P
|
Katalog > |
|
|
P4Rx(rUttr, qUttr)Þuttrykk P4Rx(rListe, qListe)Þliste P4Rx(rMatrise, qMatrise)Þmatrise Returnerer ekvivalent x-koordinat av (r, q) paret. Merk: q-argumentet tolkes enten som grader, gradianer eller radianer, avhengig av aktuell vinkelmodus. Hvis argumentet er et uttrykk, kan du bruke ¡, G eller Rfor å hoppe over vinkelmodus-innstillingen midlertidig. Merk: Du kan sette inn denne funksjonen fra datamaskintastaturet ved å skrive P@>Rx(...). |
I Radian-vinkelmodus:
|
|
Katalog > |
|
|
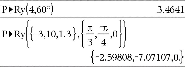
P4Ry(rVerdi, qVerdi)Þverdi P4Ry(rListe, qListe)Þliste P4Ry(rMatrise, qMatrise)Þmatrise Returnerer ekvivalent y-koordinat av (r, q)-paret. Merk: q-argumentet tolkes enten som grader, gradianer eller radianer, avhengig av aktuell vinkelmodus. Merk: Du kan sette inn denne funksjonen fra datamaskintastaturet ved å skrive P@>Ry(...). |
I Radian-vinkelmodus:
|
|
Katalog > |
|
|
PassErr Sender en feil til neste nivå. Hvis systemvariabelen feilKode er null, gjør ikke PassErr noenting. Else -leddet i Try...Else...EndTry-blokken bør bruke ClrErr eller PassErr. Hvis feilen skal bearbeides eller ignoreres, bruk ClrErr. Hvis det ikke er kjent hva som skal gjøres med feilen, bruk PassErr for å sende den til den neste feilbehandleren. Hvis det ikke er flere ventende Try...Else...EndTry feilbehandlere, vises feil-dialogboksen som normalt. Merk: Se også ClrErr (SlettFeil), her, og Try, her. Merk for å legge inn eksemplet: For anvisninger om hvordan du legger inn flerlinjede program- og funksjonsdefinisjoner, se avsnittet Kalkulator i produkthåndboken. |
For et eksempel på PassErr, se eksempel 2 under Try -kommandoen, her. |
|
Katalog > |
|
|
piecewise(Uttr1 [, Betingelse1[, Uttr2[, Betingelse2 [, … ]]]]) Returnerer definisjoner for en stykkevis definert funksjon i form av en liste. Du kan også opprette stykkevise definisjoner med en sjablon. Merk: Se ogsåstykkevis-sjablon, her. |
|
|
Katalog > |
|
|
poissCdf(l,nedreGrense,øvreGrense)Þtall hvis nedreGrense og øvreGrense er tall, liste hvis nedreGrense og øvreGrense er lister poissCdf(l,øvreGrense)(for P(0{X{øvreGrense)Þtall hvis øvreGrense er et tall, liste hvis øvreGrense er en liste Beregner en kumulativ sannsynlighet for den diskrete Poisson-fordeling med spesifisert gjennomsnitt l. For P(X { øvreGrense), sett nedreGrense=0 |
|
|
Katalog > |
|
|
poissPdf(l,XVerd)Þtall hvis XVerd er et tall, liste hvis XVerd er en liste Beregner en sannsynlighet for diskret Poisson-fordeling med spesifisert gjennomsnitt l. |
|
|
Katalog > |
|||||||
|
Vektor ►Polar Merk: Du kan sette inn denne operatoren fra datamaskintastaturet ved å skrive @>Polar. Viser vektor i polar form [r∠θ]. Vektoren må være av dimensjon 2 og kan være en rad eller en kolonne. Merk: 4Polar er en visningsformat-instruksjon, ikke en omregningsfunksjon. Du kan bare bruke den på slutten av en kommandolinje, og den oppdaterer ikke svar. Merk: Se også ►Rekt, her. |
|
||||||
|
kompleksVerdi ►Polar Viser kompleksVektor i polar form.
