
|
1 tast |
|
|
Liste1¡Þliste Matrise1¡Þmatrise Denne funksjonen gir deg en mulighet til å spesifisere en grader-vinkel mens du er i gradian eller radian modus. I radian-vinkelmodus, multipliseres argumentet med p/180. I grader-vinkelmodus, returneres argumentet uendret. I gradian-vinkelmodus, multipliseres argumentet med 10/9. Merk: Du kan sette inn dette symbolet fra datamaskintastaturet ved å skrive @d. |
I grader, gradian eller radian modus:
I radian modus:
|
|
/k taster |
|||||||
|
gg¡mm'ss.ss''ÞUttrykk gg Et positivt eller negativt tall mm Et ikke-negativt tall ss.ss Et ikke-negativt tall Returnerer gg+(mm/60)+(ss.ss/3600). Dette grunntall ‑60-formatet lar deg:
Merk: Sett to apostrofer ('') etter ss.ss, ikke et anførselstegn ("). |
I Grader-vinkelmodus:
|
|
/k taster |
|
|
[Radius,±q_Vinkel]Þvektor (polar inndata) [Radius,±q_Vinkel, Z_Koordinat]Þvektor (sylindrisk inndata) [Radius,±q_Vinkel,±q_Vinkel]Þvektor (sfærisk inndata) Returnerer koordinater som en vektor, avhengig av vektorformatets modusinnstilling: rektangulær, sylindrisk eller sfærisk. Merk: Du kan sette inn dette symbolet fra datamaskintastaturet ved å skrive @<. |
I radian modus og vektorformat innstilt på: rektangulær
sylindrisk
sfærisk
|
|
(Størrelse ± Vinkel)ÞkompleksVerdi (polar inndata) Setter inn en kompleks verdi i (r±q) polar form. Vinkelen tolkes avhengig av aktuell vinkelmodus-innstilling. |
I radian-vinkelmodus og rektangulært, komplekst format:
|
|
Se “Tomme (åpne) elementer” |, her. |
|
|
|
|
|
Katalog > |
|
|
10^ (Verdi1)Þverdi 10^ (Liste1)Þliste Returnerer 10 opphøyd i argumentets potens. For en liste, returneres 10 opphøyd i elementenes potens i Liste1. |
|
|
10^(kvadratMatrise)ÞkvadratMatrise Returnerer 10 opphøyd i potensen av kvadratMatrise1. Dette er ikke det samme som å beregne 10 opphøyd i potens av hvert element. For mer informasjon om beregningsmetode, se under cos(). kvadratMatrise1 må kunne diagonaliseres. Resultatet inneholder alltid flytende desimaltall. |
|
|
Katalog > |
|
|
Liste1 ^/Þliste Returnerer den inverse verdien av et argument. For en liste, returneres den inverse verdien av elementene i Liste1. |
|
|
kvadratMatrise1 ^/ÞkvadratMatrise Returnerer den inverse verdien av kvadratMatrise1. kvadratMatrise1 må være en ikke-singulær kvadratisk matrise. |
|
|
/k-taster |
||||||||||
|
Uttr | BoolskUttr1 [ Uttr | BoolskUttr1 [ Begrensningssymbolet (“|”) fungerer som en binær operator. Operanden til venstre for | er et uttrykk. Operanden til høyre for | spesifiserer en eller flere relasjoner som kan ha innvirkning på forenklingen av uttrykket. Flere forbindelser etter | må sammenføyes av logiske “ Med begrensningsoperatoren har du tre utgangstyper av funksjonalitet:
|
|
|||||||||
|
En erstatning har form som en ligning, som x=3 eller y=sin(x). For at den skal være mest effektiv, bør den venstre siden være en enkel variabel. Uttr | Variabel = verdi vil erstatte verdi for hver forekomst av Variabel i Uttr. |
|
|||||||||
|
Intervallbegrensninger tar form som en eller flere ulikheter som er føyd sammen av logiske “ |
|
|||||||||
|
Eksklusjoner bruker relasjons-operatoren “ulik” (/= or ƒ) for å ekskludere en spesifikk verdi fra å komme i betraktning. |
|
/h tast |
|
|
Liste & Var Matrise & Var Uttr & Funksjon(Param1,...) Liste & Funksjon(Param1,...) Matrise & Funksjon(Param1,...) Hvis variabel Var ikke eksisterer, opprettes Var og initialiserer den til Verdi, Liste, eller Matrise. Hvis Var allerede eksisterer og ikke er låst eller beskyttet, erstattes innholdet med Verdi, Liste, eller Matrise. Merk: Du kan sette inn denne operatoren fra tastaturet ved å skrive =: som en snarvei. Eksempel: Skriv pi/4 =: minvar. |
|
|
/t taster |
|
|
Var := Liste Var := Matrise Funksjon(Param1,...) := Uttr Funksjon(Param1,...) := Liste Funksjon(Param1,...) := Matrise Hvis variabel Var ikke eksisterer, opprettes Var og initialiserer den til Verdi, Liste, eller Matrise. Hvis Var allerede eksisterer og ikke er låst eller beskyttet, erstattes innholdet med Verdi, Liste, eller Matrise. |
|
|
/k taster |
|
|
© [tekst] © fremstiller tekst som en kommentarlinje som lar deg kommentere funksjoner og programmer som du oppretter. © kan plasseres ved begynnelsen eller hvor som helst på linjen. Alt som er til høyre for ©, til slutten av linjen, er kommentaren. Merk for å legge inn eksemplet: For anvisninger om hvordan du legger inn flerlinjede program- og funksjonsdefinisjoner, se avsnittet Kalkulator i produkthåndboken. |
|
|
0B taster, 0H taster |
|
|
0b binærTall 0h heksadesimalTall Markerer hhv. et binært eller heksadesimalt tall. For å sette inn et binært eller heksadesimalt tall må du sette inn prefikset 0b eller 0h uavhengig av grunninnstillingsmodus. Uten prefiks blir et tall behandlet som et desimaltall (grunntall 10). Resultatene vises i forhold til grunntall-modusen. |
I desimalt grunntall-modus:
I binær grunntall-modus:
I heksades grunntall-modus:
|

.
