C
|
Katalog > |
|
|
ceiling(Verdi1)Þverdi Returnerer det nærmeste heltallet som er | argumentet. Argumentet kan være et reelt eller et komplekst tall. Merk: Se også floor() (nedre). |
|
|
ceiling(Liste1)Þliste ceiling(Matrice1)Þmatrice Returnerer en liste eller matrise med den øvre i hvert element. |
|
|
Katalog > |
|
|
Returnererden numeriske deriverte ved hjelp av derivasjonskvotient-formelen. Hvis verdi er spesifisert, opphever den eventuell forhåndstildelt verdi eller aktuell “|” erstatning for variabelen. Trinn er trinnverdien. Hvis Trinn utelates, brukes grunninnstilling 0,001. Hvis du bruker Liste1 eller Matrise1, blir handlingen avbildet gjennom verdiene i listen eller gjennom matriseelementene. Merk: Se også. |
|
|
Katalog > |
|
|
char(Heltall)Þtegn Returnerer en tegnstreng som inneholder det tegnet som er nummerert med Heltall fra tegnsettet på grafregneren. Gyldig område for Heltall er 0–65535. |
|
|
Katalog > |
|
|
c22way ObsMatrise chi22way ObsMatrise Beregner en c2 test for samling av “tellinger” på toveis-tabellen i den observerte matrisen ObsMatrise. En oversikt over resultatene lagres i stat.results-variabelen (her). For informasjon om effekten av tomme elementer i en matrise, se “Tomme (åpne) elementer” (her). |
|
|
Utdata-variabel |
Beskrivelse |
|
stat.c2 |
Chi-kvadratstat: sum (observert - forventet)2/forventet |
|
stat.PVal |
Minste signifikansnivå som null-hypotesen kan forkastes ved |
|
stat.df |
Grader av frihet for chi-kvadratstatistikk |
|
stat.UttrMat |
Matrise av forventet element-telletabell ved antatt nullhypotese |
|
stat.KompMat |
Matrise av elementbidrag til chi kvadratstatistikk |
|
Katalog > |
|
|
c2Cdf(nedreGrense,øvreGrense,df)Þtall hvis nedreGrense og øvreGrense er tall, liste hvis nedreGrense og øvreGrense er lister chi2Cdf(nedreGrense,øvreGrense,df)Þtall hvis nedreGrense og øvreGrense er tall, liste hvis nedreGrense og øvreGrense er lister Beregner c2 -fordelingens sannsynlighet mellom nedreGrense og øvreGrense for det angitte antall frihetsgrader df. For P(X { øvreGrense), sett nedreGrense = 0. For informasjon om effekten av tomme elementer i en liste, se “Tomme (åpne) elementer” (her). |
|
|
Katalog > |
|
|
c2GOF obsListe,uttrListe,df chi2GOF obsListe,uttrListe,df Utfører en test for å bekrefte at utvalgsdata er fra en populasjon som er i overensstemmelse med en angitt fordeling. obsListe er en liste over antall, og må inneholde heltall. En oversikt over resultatene lagres i stat.resultater-variabelen (her). For informasjon om effekten av tomme elementer i en liste, se “Tomme (åpne) elementer” (her). |
|
|
Utdata-variabel |
Beskrivelse |
|
stat.c2 |
Chi-kvadratstat: sum((observert - forventet)2/forventet |
|
stat.PVal |
Minste signifikansnivå som null-hypotesen kan forkastes ved |
|
stat.df |
Grader av frihet for chi-kvadratstatistikk |
|
stat.CompList |
Elementbidrag til chi kvadratstatistikk |
|
Katalog > |
|
|
c2Pdf(XVerd,df)Þtall hvis XVerd er et tall, liste hvis XVerd er en liste chi2Pdf(XVerd,df)Þtall hvis XVerd er et tall, liste hvis XVerd er en liste Beregner sannsynlighetstettheten (pdf) for c2 -fordelingen ved en bestemt XVerd-verdi for det angitte antallet frihetsgrader df. For informasjon om effekten av tomme elementer i en liste, se “Tomme (åpne) elementer” (her). |
|
|
Katalog > |
|
|
ClearAZ Sletter alle enkelttegn-variabler i det aktuelle oppgaveområdet. Hvis en eller flere av variablene er låst, viser denne kommandoen en feilmelding og sletter kun de ulåste variablene. Se |
|
|
Katalog > |
|
|
Tømmer feilstatus og stiller systemvariabelen feilKode til null. Else -leddet i Try...Else...EndTry-blokken bør bruke ClrErr eller PassErr. Hvis feilen skal bearbeides eller ignoreres, bruk ClrErr. Hvis det ikke er kjent hva som skal gjøres med feilen, bruk PassErr for å sende den til den neste feilbehandleren. Hvis det ikke er flere ventende Try...Else...EndTry feilbehandlere, vises feil-dialogboksen som normalt. Merk: Se også PassErr, her, og Try, her. Merk for å legge inn eksemplet: For anvisninger om hvordan du legger inn flerlinjede program- og funksjonsdefinisjoner, se avsnittet Kalkulator i produkthåndboken. |
For et eksempel på ClrErr, se eksempel 2 under Try -kommandoen, her.
