G
|
Katalog > |
|
|
gcd(Tall1, Tall2)Þuttrykk Returnerer største felles divisor for de to argumentene. gcd av to brøker er gcd av tellerne dividert med lcm av nevnerne. I modusen Auto eller Tilnærmet er gcd av brøkens flytende desimalpunkttall 1,0. |
|
|
gcd(Liste1, Liste2)Þliste Returnerer største felles divisorer av samsvarende deler i Liste1 og Liste2. |
|
|
gcd(Matrise1, Matrise2)Þmatrise Returnerer største felles divisorer av samsvarende deler i Matrise1 og Matrise2. |
|
|
Katalog > |
|
|
geomCdf(p,nedreGrense,øvreGrense)Þtall hvis nedreGrense og øvreGrense er tall, liste hvis nedreGrense og øvreGrense er lister geomCdf(p,øvreGrense)for P(1{X{øvreGrense)Þtall hvis øvreGrense er et tall, liste hvis øvreGrense er en liste Beregner en kumulativ geometrisk sannsynlighet fra nedreGrense til øvreGrense med den spesifiserte sannsynligheten for suksess p. For P(X { øvreGrense), sett nedreGrense = 1. |
|
|
Katalog > |
|
|
geomPdf(p,XVerdi)Þtall hvis XVerdi er et tall, liste hvis XVerdi er en liste Beregner en sannsynlighet ved XVerdi, antall forsøk før første suksess inntreffer, for diskret geometrisk fordeling med spesifisert suksess-sannsynligheten p. |
|
|
Hub-meny |
|||||||
|
Programmeringskommando: Henter en verdi fra en tilkoblet TI-Innovator™ Hub og tildeler verdien til variabel var. Verdien må etterspørres:
–eller–
Implisitt forenkling finner sted. For eksempel tolkes en mottatt streng som «123» som en numerisk verdi. For å bevare strengen, bruker du GetStr i stedet for Get. |
Eksempel: Etterspør nåværende verdi fra hubbens innebygde lysnivåsensor. Bruk Get for å hente verdien og tildele den til variabelen lysver.
Innlem LES-forespørslen i Hent-kommandoen.
|
||||||
|
Hvis du inkluderer det valgfrie argumentet statusVar, tilordnes det en verdi basert på om operasjonen lyktes eller ikke. En verdi på null betyr at ingen data ble mottatt. |
|
||||||
|
I den andre syntaksen lar argumentet funk() et program lagre den mottatte strengen som en funksjonsdefinisjon. Denne syntaksen arbeider som om programmet utførte kommandoen: Definer funk(arg1, ...argn) = mottatt streng Programmet kan så bruke den definerte funksjonen funk(). Merk: Du kan bruke Get-kommandoen i et brukerdefinert program, men ikke i en funksjon. |
|
Katalog > |
|
|
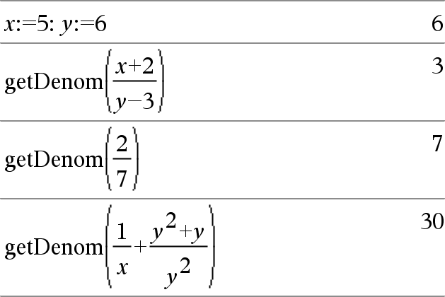
getDenom(Brøk1)Þverdi Omformer argumentet inn til et uttrykk som har en redusert felles nevner og returnerer så uttrykkets nevner. |
|
|
Katalog > |
|||||||
|
getKey([0|1]) ⇒ returnString Beskrivelse:getKey() – tillater at et TI-Basic-program henter tastaturinndata – grafregner, stasjonær PC og emulator på skrivebordet. Eksempel:
|
Eksempel:
|
Håndtering av tastetrykk:
|
Håndholdt enhet / emulatortast |
Stasjonær PC |
Returverdi |
|---|---|---|
|
Esc |
Esc |
"esc" |
|
Styreplate – klikk oppe |
Ikke relevant |
"opp" |
|
På |
Ikke relevant |
"start" |
|
|
|
|
|
Kladdeapp |
Ikke relevant |
"kladdeblokk" |
|
Styreplate – venstreklikk |
Ikke relevant |
"venstre" |
|
Styreplate – midtklikk |
Ikke relevant |
"midtre" |
|
Styreplate – høyreklikk |
Ikke relevant |
"høyre" |
|
Dok |
Ikke relevant |
"dok" |
|
|
|
|
|
Kategori |
Kategori |
"kategori" |
|
Styreplate – klikk nede |
Piltast ned |
"ned" |
|
Meny |
Ikke relevant |
"meny" |
|
|
|
|
|
Ctrl |
Ctrl |
ingen retur |
|
Skift |
Skift |
ingen retur |
|
Variabel |
Ikke relevant |
