N
|
/=-taster |
|
|
BoolskUttr1 BoolskListe1 BoolskMatrise1
Returnerer negasjon av en logisk For lister og matriser, returneres sammenlikninger element for element. |
|
|
Heltall1 Sammenlikner to reelle heltall bit-for-bit med en Du kan skrive inn heltallene med hvilket som helst grunntall. Hvis du skriver inn en binær eller heksadesimal verdi, må du bruke hhv. prefiks 0b eller 0h. Uten slik prefiks blir heltall behandlet som desimalt (grunntall 10). |
|
|
Katalog > |
|
|
nCr(Verdi1, Verdi2)ÞUttrykk For heltall Verdi1 og Verdi2 der Verdi1 | Verdi2 | 0, er nCr() antall kombinasjoner av Verdi1 som tar Verdi2 om gangen. (Dette er også kjent som en binomisk koeffisient.) nCr(Verdi, 0)Þ1 nCr(Verdi, negHeltall)Þ0 nCr(Verdi, posHeltall)Þ Verdi·(VerdiN1)... (VerdiNposHeltall+1)/ posHeltall!
|
|
|
nCr(Liste1, Liste2)Þliste Returnerer en liste over kombinasjoner basert på samsvarende elementpar i de to listene. Argumentene må ha samme listestørrelse. |
|
|
nCr(Matrise1, Matrise2)Þmatrise Returnerer en matrise av kombinasjoner basert på samsvarende elementpar i de to matrisene. Argumentene må ha samme matrisestørrelse. |
|
|
Katalog > |
|
|
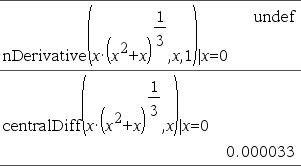
Returnerer den numeriske deriverte som er beregnet ved hjelp av automatiske derivasjonsmetoder. Hvis verdi er spesifisert, opphever den eventuell forhåndstildelt verdi eller aktuell “|” erstatning for variabelen. Hvis variabelen Var ikke inneholder en numerisk verdi, må du oppgi en Verdi. Den deriverte må være av orden 1 eller 2. |
|
|
Studer eksemplet til høyre. Den første deriverte av x·(x^2+x)^(1/3) i x=0 er lik 0. Men siden den første deriverte av deluttrykket (x^2+x)^(1/3) er udefinert i x=0 og denne verdien blir brukt til å beregne den deriverte av hele uttrykket, rapporterer nDerivativ() resultatet som udefinert og viser en varselmelding. Hvis du støter på denne begrensningen, verifiserer du løsningen grafisk. Du kan også prøve å bruke centralDiff(). |
|
|
Katalog > |
|
|
newList(numElementer)Þliste Returnerer en liste med en dimensjon lik numElementer. Hvert element er null. |
|
|
Katalog > |
|
|
newMat(numRader, numKolonner)Þmatrise Returnerer en matrise med bare nuller med dimensjonen numRader og numKolonner. |
|
|
Katalog > |
|
|
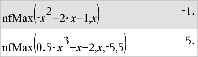
nfMax(Uttr1, Var)Þverdi nfMax(Uttr1, Var, nedGrense)Þverdi nfMax(Uttr1, Var, nedGrense, øvGrense)Þverdi nfMax(Uttr1, Var) | nedGrense{Var{øvGrenseÞverdi Returnerer et forslag til numerisk verdi av variabel Var, der lokalt maksimum av Uttr1 forekommer. Hvis du setter nedGrens og øvGrens, ser funksjonen i det lukkede intervallet [nedGrens,øvGrens] etter lokalt maksimum. |
|
|
Katalog > |
|
|
nfMin(Uttr1, Var)Þverdi nfMin(Uttr1, Var, nedGrense)Þverdi nfMin(Uttr1, Var, nedGrense, øvGrense)Þverdi nfMin(Uttr1, Var) | nedGrense{Var{øvGrenseÞverdi Returnerer et forslag til numerisk verdi av variabel Var, der lokalt minimum av Uttr1 forekommer. Hvis du setter nedGrens og øvGrens, ser funksjonen i det lukkede intervallet [nedGrens,øvGrens] etter lokalt minimum. |
|
|
Katalog > |