|
|
Katalog > |
|
|
colAugment(Matrise1, Matrise2)Þmatrise Returnerer en ny matrise som er Matrise2 lagt til på Matrise1. Matrisene må ha like kolonnedimensjoner, og Matrise2 er lagt til Matrise1 som nye rader. Endrer ikke Matrise1 eller Matrise2. |
|
|
Katalog > |
|
|
colDim(Matrise)Þuttrykk Returnerer antallet kolonner som ligger i Matrise. Merk: Se også radDim(). |
|
|
Katalog > |
|
|
colNorm(Matrise)Þuttrykk Returnerer den største summene av absoluttverdiene for elementene i kolonnene i Matrise. Merk: Udefinerte matriseelementer er ikke tillatt. Se også radNorm(). |
|
|
Katalog > |
|
|
conj(Verdi1)Þverdi conj(Liste1)Þliste conj(Matrise1)Þmatrise Returnerer den komplekse konjugerte av argumentet. Merk: Alle ubestemte variabler behandles som reelle variabler. |
|
|
katalog > |
|
|
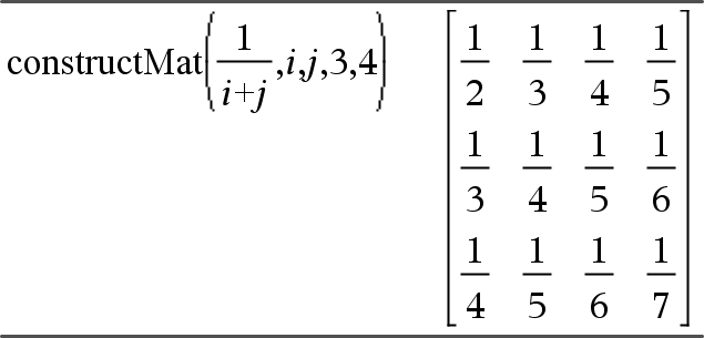
constructMat(Uttr,Var1,Var2,antRad,antKol)Þmatrise Returnerer en matrise basert på argumentene. Uttr er et uttrykk i variablene Var1 og Var2. Elementene i resultatmatrisen dannes ved å beregne Uttr for hver økte verdi av Var1 og Var2. Var1 økes automatisk fra 1 og opp til antRad. I hver rad øker Var2 fra 1 og opp til antKol. |
|
|
katalog > |
|
|
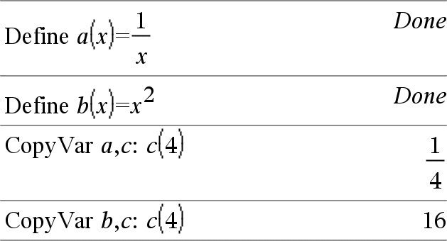
CopyVar Var1, Var2 CopyVar Var1., Var2. CopyVar Var1, Var2 kopierer verdien av variabelen Var1 til variabelen Var2, og oppretter Var2 om nødvendig. Variabel Var1 må ha en verdi. Hvis Var1 er navnet på en eksisterende brukerdefinert funksjon, kopieres definisjonen av denne funksjonen til funksjon Var2. Funksjon Var1 må være definert. Var1 må følge reglene for variabelnavn eller være et indirekte uttrykk som kan forenkles til et variabelnavn som oppfyller reglene. Var1. må være navnet på en eksisterende variabelgruppe, for eksempel statistikk stat.nn-resultater eller variabler som er opprettet med |
|
|
CopyVar Var1., Var2. kopierer alle medlemmene av Var1. variabelgruppe til Var2. gruppe, og oppretter Var2. om nødvendig. Var1. må være navnet på en eksisterende variabelgruppe, for eksempel statistikk stat.nn-resultater, eller variabler som er opprettet med LibShortcut()-funksjonen. Hvis Var2. allerede finnes, vil denne kommandoen erstatte alle medlemmer som er felles for begge gruper, og legge til de medlemmene som ikke allerede finnes. Hvis en enkel (ikke i gruppe) variabel med navnet Var2 finnes, oppstår det en feil. |
|
|
Katalog > |
|
|
corrMat(Liste1,Liste2[,…[,Liste20]]) Beregner korrelasjonsmatrisen for den utvidede matrisen [ Liste1, Liste2, . . ., Liste20 ]. |
|
|
µ tast |
|
|
cos(Verdi1)Þverdi cos(Liste1)Þliste
