S
|
µ tast |
|
|
sec(Verdi1) Þ verdi sec(Liste1) Þ liste Returnerer sekans til Verdi1 eller returnerer en liste med sekans til hvert element i Liste1. Merk: Argumentet tolkes som grader, gradianer eller radianer, avhengig av aktuell vinkelmodus-innstilling. Du kan bruke ¡, G eller Rfor å hoppe over vinkelmodusen midlertidig. |
I Grader-vinkelmodus:
|
|
µ tast |
|
|
sec/(Verdi1) Þ verdi sec/(Liste1) Þ liste Returnerer vinkelen som har sekans lik Verdi1 eller returnerer en liste med inverse sekanser til hvert element i Liste1. Merk: Resultatet returneres som en vinkel i enten grader, gradianer eller radianer, avhengig av aktuell vinkelmodus-innstilling. Merk: Du kan sette inn denne funksjonen fra tastaturet ved å skrive arcsec(...). |
I Grader-vinkelmodus:
I Gradian-vinkelmodus:
I Radian-vinkelmodus:
|
|
Katalog > |
|
|
sech(Verdi1) Þ verdi sech(Liste1) Þ liste
|
|
|
Katalog > |
|
|
sech/(Verdi1) Þ verdi sech/ (Liste1) Þ liste Returnerer invers hyperbolsk sekans til Verdi1 eller returnerer en liste med inverse hyperbolske sekanser til hvert element i Liste1. Merk: Du kan sette inn denne funksjonen fra tastaturet ved å skrive arcsech(...). |
I Radian-vinkelmodus og Rectangular-kompleksmodus:
|
|
Hub-meny |
|
|
Programmeringskommando: Sender én eller flere TI-Innovator™ Hub kommandoer til en tilkoblet hub. uttrEllerStreng må være en gyldig TI-Innovator™ Hub kommando. Vanligvis inneholder uttrEllerStreng en "INNSTILL ..." -kommandofor å kontrollere en enhet eller en «LES ...»-kommando for å etterspørre data. Argumentene sendes suksessivt til hubben. Merk: Du kan bruke Send-kommandoen i et brukerdefinert program, men ikke i en funksjon. |
Eksempel: Slå på det blå elementet i den innebygde RGB LED-skjermen i 0,5 sekunder.
Eksempel: Etterspør nåværende verdi fra hubbens innebygde lysnivåsensor. En Get-kommando henter verdien og tildeler den til variabelen lysver.
Eksempel: Send en kalkulert frekvens til hubbens innebygde høyttaler. Bruk den spesielle variabelen iostr.SendAns for å vise hubkommandoen med uttrykket som er evaluert.
|
|
Katalog > |
|
|
seq(Uttr, Var, Lav, Høy(, Trinn))Þliste Øker Var fra Lav til Høy med trinn på Intervall, behandler Uttr og returnerer resultatene som en liste. Det opprinnelige innholdet i Var er fremdeles der etter at Grunnverdien for Intervall = 1.
|
Merk: For å tvinge frem et tilnærmet desimalresultat, Grafregner: Trykk på / ·.
|
|
Katalog > |
|
|
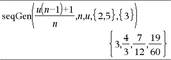
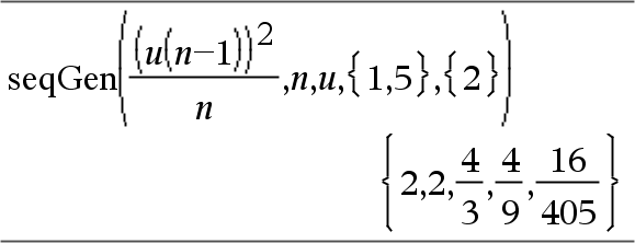
Genererer en liste over ledd for tallfølge avhVar(Var)=Uttr som følger: Øker uavhengig variabel Var fra Var0 til VarMaks med VarIntervaller, beregner avhVar(Var) for tilsvarende verdier av Var ved hjelp av Uttr-formel og ListeAvInnlLedd, og returnerer resultatene som en liste.