"var" |
|
Del |
Ikke relevant |
"del" |
|
|
|
|
|
= |
= |
"=" |
|
trigonometri |
Ikke relevant |
"trigonometri" |
|
0 til og med 9 |
0-9 |
"0" ... "9" |
|
Sjabloner |
Ikke relevant |
"sjablon" |
|
Katalog |
Ikke relevant |
"kat" |
|
|
|
|
|
^ |
^ |
"^" |
|
X^2 |
Ikke relevant |
"kvadrat" |
|
/ (divisjonstast) |
/ |
"/" |
|
* (multiplikasjonstast) |
* |
"*" |
|
e^x |
Ikke relevant |
"eksp" |
|
10^x |
Ikke relevant |
"10potens" |
|
+ |
+ |
"+" |
|
- |
- |
"-" |
|
|
|
|
|
( |
( |
"(" |
|
) |
) |
")" |
|
. |
. |
"." |
|
(-) |
Ikke relevant |
"-" (negativ-tegn) |
|
Enter |
Enter |
"enter" |
|
|
|
|
|
ee |
Ikke relevant |
"E" (vitenskapelig notasjon E) |
|
a–z |
a–z |
alpha = bokstav trykket ned (liten bokstav) ("a"–"z") |
|
skift a–z |
skift a–z |
alpha = bokstav trykket ned "A"–"Z" |
|
|
|
Merk: ctrl-skift brukes som Caps Lock |
|
?! |
Ikke relevant |
"?!" |
|
|
|
|
|
pi |
Ikke relevant |
"pi" |
|
Flagg |
Ikke relevant |
ingen retur |
|
|
|
|
|
, |
, |
"," |
|
Returner |
Ikke relevant |
"returner" |
|
mellomrom |
mellomrom |
" " (mellomrom) |
|
|
|
|
|
Utilgjengelig |
Spesialtegn som f.eks. @,!,^ osv. |
Tegnet er returnert |
|
Ikke relevant |
Funksjonstaster |
Ingen returnerte tegn |
|
Ikke relevant |
Spesielle skrivebordskontrolltaster |
Ingen returnerte tegn |
|
Utilgjengelig |
Andre skrivebordstaster som ikke er tilgjengelige på kalkulatoren mens getkey() venter på et tastetrykk. ({, },;, :, ...) |
Det samme tegnet du får i Notat (ikke i en matematikkboks) |
Merk: Legg merke til at getKey() i et program endrer hvordan hendelser behandles av systemet. Noen av disse beskrives nedenfor.
Avslutte et program og behandle en hendelse – På samme måte som om brukeren skulle avslutte et program ved å trykke på PÅ-tasten
"Støtte" nedenfor betyr – Systemet fungerer som forventet – programmet fortsetter å kjøre.
|
Hendelse |
Enhet |
Stasjonær PC – TI-Nspire™ Student Software |
|---|---|---|
|
Hurtigspørring |
Avslutte et program, behandle en hendelse |
Samme som for grafregner (bare |
|
Ekstern filbehandling
(Inkl. sende filen 'Exit Press 2 Test' fra en annen grafregner eller skrivebords-grafregner) |
Avslutte et program, behandle en hendelse |
Samme som for en grafregner. (bare |
|
Avslutt klasse |
Avslutte et program, behandle en hendelse |
Brukerstøtte (bare |
|
Hendelse |
Enhet |
Stasjonær PC – TI-Nspire™ Alle versjoner |
|
|
Støtte – kan sende kommandoer til |
Samme som for en grafregner |
|
katalog > |
|
|
getLangInfo()Þstreng Returnerer en streng som svarer til kortnavnet på det aktive språket. Du kan for eksempel bruke den i et program eller en funksjon for å finne aktivt språk. Engelsk = “en” Dansk = “da” Tysk = “de” Finsk = “fi” Fransk = “fr” Italiensk = “it” Nederlandsk = “nl” Belgisk nederlandsk = “nl_BE” Norsk = “no” Portugisisk = “pt” Spansk = “es” Svensk = “sv” |
|
|
Katalog > |
|
|
Returnerer aktuell låst/opplåst status for variabel Var. verdi =0: Var er låst opp eller eksisterer ikke. verdi =1: Var er låst opp og kan ikke modifiseres eller slettes. |
|
|
Katalog > |
|
|
GetMode(ModusNavnHeltall)Þverdi GetMode(0)Þliste GetMode(ModusNavnHeltall) returnerer en verdi som representerer aktuell innstilling av ModusNavnHeltall-modus. GetMode(0) returnerer en liste som inneholder tallpar. Hvert par består av et modusheltall og et innstillingsheltall. For en opplisting av modusene og deres innstillinger, referer til tabellen under. Hvis du lagrer innstillingene med GetMode(0) & var, kan du bruke GetMode(var) i en funksjon eller et program for midlertidig å gjenopprette innstillingene kun innenfor utføringen av funksjonen eller programmet. Se GetMode(), her. |