cos(Liste1) returnerer en liste av cosinus til alle elementer i Liste1. Merk: Argumentet tolkes som grader, gradian eller radian av en vinkel, avhengig av aktuell vinkelmodus-innstilling. Du kan bruke ¡, G eller Rfor å hoppe over vinkelmodusen midlertidig. |
I Grader-vinkelmodus:
I Gradian-vinkelmodus:
I Radian-vinkelmodus:
|
|
cos(kvadratMatrise1)ÞkvadratMatrise Returnerer matrisens cosinus til kvadratMatrise1. Dette er ikke det samme som å beregne cosinus til hvert element. Når en skalarfunksjon f(A) virker på kvadratMatrise1 (A), beregnes resultatet av algoritmen: Beregner egenverdiene (li) og egenvektorene (V i) av A. kvadratMatrise1 må kunne diagonaliseres. Den kan heller ikke ha symbolske variabler som ikke er tildelt noen verdi. Utform matrisene:
Da er A = X B X/og f(A) = X f(B) X/. For eksempel, cos(A) = X cos(B) X/ hvor: cos (B) =
Alle beregningene utføres med flytende desimalpunkt-aritmetikk. |
I Radian-vinkelmodus:
|
|
µ tast |
|
|
cos/(Verdi1)Þverdi cos/(Liste1)Þliste
cos/(Liste1) returnerer en liste over invers cosinus for hvert element i Liste1. Merk: Resultatet returneres som en vinkel i enten grader, gradian eller radian, avhengig av aktuell vinkelmodus-innstilling. Merk: Du kan sette inn denne funksjonen fra datamaskintastaturet ved å skrive arccos(...). |
I Grader-vinkelmodus:
I Gradian-vinkelmodus:
I Radian-vinkelmodus:
|
|
cos/(kvadratMatrise1)ÞkvadratMatrise Returnerer matrisens inverse cosinus til kvadratMatrise1. Dette er ikke det samme som å beregne invers cosinus til hvert element. For mer informasjon om beregningsmetode, se under cos(). kvadratMatrise1 må kunne diagonaliseres. Resultatet inneholder alltid flytende desimaltall. |
I radian-vinkelmodus og rektangulært, kompleks format:
For å se hele resultatet, trykk på 5 og bruk så 7 og 8 for å bevege markøren. |
|
Katalog > |
|
|
cosh(Verdi1)Þverdi cosh(Liste1)Þliste
cosh(Liste1) returnerer en liste over hyperbolsk cosinus til hvert element i Liste1. |
I Grader-vinkelmodus:
|
|
cosh(kvadratMatrise1)ÞkvadratMatrise Returnerer matrisens hyperbolske cosinus til kvadratMatrise1. Dette er ikke det samme som å beregne hyperbolsk cosinus til hvert element. For mer informasjon om beregningsmetode, se under cos(). kvadratMatrise1 må kunne diagonaliseres. Resultatet inneholder alltid flytende desimaltall. |
I Radian-vinkelmodus:
|
|
Katalog > |
|
|
cosh/(Verdi1)Þverdi cosh/(Liste1)Þliste
cosh/(Liste1) returnerer en liste over invers hyperbolsk cosinus til hvert element i Liste1. Merk: Du kan sette inn denne funksjonen fra datamaskintastaturet ved å skrive arccosh(...). |
|
|