Genererer en matrise av ledd for et system (eller en liste) av tallfølger ListeMedAvhVarer(Var)=ListeEllerSystemAvUttr som følger: Øker uavhengig variabel Var fra Var0 til VarMaks med VarIntervall, behandler ListeMedAvhVarer(Var) for tilsvarende verdier av Var ved hjelp av ListeEllerSystemAvUttr -formel og MatriseAvInnlLedd, og returnerer resultatene som en matrise. Opprinnelig innhold i Var er uendret etter at Grunnverdien for VarIntervall = 1. |
Genererer de første 5 leddene i tallfølgen u(n) = u(n-1)2/2, med u(1)=2 og VarIntervall=1.
Eksempel der Var0=2:
System av to tallfølger:
Merk: Tomrommet (_) i matrisen med innledende ledd over brukes for å angi at det innledende leddet for u1(n) er beregnet ved hjelp av den eksplisitte tallfølgeformelen u1(n)=1/n. |
|
Katalog > |
|
|
Genererer en liste over ledd for tallfølge u(n)=Uttr(u, n) som følger: Øker n fra 1 til nMaks med 1, beregner u(n) for tilsvarende verdier av n ved hjelp av formel Uttr(u, n) og ListeMedInnlLedd, og returnerer resultatene som en liste.
Genererer en liste over ledd for en ikke-rekursiv tallfølge u(n)=Uttr(n) som følger: Øker n fra 1 til nMaks med 1, beregner u(n) for tilsvarende verdier av n ved hjelp av formelen Uttr(n), og returnerer resultaten e som en liste. Hvis nMaks mangler, innstilles nMaks på 2500 Hvis nMax=0, innstilles nMaks på 2500 Merk: |
Genererer de første 6 leddene i tallfølgen u(n) = u(n-1)/2, med u(1)=2.
|
|
Katalog > |
|
|
SetMode(modusNavnHeltall, innstillingHeltall) Þheltall SetMode(liste) Þheltallsliste Kun gyldig innenfor en funksjon eller et program. SetMode(modusNavnHeltall, innstillingHeltall) setter foreløpig modus modusNavnHeltall til den nye innstillingen innstillingHeltall, og returnerer et heltall som samsvarer med den opprinnelige innstillingen av den modusen. Endringen er begrenset til hvor lenge det varer å utføre programmet/funksjonen. modusNavnHeltall spesifiserer hvilken modus du vil stille inn. Det må være en av modus-heltallene fra tabellen nedenfor. innstilleHeltall spesifiserer den nye innstillingen for modusen. Det må være en av innstillingsheltallene fra listen nedenfor for den spesifikke modusen som du stiller inn. SetMode(liste) lar deg endre flere innstillinger. liste inneholder tallpar med modusheltall og innstillingeheltall. SetMode(liste) returnerer en liknende liste med heltallpar som representerer de opprinnelige modusene og innstillingene. Hvis du har lagret alle modusinnstillinger med SetMode(0) & var, kan du bruke SetMode(var) for å gjenopprette disse innstillingene til funksjonen eller programmet lukkes. Se SetMode(), her. Merk: De aktuelle modusinnstillingene sendes til påkalte underrutiner. Hvis en underrutine endrer en modusinnstilling, går modusinnstillingen tapt når kontrollen går tilbake til påkallingsrutinen. Merk for å legge inn eksemplet: For anvisninger om hvordan du legger inn flerlinjede program- og funksjonsdefinisjoner, se avsnittet Kalkulator i produkthåndboken. |
Vis tilnærmet verdi av p ved hjelp av grunninnstillingen for Vis sifre, og vis så p med en innstilling på Fast2. Kontroller for å se at grunninnstillingen gjenopprettes etter at programmet utføres.