|
|
Modus Navn |
Modus Heltall |
Innstille heltall |
|
Vis sifre |
1 |
1=Flytende, 2=Flytende1, 3=Flytende2, 4=Flytende3, 5=Flytende4, 6=Flytende5, 7=Flytende6, 8=Flytende7, 9=Flytende8, 10=Flytende9, 11=Flytende10, 12=Flytende11, 13=Flytende12, 14=Fast0, 15=Fast1, 16=Fast2, 17=Fast3, 18=Fast4, 19=Fast5, 20=Fast6, 21=Fast7, 22=Fast8, 23=Fast9, 24=Fast10, 25=Fast11, 26=Fast12 |
|
Vinkel |
2 |
1=Radian, 2=Grader, 3=Gradian |
|
Eksponensielt format |
3 |
1=Normal, 2=Vitenskapelig, 3=Teknisk |
|
Reell eller kompleks |
4 |
1=Reell, 2=Rektangulær, 3=Polar |
|
Auto eller tilnærm. |
5 |
1=Auto, 2=Tilnærmet |
|
Vektorformat |
6 |
1=Rektangulær, 2=Sylindrisk, 3=Sfærisk |
|
Grunntall |
7 |
1=Desimal, 2=Heks, 3=Binær |
|
Katalog > |
|
|
getNum(Brøk1)Þverdi Omformert argumentet til et uttrykk som har en redusert felles nevner og returnerer så uttrykkets teller. |
|
|
Hub-meny |
|
|
Programmeringskommando: Virker på nøyaktig samme måte som kommandoen Get, bortsett fra at mottatt verdi alltid tolkes som en streng. I motsetning tolker kommandoen Get svaret som et uttrykk, med mindre det er satt i anførselstegn (""). |
For eksempler, se Get. |
|
Katalog > |
|
|
Returnerer en streng som angir dataens typevariabel var. Hvis var ikke er definert, returnerer strengen "INGEN". |
|
|
katalog > |
|
|
getVarInfo()Þmatrise eller streng getVarInfo(BibliotekNavnStreng)Þmatrise eller streng getVarInfo() returnerer en matrise med informasjon (variabelnavn, type, bibliotektilgjengelighet og låst/opplåst status) for alle variabler og biblioteksobjekter som er definert i den aktuelle oppgaven. Hvis ingen variabler er definert, returnerer getVarInfo() strengen "INGEN". getVarInfo(BibliotekNavnStreng)returnerer en matrise med informasjon for alle bibliotekobjektene som er definert i biblioteket BibliotekNavnStreng. BibliotekNavnStreng må være en streng (tekst omsluttet av anførselstegn) eller en strengvariabel. Hvis biblioteket BibliotekNavnStreng ikke finnes, oppstår det en feil. |
|
|
Se for eksempel til venstre, der resultatet av getVarInfo() tilordnes variabelen vs. Hvis du forsøker å vise rad 2 eller 3 av vs, returneres en “Ugyldig liste eller matrise”-feil, siden minst ett av elementene i de radene (for eksempel variabel b) reevalueres til en matrise. Denne feilen kan også oppstå når du bruker Ans til å reevaluere et getVarInfo()-resultat. Systemet viser ovenstående feil fordi den gjeldende versjonen av programvaren ikke støtter en generalisert matrisestruktur der et element kan være enten en matrise eller en liste. |
|
|
Katalog > |
|
|
Goto etikettNavn Overfører kontroll til navnet etikettNavn. etikettNavn må være definert i samme funksjon med en Lbl-instruksjon. Merk for å legge inn eksemplet: For anvisninger om hvordan du legger inn flerlinjede program- og funksjonsdefinisjoner, se avsnittet Kalkulator i produkthåndboken. |
|
|
Katalog > |
|
|
Uttr1 4 Grad ÞUttrykk Omregner Uttr1 til gradian vinkelmåling. Merk: Du kan sette inn denne operatoren fra datamaskintastaturet ved å skrive @>Grad. |
I Grader-vinkelmodus:
I Radian-vinkelmodus:
|