|
|
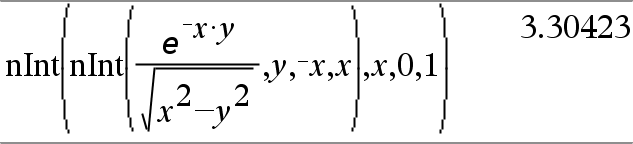
nInt(Uttr1, Var, Nedre, Øvre)Þuttrykk Hvis integranden Uttr1 ikke inneholder andre verdier enn Var, og hvis Nedre og Øvre er konstanter, positiv ˆ, eller negativ ˆ, så returnerer nInt()en tilnærmet av ‰(Uttr1, Var, Nedre, Øvre). Denne tilnærmede er et veiet gjennomsnitt av noen utvalgsverdier av integranden i intervallen Nedre<Var<Øvre. |
|
|
Målet er seks signifikante sifre. Den adaptive algoritmen slutter når det er sannsynlig at målet er nådd, eller når det er usannsynlig at ekstra utvalg vil gi nevneverdig forbedring. Det kommer til syne et varsel (“Tvilsom nøyaktighet”) når det ser ut til at målet ikke er nådd. |
|
|
Nest nInt() å utføre multippel numerisk integrasjon. Integrasjonsgrensene kan avhenge av integrasjonsvariabler utenfor dem. |
|
|
Katalog > |
|
|
nom(effektivRente,CpY)Þverdi Finansiell funksjon som omregner den årlige effektive renten effektivRente til en nominell rente, gitt CpY som antall renteperioder perioder per år. effektivRente må være et reelt tall, og CpY må være et reelt tall > 0. Merk: Se også eff(), her. |
|
|
/=-taster |
|
|
BoolskUttr1
BoolskListe1
BoolskMatrise1
Returnerer negasjon av en logisk For lister og matriser, returneres sammenlikninger element for element. |
|
|
Heltall1
Sammenlikner to reelle heltall bit-for-bit med en Du kan skrive inn heltallene med hvilket som helst grunntall. Hvis du skriver inn en binær eller heksadesimal verdi, må du bruke hhv. prefiks 0b eller 0h. Uten slik prefiks blir heltall behandlet som desimalt (grunntall 10). |
|
|
katalog > |
|
|
norm(Matrise)Þuttrykk norm(Vektor)Þuttrykk Returnerer Frobenius-normen. |
|
|
Katalog > |
|
|
normCdf(nedreGrense,øvreGrense[,m[,s]])Þtall hvis nedreGrense og øvreGrense er tall, liste hvis nedreGrense og øvreGrense er lister Beregner sannsynligheten i normalfordelingen mellom nedreGrense og øvreGrense for den angitte m (standard=0) og s (standard=1).
|
|
|
Katalog > |
|
|
normPdf(XVerdi[ [,m [,s]])Þtall hvis XVerdi er et tall, liste hvis XVerdi er en liste Beregner sannsynlighetstetthet for normalfordelingen ved en spesifisert XVerdi-verdi for spesifisert m og s. |
|
|
Katalog > |
|
|
not BoolksUttr1ÞBoolsk uttrykk Returnerer sann, usann eller en forenklet form av argumentet. |
|
|
not Heltall1Þheltall Returnerer tallets komplement av et reelt heltall. Internt er Heltall1 omregnet til et 64-biters binært tall med fortegn. Verdien av hver bit er forskjøvet (0 blir til 1 og motsatt) for tallets komplement. Resultatene vises i forhold til grunntall-modusen. Du kan skrive inn heltallet med hvilket som helst grunntall. Hvis du skriver inn en binær eller heksadesimal verdi, må du bruke hhv. prefiks 0b eller 0h. Uten prefiks blir heltallet behandlet som et desimalt tall (grunntall 10). Hvis du oppgir et desimalt heltall som er for stort for et 64-bit binært tall med fortegn, vil en symmetrisk modulusoperasjon bli brukt til å konvertere tallet inn i gyldig verdiområde. For mer informasjon, se 4Base2, her. |
I heksades grunntall-modus: Viktig: Null, ikke bokstaven O.