|
|
Modus Navn |
Modus Heltall |
Innstille heltall |
|
Vis sifre |
1 |
1=Flytende, 2=Flytende1, 3=Flytende2, 4=Flytende3, 5=Flytende4, 6=Flytende5, 7=Flytende6, 8=Flytende7, 9=Flytende8, 10=Flytende9, 11=Flytende10, 12=Flytende11, 13=Flytende12, 14=Fast0, 15=Fast1, 16=Fast2, 17=Fast3, 18=Fast4, 19=Fast5, 20=Fast6, 21=Fast7, 22=Fast8, 23=Fast9, 24=Fast10, 25=Fast11, 26=Fast12 |
|
Vinkel |
2 |
1=Radian, 2=Grader, 3=Gradian |
|
Eksponensielt format |
3 |
1=Normal, 2=Vitenskapelig, 3=Teknisk |
|
Reell eller kompleks |
4 |
1=Reell, 2=Rektangulær, 3=Polar |
|
Auto eller tilnærm. |
5 |
1=Auto, 2=Tilnærmet |
|
Vektorformat |
6 |
1=Rektangulær, 2=Sylindrisk, 3=Sfærisk |
|
Grunntall |
7 |
1=Desimal, 2=Heks, 3=Binær |
|
Katalog > |
|
|
shift(Heltall1[,#avSkift])Þheltall Forskyver (skifter) bitene i et binært heltall. Du kan legge inn Heltall1 med hvilket som helst grunntall. Det konverteres automatisk til 64-bit binær form med fortegn. Hvis Heltall1 er for stort for denne formen, vil en symmetrisk modulusoperasjon bli brukt til å konvertere tallet inn i gyldig verdiområde. For mer informasjon, se 4Base2, her. Hvis #avSkift er positiv, er skift til venstre. Hvis #avSkift er negativ, er skift til høyre. Grunninnstilling er L1 (skiftes èn bit mot høyre). I et høyre-skift er biten helt til høyre droppet og 0 eller 1 lagt inn for å stemme overens med den venstre biten. I et venstre-skift er biten helt til venstre droppet og 0 er lagt inn som høyre-bit. For eksempel i et høyre-skift: Hver bit skifter mot høyre. 0b0000000000000111101011000011010 Setter inn 0 hvis biten helt til venstre er 0, eller 1 hvis biten helt til venstre er 1. produserer: 0b00000000000000111101011000011010 Resultatene vises i forhold til grunntall-modusen. Ledende nuller vises ikke. |
I binær grunntall-modus:
I heksades grunntall-modus:
Viktig: Hvis du vil skrive inn et binært eller heksadesimalt tall, må du alltid bruke prefikset 0b eller 0h (null, ikke bokstaven O). |
|
shift(Liste1 [,#avSkift])Þliste Returnerer en kopi av Liste1 skiftet til høyre eller til venstre av #avSkift-elementer. Endrer ikke Liste1. Hvis #avSkift er positiv, er skift til venstre. Hvis #avSkift er negativ, er skift til høyre. Grunninnstillingen er L1 (skiftes et element til høyre). Elementer som introduseres ved begynnelsen eller slutten av liste ved skiftet er satt til symbolet “udef”. |
I desimalt grunntall-modus:
|
|
shift(Streng1 [,,#avSkift](Þstreng Returnerer en kopi av Streng1 skiftet mot høyre eller mot venstre av #ofShifts-tegn. Endrer ikke Streng1. Hvis #avSkift er positiv, er skift til venstre. Hvis #avSkift er negativ, er skift til høyre. Grunninnstillingen er L1 (skiftes et tegn mot høyre). Tegn som introduseres ved begynnelsen eller slutten av streng ved skiftet er satt til et mellomrom. |
|
|
Katalog > |
|
|
sign(Verdi1)Þverdi sign(Liste1)Þlist e sign(Matrise1)Þmatrise For reell og komplekst Verdi1, returnerer Verdi1 / abs(Verdi1) når Verdi1 ƒ 0. Returnerer 1 hvis Verdi1 er positiv. Returnerer L1 hvis Verdi1 er negativ. sign(0) returnerer „1 hvis kompleks formatmodus er Reell; ellers returnerer den seg selv. sign(0) representerer enhetssirkelen i den komplekse grunnmengden. For en liste eller matrise returneres fortegnene for alle elementene. |
Hvis kompleks formatmodus er reell:
|
|
Katalog > |
|||||||
|
simult(koeffMatrise, konstVektor(, Tol))Þmatrise Returnerer en kolonnevektor som inneholder løsningene til et system av lineære ligninger. Merk: Se også koeffMatrise må være en kvadratmatrise som inneholder ligningskoeffisientene. konstVektor må ha samme antall rader (samme dimension) som koeffMatrise og inneholde konstantene. Alternativt kan ethvert matriseelement behandles som null hvis absoluttverdien er mindre enn Tol. Denne toleransen brukes bare hvis matrisen er lagt inn med flytende desimalpunkt og ikke inneholder noen symbolske variabler som ikke er tildelt noen verdi. Ellers ignoreres Tol.