cosh/(kvadratMatrise1)ÞkvadratMatrise Returnerer matrisens inverse hyperbolsk cosinus til kvadratMatrise1. Dette er ikke det samme som å beregne invers hyperbolsk cosinus til hvert element. For mer informasjon om beregningsmetode, se under cos(). kvadratMatrise1 må kunne diagonaliseres. Resultatet inneholder alltid flytende desimaltall. |
I radian-vinkelmodus og rektangulært, kompleks format:
For å se hele resultatet, trykk på 5 og bruk så 7 og 8 for å bevege markøren. |
|
µ tast |
|
|
cot(Verdi1) Þ verdi cot(Liste1) Þ liste Returnerer cotangens av Verdi1 eller returnerer en liste med cotangens til alle elementene i Liste1. Merk: Argumentet tolkes som grader, gradianer eller radianer av en vinkel, avhengig av aktuell vinkelmodus-innstilling. Du kan bruke ¡, G eller Rfor å hoppe over vinkelmodusen midlertidig. |
I Grader-vinkelmodus:
I Gradian-vinkelmodus:
I Radian-vinkelmodus:
|
|
µ tast |
|
|
cot /(Verdi1) Þverdi cot /(Liste1) Þliste Returnerer vinkelen som har cotangens lik Verdi1 eller returnerer en liste som inneholder invers cotangens til hvert element i Liste1. Merk: Resultatet returneres som en vinkel i enten grader, gradian eller radian, avhengig av aktuell vinkelmodus-innstilling. Merk: Du kan sette inn denne funksjonen fra datamaskintastaturet ved å skrive arccot(...). |
I Grader-vinkelmodus:
I Gradian-vinkelmodus:
I Radian-vinkelmodus:
|
|
Katalog > |
|
|
coth(Verdi1)Þverdi coth(Liste1)Þliste
|
|
|
Katalog > |
|
|
coth/(Verdi1)Þverdi coth/(Liste1)Þliste Returnerer invers hyperbolsk cotangens til Verdi1 eller returnerer en liste som inneholder invers hyperbolsk cotangens til hvert element i Liste1. Merk: Du kan sette inn denne funksjonen fra datamaskintastaturet ved å skrive arccoth(...). |
|
|
Katalog > |
|
|
count(Verdi1ellerListe1 [,Verdi2ellerListe2 [,...]])Þverdi Returnerer samlet antall av alle elementer i argumentene som behandles til numeriske verdier. Hvert argument kan være et uttrykk. en verdi, liste eller matrise. Du kan blande datatyper og bruke argumenter med forskjellige dimensjoner. For en liste, matrise eller et celleområde blir hver element behandlet for å bestemme om det bør inkluderes i antallet. I applikasjonen Lister og regneark kan du bruke et celleområde istedenfor et argument. Tomme (åpne) elementer ignoreres. For mer informasjon om tomme elementer, se her. |
|
|
Katalog >
|
|||||||
|
countIf(Liste,Kriterium)Þverdi Returnerer samlet antall av alle argumenter i Liste som møter de spesifiserte kriterier. Kriterium kan være:
I applikasjonen Lister og regneark kan du bruke et celleområde istedenfor Liste. Tomme (åpne) elementer i listen ignoreres. For mer informasjon om tomme elementer, se her. |
Teller alle elementer som er lik 3.
Teller alle elementer som er lik “def.”
Teller 1 og 3.
Teller 3, 5 og 7.
