Vorlagen für Ausdrücke
Vorlagen für Ausdrücke bieten Ihnen eine einfache Möglichkeit, mathematische Ausdrücke in der mathematischen Standardschreibweise einzugeben. Wenn Sie eine Vorlage eingeben, wird sie in der Eingabezeile mit kleinen Blöcken an den Positionen angezeigt, an denen Sie Elemente eingeben können. Der Cursor zeigt, welches Element eingegeben werden kann.
Verwenden Sie die Pfeiltasten oder drücken Sie e, um den Cursor zur jeweiligen Position der Elemente zu bewegen, und geben Sie für jedes Element einen Wert oder Ausdruck ein. Drücken Sie · oder /·, um den Ausdruck auszuwerten.
|
/p Tasten |
|
|
|
Beispiel:
|
|
l Taste |
|
|
Hinweis: Geben Sie den ersten Wert ein, drücken Sie l und geben Sie dann den Exponenten ein. Um den Cursor auf die Grundlinie zurückzusetzen, drücken Sie die rechte Pfeiltaste (¢). Hinweis: Siehe auch ^ (Potenz), hier. |
Beispiel:
|
|
/q Tasten |
|
|
|
Beispiel:
|
|
/l Tasten |
|
|
|
Beispiel:
|
|
u Tasten |
|
|
Potenz zur natürlichen Basis e Hinweis: Siehe auch e^(), hier. |
Example:
|
|
/s Taste |
|
|
Berechnet den Logarithmus zu einer bestimmten Basis. Bei der Standardbasis 10 wird die Basis weggelassen. Hinweis: Siehe auch log(), hier. |
Beispiel:
|
|
Katalog > |
|
|
Ermöglicht es, Ausdrücke und Bedingungen für eine stückweise definierte Funktion aus zwei‑Stücken zu erstellen. Um ein Stück hinzuzufügen, klicken Sie in die Vorlage und wiederholen die Vorlage. Hinweis: Siehe auch piecewise(), hier. |
Beispiel:
|
|
Katalog > |
|
|
Ermöglicht es, Ausdrücke und Bedingungen für eine stückweise definierte Funktion aus n‑Teilen zu erstellen. Fragt nach n.
Hinweis: Siehe auch piecewise(), hier. |
Beispiel: Siehe Beispiel für die Vorlage Stückweise (2 Teile). |
|
Katalog > |
|
|
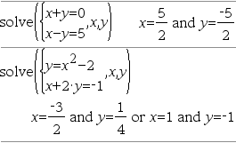
Erzeugt ein System aus zwei Hinweis: Siehe auch system(), hier. |
Beispiel:
|
|
Katalog > |
|
|
Ermöglicht es, ein System aus N
Hinweis: Siehe auch system(), hier. |
Beispiel: Siehe Beispiel für die Vorlage Gleichungssystem (2 Gleichungen). |
|
Katalog > |
|
|
|
Beispiel:
|
|
Katalog > |
|
|
Ermöglicht es, Winkel im Format dd°mm’ss.ss’’ einzugeben, wobei dd für den Dezimalgrad, mm die Minuten und ss.ss die Sekunden steht. |
Beispiel:
|
|
Katalog > |
|
|
Erzeugt eine 2 x 2 Matrix. |
Beispiel:
|
|
Katalog > |
|
|
|
Beispiel:
|
|
Katalog > |
|
|
|
Beispiel:
|
|
Katalog > |
|
|
Die Vorlage wird angezeigt, nachdem Sie aufgefordert wurden, die Anzahl der Zeilen und Spalten anzugeben.
Hinweis: Wenn Sie eine Matrix mit einer großen Zeilen- oder Spaltenanzahl erstellen, dauert es möglicherweise einen Augenblick, bis sie angezeigt wird. |
Beispiel:
|
|
Katalog > |
|
|
Hinweis: Siehe auch G() (sumSeq), hier. |
Beispiel:
|
|
Katalog > |
|
|
Hinweis: Siehe auch P() (prodSeq), hier. |
Beispiel:
|
|
Katalog > |
|
|
Die Vorlage „Erste Ableitung“ lässt sich verwenden, um die erste Ableitung an einem Punkt numerisch durch automatische Ableitungsmethoden zu berechnen. Hinweis: Siehe auch d() (Ableitung), hier. |
Beispiel:
|
|
Katalog > |
|
|
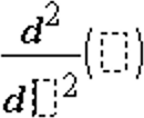
Die Vorlage „Zweite Ableitung“ lässt sich verwenden, um die zweite Ableitung an einem Punkt numerisch durch automatische Ableitungsmethoden zu berechnen. Hinweis: Siehe auch d() (Ableitung), hier. |
Beispiel:
|
|
Katalog > |
|
|
Mit der Vorlage „Bestimmtes Integral“ können Sie das bestimmte Integral numerisch berechnen. Hierzu wird dieselbe Methode wie bei nInt() verwendet.
|
Beispiel:
|





.