|
Løs mhp. x og y: x + 2y = 1 3x + 4y = L1
Løsningen er x= L3 og y=2.
Løs: ax + by = 1 cx + dy = 2
|
||||||
|
simult(koeffMatrise, konstMatrise(, Tol))Þmatrise Løser multiple systemer av lineære ligninger, hvor hvert system har samme ligningskoeffisienter men forskjellige konstanter. Hver kolonne i konstMatrise må inneholde konstantene for et ligningssystem. Hver kolonne i resultatmatrisen inneholder løsningen for det tilsvarende systemet. |
Løs: x + 2y = 1 3x + 4y = L1
x + 2y = 2 3x + 4y = L3
For det første systemet er x=L3 og y=2. For det andre systemet er x=L7 og y=9/2. |
|
µ tast |
|
|
sin(Verdi1)Þverdi sin(Liste1)Þliste
sin(Liste1) returnerer en liste over sinus til alle elementer i Liste1. Merk: Argumentet tolkes som grader, gradianer eller som radianer, avhengig av aktuell vinkelmodus. Du kan bruke ¡, G, eller R for å hoppe over vinkelmodusen midlertidig. |
I Grader-vinkelmodus:
I Gradian-vinkelmodus:
I Radian-vinkelmodus:
|
|
sin(kvadratMatrise1)ÞkvadratMatrise Returnerer matrisens sinus til kvadratMatrise1. Dette er ikke det samme som å beregne sinus til hvert element. For mer informasjon om beregningsmetode, se under cos(). kvadratMatrise1 må kunne diagonaliseres. Resultatet inneholder alltid flytende desimaltall. |
I Radian-vinkelmodus:
|
|
µ tast |
|
|
sin/(Liste1)Þliste
sin/(Liste1) returnerer en liste over invers sinus til hvert element i Liste1. Merk: Resultatet returneres som en vinkel i enten grader, gradianer eller radianer, avhengig av aktuell vinkelmodus-innstilling. Merk: Du kan sette inn denne funksjonen fra tastaturet ved å skrive arcsin(...). |
I Grader-vinkelmodus:
I Gradian-vinkelmodus:
I Radian-vinkelmodus:
|
|
sin/(kvadratMatrise1)ÞkvadratMatrise Returnerer matrisens inverse sinus til kvadratMatrise1. Dette er ikke det samme som å beregne invers sinus til hvert element. For mer informasjon om beregningsmetode, se under cos(). kvadratMatrise1 må kunne diagonaliseres. Resultatet inneholder alltid flytende desimaltall. |
I radian-vinkelmodus og rektangulær, kompleks modus:
|
|
Katalog > |
|
|
sinh(Verdi1)Þverdi sinh(Liste1)Þliste
sinh (Liste1) returnerer en liste over hyperbolsk sinus til hvert element i Liste1. |
|
|
sinh(kvadratMatrise1)ÞkvadratMatrise Returnerer matrisens hyperbolske sinus for kvadratMatrise1. Dette er ikke det samme som å beregne hyperbolsk sinus for hvert element. For mer informasjon om beregningsmetode, se under cos(). kvadratMatrise1 må kunne diagonaliseres. Resultatet inneholder alltid flytende desimaltall. |
I Radian-vinkelmodus:
|
|
Katalog > |
|
|
sinh/(Verdi1)Þverdi sinh/(Liste1)Þliste
sinh/(Liste1) returnerer en liste over invers hyperbolsk sinus til hvert element i Liste1. Merk: Du kan sette inn denne funksjonen fra tastaturet ved å skrive arcsinh(...). |
|
|
sinh/(kvadratMatrise1)ÞkvadratMatrise Returnerer matrisens inverse hyperbolske sinus til kvadratMatrise1. Dette er ikke det samme som å beregne invers hyperbolsk sinus til hvert element. For mer informasjon om beregningsmetode, se under cos(). kvadratMatrise1 må kunne diagonaliseres. Resultatet inneholder alltid flytende desimaltall. |
I Radian-vinkelmodus:
|
|
katalog > |
|
|