kompleksVerdi kan ha en hvilken som helst kompleks form. Men hvis du legger inn reiθ, forårsaker dette feil når vinkelmodus er grader. Merk: Du må bruke parentes for å legge inn polar (r∠θ). |
I Radian-vinkelmodus:
I Gradian-vinkelmodus:
I Grader-vinkelmodus:
|
|
Katalog > |
|
|
polyEval(Liste1, Uttr1)Þuttrykk polyEval(Liste1, Liste2)Þuttrykk Tolker det første argumentet som koeffisienter for et polynom med fallende eksponenter, og returnerer en utregnet verdi av polynomet, innsatt verdien av det andre argumentet. |
|
|
Katalog > |
|
|
Den første syntaksen,
Den andre syntaksen, Merk: Se også |
|
|
katalog > |
|
|
PowerReg X,Y [, Frekv] [, Kategori, Inkluder]] Finner potensregresjoneny = (a·(x)b)for listene X og Y med frekvensen Frekv. En oversikt over resultatene lagres i stat.resultater-variabelen (her). Alle listene må ha samme dimensjon bortsett fra Inkluder. X og Y er lister av uavhengige og avhengige variabler. Frekv er en valgfri liste med frekvensverdier. Hvert element i Frekv angir hvor ofte hvert korresponderende datapunkt X og Y forekommer. Standardverdien er 1. Alle elementene må være heltall 0. Kategori er en liste over Inkluder er en liste med én eller flere av kategorikodene. Bare dataelementene med kategorikode som er i listen blir inkludert i beregningen. For informasjon om effekten av tomme elementer i en liste, se “Tomme (åpne) elementer” (her). |
|
|
Utdata-variabel |
Beskrivelse |
|
stat.RegEqn |
Regresjonsligning: a · (x) b |
|
stat.a, stat.b |
Regresjonskoeffisienter |
|
stat.r2 |
Lineær determinasjonskoeffisient for transformerte data |
|
stat.r |
Korrelasjonskoeffisient for transformerte data (ln(x), ln(y)) |
|
stat.Resid |
Residualene for potensmodellen |
|
stat.ResidTrans |
Residualene for den lineære tilpasningen av de transformerte dataene |
|
stat.XReg |
Liste over de datapunkter i den endrede X-listen som faktisk brukes i regresjonen basert på begrensninger i Frekv, Kategoriliste og Inkluder kategorier |
|
stat.YReg |
Liste over de datapunkter i den endrede Y-listen som faktisk brukes i regresjonen basert på begrensninger i Frekv, Kategoriliste og Inkluder kategorier |
|
stat.FreqReg |
Liste over frekvenser som samsvarer med stat.XReg og stat.YReg |
|
Katalog > |
|
|
Prgm Sjablon for å opprette et egendefinert program. Må brukes med kommandoen Define, Define LibPub eller Define LibPriv. Blokk kan være ett enkelt utsagn, en rekke utsagn adskilt med “:”-tegnet eller en rekke med utsagn på separate linjer. Blokk kan være ett enkelt utsagn, en rekke utsagn adskilt med “:”-tegnet, eller en rekke med utsagn på separate linjer. Merk for å legge inn eksemplet: For anvisninger om hvordan du legger inn flerlinjede program- og funksjonsdefinisjoner, se avsnittet Kalkulator i produkthåndboken. |
Beregn GCD og vis mellomresultater.
|
|
Se P(), her. |
|
|
|
|
|
Se P(), her. |
|
|
|
|
|
Katalog > |
|
|
product(Liste[, Start[, slutt]])Þuttrykk Returnerer produktet av elementene i Liste. Start og Slutt er valgfrie. De spesifiserer et elementområde. |
|
|
product(Matrise1[, Start[, slutt]])Þmatrise Returnerer en radvektor som inneholder produktet av elementene i kolonnene i Matrise1. Start og slutt er alternativer. De spesifiserer et radområde. Tomme (åpne) elementer ignoreres. For mer informasjon om tomme elementer, se her. |
|
|
Katalog > |
|
|
propFrac(Verdi1[, Var])Þverdi propFrac(rasjonal_tall) returnerer rasjonalt_tall som summen av et heltall og en brøk som har samme fortegn og større nevner enn teller. |
|
|
propFrac(rasjonalt_uttrykk,Var) returnerer summen av ekte brøk og et polynom med hensyn på Var. Gradene til Var i nevneren er større enn gradene til Var i telleren i hver ekte brøk. Liknende potenser av Var er samlet sammen. Leddene og faktorene deres er sortert med Var som hovedvariabel. Hvis Var utelates, utvides den ekte brøken med hensyn på de fleste hovedvariablene. Koeffisientene til den polynomiske delen omgjøres så til “ekte” med hensyn på de fleste hovedvariablene og så videre. |