Teller 1, 3, 7 og 9. |
|
Katalog > |
|
|
Den første syntaksen,
Den andre syntaksen, Merk: Se også |
|
|
Katalog > |
|
|
crossP(Liste1, Liste2)Þliste Returnerer kryssproduktet av Liste1 og Liste2 som en liste. Liste1 og Liste2 må ha lik dimensjon, og dimensjonen må være enten 2 eller 3. |
|
|
crossP(Vektor1, Vektor2)Þvektor Returnerer en rad- eller kolonnevektor (avhengig av argumentene) som er kryssproduktet av Vektor1 og Vektor2. Både Vektor1 og Vektor2 må være radvektorer, eller begge må være kolonnevektorer. Begge vektorene må ha lik dimensjon, og dimensjonen må være enten 2 eller 3. |
|
|
µ tast |
|
|
csc(Verdi1)Þverdi csc(Liste1)Þliste
|
I Grader-vinkelmodus:
I Gradian-vinkelmodus:
I Radian-vinkelmodus:
|
|
µ tast |
|
|
csc/(Verdi1) Þ verdi csc/(Liste1) Þ liste Returnerer vinkelen som har cosekans lik Verdi1 eller returnerer en liste som inneholder invers cosekans til hvert element i Liste1. Merk: Resultatet returneres som en vinkel i enten grader, gradianer eller radianer, avhengig av aktuell vinkelmodus-innstilling. Merk: Du kan sette inn denne funksjonen fra datamaskintastaturet ved å skrive arccsc(...). |
I Grader-vinkelmodus:
I Gradian-vinkelmodus:
I Radian-vinkelmodus:
|
|
Katalog > |
|
|
csch(Verdi1) Þ verdi csch(Liste1) Þ liste
|
|
|
Katalog > |
|
|
csch/(Verdi) Þ verdi csch/(Liste1) Þ liste Returnerer invers hyperbolsk cosekans til Verdi1 eller returnerer en liste som inneholder invers hyperbolsk cosekans til hvert element i Liste1. Merk: Du kan sette inn denne funksjonen fra datamaskintastaturet ved å skrive arccsch(...). |
|
|
Katalog > |
|
|
CubicReg X, Y[, [Frekv] [, Kategori, Inkluder]] Finner den kubiske polynomiske regresjonen y = a·x3+b· x2+c·x+d for listene X og Y med frekvensen Frekv. En oversikt over resultatene lagres i stat.resultater-variabelen (her). Alle listene må ha samme dimensjon bortsett fra Inkluder. X og Y er lister av uavhengige og avhengige variabler. Frekv er en valgfri liste med frekvensverdier. Hvert element i Frekv angir hvor ofte hvert korresponderende datapunkt X og Y forekommer. Standardverdien er 1. Alle elementene må være heltall | 0. Kategori er en liste over Inkluder er en liste med én eller flere av kategorikodene. Bare dataelementene med kategorikode som er i listen blir inkludert i beregningen. For informasjon om effekten av tomme elementer i en liste, se “Tomme (åpne) elementer” (her). |
|
|
Utdata-variabel |
Beskrivelse |
|
stat.RegEqn |
Regresjonsligning: a·x3+b·x2+c·x+d |
|
stat.a, stat.b, stat.c, stat.d |
Regresjonskoeffisienter |
|
stat.R2 |
Koeffisientbestemmelse |
|
stat.Resid |
Residualene fra regresjonen |
|
stat.XReg |
Liste over de datapunkter i den endrede X-listen som faktisk brukes i regresjonen basert på begrensninger i Frekv, Kategoriliste, og Inkludert kategorier |
|
stat.YReg |
Liste over de datapunkter i den endrede Y-listen som faktisk brukes i regresjonen basert på begrensninger i Frekv, Kategoriliste og inkludert kategorier |
|
stat.FreqReg |
Liste over frekvenser som samsvarer med stat.XReg og stat.YReg |
|
Katalog > |
|
|
cumulativeSum(Liste1)Þliste Returnerer en liste over de kumulative summene av elementene i Liste1, og starter med element 1. |
|
|
cumulativeSum(Matrise1)Þmatrise Returnerer en matrise av de kumulative summene av elementene i Matrise1. Hvert element er den kumulative summen av kolonnen fra topp til bunn. Et tomt (åpent) element i Liste1 eller Matrise1 produserer et åpent element i den resulterende listen eller matrisen. For mer informasjon om tomme elementer, se her. |
|
|
Katalog > |
|
|
Cycle (Løkke) Overfører øyeblikkelig kontroll til den neste iterasjonen i aktuell løkke (For, While, eller Loop). Cycle er ikke tillatt utenfor de tre løkkestrukturene (For, While, eller Loop). Merk for å legge inn eksemplet: For anvisninger om hvordan du legger inn flerlinjede program- og funksjonsdefinisjoner, se avsnittet Kalkulator i produkthåndboken. |
Funksjonsliste som summerer heltallene fra 1 til 100 og hopper over 50.
|
|
Katalog > |
|
|
Vektor 4Cylind Merk: Du kan sette inn denne operatoren fra datamaskintastaturet ved å skrive @>Cylind. Viser rad- eller kolonnevektor i sylindrisk form [r, ±q, z]. Vektor må ha nøyaktig tre elementer. Det kan være enten en rad eller en kolonne. |
|