SinReg X, Y [, [Iterasjoner],[ Periode] [, Kategori, Inkluder] ] Finner sinusregresjonen for listene X og Y. En oversikt over resultatene lagres i stat.resultater-variabelen. (Se her.) Alle listene må ha samme dimensjon bortsett fra Inkluder. X og Y er lister av uavhengige og avhengige variabler. Iterasjoner er en verdi som angir maksimalt antall ganger (1 til 16) det skal gjøres forsøk på å finne en løsning. Hvis utelatt, brukes 8. Vanligvis resulterer større verdier i bedre nøyaktighet men lengre kjøretid, og omvendt. Periode spesifiserer en estimert periode. Hvis utelatt, bør forskjellen mellom verdiene i X være like og i sekvensiell rekkefølge. Hvis du spesifiserer Periode, kan forskjellene mellom x-verdiene være ulike. Kategori er en liste over Inkluder er en liste med én eller flere av kategorikodene. Bare dataelementene med kategorikode som er i listen blir inkludert i beregningen. Resultatet av SinReg er alltid i radianer, uavhengig av innstilling for vinkelmodus. For informasjon om effekten av tomme elementer i en liste, se “Tomme (åpne) elementer” (her). |
|
|
Utdata-variabel |
Beskrivelse |
|
stat.RegEqn |
Regresjonsligning: a·sin(bx+c)+d |
|
stat.a, stat.b, stat.c, stat.d |
Regresjonskoeffisienter |
|
stat.Rest |
Residualene fra regresjonen |
|
stat.XReg |
Liste over de datapunkter i den endrede X-listen som faktisk brukes i regresjonen basert på begrensninger i Frekv, Kategoriliste og Inkluder kategorier |
|
stat.YReg |
Liste over de datapunkter i den endrede Y-listen som faktisk brukes i regresjonen basert på begrensninger i Frekv, Kategoriliste og Inkluder kategorier |
|
stat.FreqReg |
Liste over frekvenser som samsvarer med stat.XReg og stat.YReg |
|
Katalog > |
|
|
SortAListe1[, Liste2] [, Liste3]... SortAVektor1[, Vektor2] [, Vektor3] ... Sorterer elementene i det første argument i stigende rekkefølge. Hvis du inkluderer andre argumenter, sorteres elementene av hvert slik at den nye posisjonen deres stemmer overens med den nye posisjonen til elementene i det første argumentet. Alle argumentene må være navn på lister eller vektorer. Alle argumentene må ha like dimensjoner. Tomme (åpne) elementer innenfor det første utsagnet flyttes til bunnen. For mer informasjon om tomme elementer, se her. |
|
|
Katalog > |
|
|
SortD Liste1[, Liste2] [, Liste3] ... SortDVektor1[,Vektor2] [,Vektor3] ... Identisk med SortA, bortsett fra at SortD sorterer elementene i fallende rekkefølge. Tomme (åpne) elementer innenfor det første utsagnet flyttes til bunnen. For mer informasjon om tomme elementer, se her. |
|
|
Katalog > |
|
|
Vektor 4Sphere Merk: Du kan sette inn denne operatoren fra datamaskintastaturet ved å skrive @>Sphere. Viser rad- eller kolonnevektor i sfærisk form [r ±q ±f]. Vektor må være av dimensjon 3 og kan enten være en rad- eller en kolonnevektor. Merk: 4Sphere er en visningsformat-instruksjon, ikke en omregningsfunksjon. Du kan bare bruke den på slutten av en kommandolinje. |
|
|
Katalog > |
|
|
sqrt(Verdi1)Þverdi sqrt(Liste1)Þliste Returnerer kvadratroten til argumentet. For en liste, returneres kvadratroten til alle elementene i Liste1. Merk: Se også Kvadratrot-sjablon, her. |
|
|
Katalog > |
|
|
stat.results Viser resultater fra en statistisk beregning. Resultatene vises som et sett av navn-verdi-par. De spesifikke navnene som vises er avhengige av den aller siste brukte statistikkfunksjonen eller kommandoen. Du kan kopiere et navn eller en verdi og lime den inn i andre posisjoner.