I binær grunntall-modus:
For å se hele resultatet, trykk på 5 og bruk så 7 og 8 for å bevege markøren. Merk: Et binært innlegg kan bestå av opptil 64 siffer (i tillegg til prefikset 0b). Et heksadesimalt innlegg kan bestå av opptil 16 siffer. |
|
Katalog > |
|
|
nPr(Verdi1, Verdi2)ÞUttr1 For heltall Verdi1 og Verdi2 der Verdi1 | Verdi2 | 0, er nPr() antall permutasjoner av Verdi1 som tar Verdi2 om gangen. nPr(Verdi, 0)Þ1 nPr(Verdi, negHeltall) Þ 1/((Verdi+1)·(Verdi+2)... (VerdiNnegHeltall)) nPr(Verdi, posHeltall) Þ Verdi·(VerdiN1)... (VerdiNposHeltall+1) nPr(Verdi, ikkeHeltall)
|
|
|
nPr(Liste1, Liste2)Þliste Returnerer en liste over permutasjoner basert på samsvarende elementpar i de to listene. Argumentene må ha samme listestørrelse. |
|
|
nPr(Matrise1, Matrise2)Þmatrise Returnerer en matrise av permutasjoner basert på tilsvarende elementpar i de to matrisene. Argumentene må ha samme matrisestørrelse. |
|
|
Katalog > |
|
|
npv(Rentefot,CFO,CFListe[,CFFrekv]) Finansiell funksjon som beregner netto nåverdi; summen av nåverdier for kontanstrøm inn og ut. Et positivt resultat for npv forteller at en investering er lønnsom. Rentefot er den renten som trekkes fra kontantstrømmene (pengekostnadene) over en periode. CF0 er kontantstrømmen ved start kl. 0; den må være et reelt tall. CFListe er en liste med kontantstrømbeløp etter den innledende kontantstrømmen CF0. CFFrekv er en liste der hvert element spesifiserer frekvensen av forekomsten for et gruppert (konsekutivt) kontantstrømbeløp, som er det tilsvarende elementet til CFListe. Grunninnstilling er 1; hvis du legger inn verdier, må dette være positive heltall < 10.000. |
|
|
Katalog > |
|
|
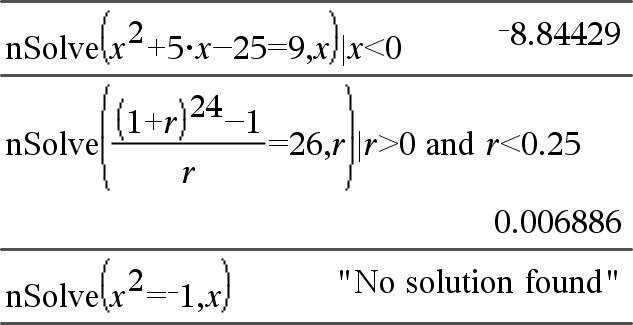
nSolve(Ligning,Var[=Forslag])Þtall eller feil_streng nSolve(Ligning,Var[=Forslag],nedGrense) Þtall eller feil_streng nSolve(Ligning,Var[=Forslag],nedGrense,øvGrense) Þtall eller feil_streng nSolve(Ligning,Var[=Forslag]) | nedGrense{Var{øvGrense Þtall eller feil_streng Søker iterativt etter en tilnærmet reell numerisk løsning for Ligning i variabelen. Spesifiser variabelen som: variabel – eller – variabel = reelt tall For eksempel er x gyldig, og det er x=3 også. |
Merk: Hvis det foreligger flere løsninger, kan du bruke et forslag som hjelp for å finne en spesiell løsning. |
|
nSolve() prøver å bestemme enten ett punkt der rest er null, eller to relativt nære punkter, der rest har motsatte fortegn og størrelsen på resten ikke er for stor. Hvis den ikke kan oppnå dette med et lite antall utvalgspunkter, returnerer den strengen “fant ingen løsning.” |
|