Merk: Unngå å definere variabler som bruker de samme navnene som de som brukes for statistisk analyse. I noen tilfeller kan det oppstå feilbetingelse. I tabellen nedenfor finner du en liste over variabelnavn som brukes for statistisk analyse. |
|
|
stat.a stat.AdjR² stat.b stat.b0 stat.b1 stat.b2 stat.b3 stat.b4 stat.b5 stat.b6 stat.b7 stat.b8 stat.b9 stat.b10 stat.bList stat.c² stat.c stat.CLower stat.CLowerList stat.CompList stat.CompMatrix stat.CookDist stat.CUpper stat.CUpperList stat.d |
stat.dfDenom stat.dfBlock stat.dfCol stat.dfError stat.dfInteract stat.dfReg stat.dfNumer stat.dfRow stat.DW stat.e stat.ExpMatrix stat.F stat.FBlock stat.Fcol stat.FInteract stat.FreqReg stat.Frow stat.Leverage stat.LowerPred stat.LowerVal stat.m stat.MaxX stat.MaxY stat.ME stat.MedianX |
stat.MedianY stat.MEPred stat.MinX stat.MinY stat.MS stat.MSBlock stat.MSCol stat.MSError stat.MSInteract stat.MSReg stat.MSRow stat.n stat.Ç stat.Ç1 stat.Ç2 stat.ÇDiff stat.PList stat.PVal stat.PValBlock stat.PValCol stat.PValInteract stat.PValRow stat.Q1X stat.Q1Y |
stat.Q3X stat.Q3Y stat.r stat.r² stat.RegEqn stat.Resid stat.ResidTrans stat.sx stat.sy stat.sx1 stat.sx2 stat.Gx stat.Gx² stat.Gxy stat.Gy stat.Gy² stat.s stat.SE stat.SEList stat.SEPred stat.sResid stat.SEslope stat.sp stat.SS |
stat.SSBlock stat.SSCol stat.SSX stat.SSY stat.SSError stat.SSInteract stat.SSReg stat.SSRow stat.tList stat.UpperPred stat.UpperVal stat.v stat.v1 stat.v2 stat.vDiff stat.vList stat.XReg stat.XVal stat.XValList stat.w stat.y stat.yList stat.YReg |
|
Merk: Hver gang applikasjonen Lister og regneark beregner statistiske resultater, kopierer den “stat.”-gruppevariablene til en “stat#.”-gruppe, der # er et tall som økes automatisk. På den måten kan du bevare tidligere resultater mens du utfører flere beregninger. |
|
Katalog > |
|
|
stat.values Viser en matrise av verdiene som er beregnet for siste behandlede statistikkfunksjon eller kommando. I motsetning til stat.results utelater stat.values navnene som assosieres med verdiene. Du kan kopiere en verdi og lime dette inn i andre posisjoner. |
Se stat.results -eksemplet. |
|
Katalog > |
|
|
stDevPop(Liste[, frekvListe])Þuttrykk Returnerer populasjonens standardavvik for elementene i Liste. Hvert frekvListe element teller antallet forekomster av det tilsvarende elementet i Liste. Merk: Liste må ha minst to elementer. Tomme (åpne) elementer ignoreres. For mer informasjon om tomme elementer, se her |
I radian-vinkelmodus og automatisk modus:
|
|
stDevPop(Matrise1[, FrekvMatrise])Þmatrise Returnerer en radvektor av populasjonens standardavvik i kolonnene i Matrise1. Hvert frekvMatrise element teller antallet forekomster av det tilsvarende elementet i Matrise1. Merk: Matrise1 må ha minst to rader. Tomme (åpne) elementer ignoreres. For mer informasjon om tomme elementer, se her. |
|
|
Katalog > |
|
|
stDevSamp(Liste[, frekvListe])Þuttrykk Returnerer utvalgets standardavvik av elementene i Liste. Hvert frekvListe element teller antallet forekomster av det tilsvarende elementet i Liste. Merk: Liste må ha minst to elementer. Tomme (åpne) elementer ignoreres. For mer informasjon om tomme elementer, se her |
|
|
stDevSamp(Matrise1[, frekvMatrise])Þmatrise Returnerer en radvektor av utvalgets standardavvik av kolonnene i Matrise1. Hvert frekvMatrise element teller antallet forekomster av det tilsvarende elementet i Matrise1. Merk: Matrise1 må ha minst to rader. Tomme (åpne) elementer ignoreres. For mer informasjon om tomme elementer, se her. |
|
|
Katalog > |
|
|
Stop Programmeringskommando: Avslutter programmet. Stop er ikke tillatt i funksjoner. Merk for å legge inn eksemplet: For anvisninger om hvordan du legger inn flerlinjede program- og funksjonsdefinisjoner, se avsnittet Kalkulator i produkthåndboken. |
|
|
Se & (lagre), her. |
|
|
|
|
|
Katalog > |
|
|
string(Uttr)Þstring Forenkler Uttr og returnerer resultatet som en tegnstreng. |
|
|
Katalog > |
|
|
subMat(Matrise1[, startRad] [, startKol] [, endRad) [, endKol]) Þmatrise Returnerer den spesifiserte undermatrisen til Matrise1. Grunninnstillinger: startRad=1, startKol=1, endRad=siste rad, endKol=siste kolonne. |
|
|
Se G(), her. |
|
|
|
|
|
Katalog > |
|
|
sum(Liste[, Start[, Slutt ]])Þuttrykk Returnerer summen av elementene i Liste. Start og Slutt er alternativer. De spesifiserer et elementområde. Et tomt utsagn produserer et tomt resultat. Tomme (åpne) elementer i Liste ignoreres. For mer informasjon om tomme elementer, se her. |
|
|
sum(Matrise1[, Start[, Slutt]])Þmatrise Returnerer en radvektor som inneholder summene av elementene i kolonnene i Matrise1. Start og Slutt er alternativer. De spesifiserer et radområde. Et tomt utsagn produserer et tomt resultat. Tomme (åpne) elementer i Matrise1 ignoreres. For mer informasjon om tomme elementer, se her. |
|
|
Katalog > |
|||||||
|
sumIf(Liste,Kriterium[, SumListe])Þverdi Returnerer samlet sum av alle elementene i Liste som møter de spesifiserte Kriterier. Eventuelt kan du spesifisere en endringsliste, sumListe, for å hente de elementene som skal samles (akkumuleres). Liste kan være et uttrykk, en liste eller en matrise. SumListe, hvis spesifisert, må ha samme dimensjon(er) som Liste. Kriterium kan være:
Hvis et Liste-element møter Kriteriene, legges dette elementet til den samlende summen. Hvis du inkluderer sumListe, legges tilsvarende element fra sumListe til summen istedenfor. I applikasjonen lIster og regneark kan du bruke et celleområde istedenfor Liste og sumListe. Tomme (åpne) elementer ignoreres. For mer informasjon om tomme elementer, se her. Merk: Se også countIf(), her. |
|
|
Se G(), her. |
|
|
|
|
|
Katalog > |
|
|
system(Verdi1 [, Verdi2 [, Verdi3 [, ...]]]) Returnerer et ligningssystem, formatert som en liste. Du kan også opprette et system med en sjablon. |

.