S
|
µ Taste |
|
|
sec(Wert1) Þ Wert sec(Liste1) Þ Liste Gibt den Sekans von Wert1 oder eine Liste der Sekans aller Elemente in Liste1 zurück. Hinweis: Der als Argument angegebene Winkel wird gemäß der aktuellen Winkelmoduseinstellung als Grad, Neugrad oder Bogenmaß interpretiert. Sie können ¡, g oder R benutzen, um den Winkelmodus vorübergend aufzuheben. |
Im Grad-Modus:
|
|
µ Taste |
|
|
sec/(Wert1) Þ Wert sec/(Liste1) Þ Liste Gibt entweder den Winkel, dessen Sekans Wert1 entspricht, oder eine Liste der inversen Sekans aller Elemente in Liste1 zurück. Hinweis: Das Ergebnis wird gemäß der aktuellen Winkelmoduseinstellung in Grad, in Neugrad oder im Bogenmaß zurückgegeben. Hinweis: Sie können diese Funktion über die Tastatur Ihres Computers eingeben, indem Sie arcsec(...) eintippen. |
Im Grad-Modus:
Im Neugrad-Modus:
Im Bogenmaß-Modus:
|
|
Katalog > |
|
|
sech(Wert1) Þ Wert sech(Liste1) Þ Liste
|
|
|
Katalog > |
|
|
sech/(Wert1) Þ Wert sech/ (Liste1) Þ Liste Gibt den inversen hyperbolischen Sekans von Wert1 oder eine Liste der inversen hyperbolischen Sekans aller Elemente in Liste1 zurück. Hinweis: Sie können diese Funktion über die Tastatur Ihres Computers eingeben, indem Sie arcsech(...) eintippen. |
Im Winkelmodus Bogenmaß und Komplex-Formatmodus “kartesisch”:
|
|
Hub-Menü |
|
|
Programmierbefehl: Sendet einen oder mehrere TI-Innovator™ Hub Befehle an den verbundenen Hub. exprOrString muss ein gültiger TI-Innovator™ Hub Befehl sein. Normalerweise enthält exprOrString einen Befehl "SET ..." zum Steuern eines Geräts oder einen Befehl "READ ..." zum Anfordern von Daten. Die Argumente werden hintereinander an den Hub gesendet. Hinweis: Sie können den BefehlSend in einem benutzerdefinierten Programm, aber nicht in einer Funktion verwenden. Hinweis: Siehe auch Get (hier), GetStr (hier) und eval() (hier). |
Beispiel: Schalten Sie das blaue Element der integrierten RGB LED 0,5 Sekunden lang ein.
Beispiel: Fordern Sie den aktuellen Wert des integrierten Lichtpegelsensors des Hub an. Ein Befehl Get ruft den Wert ab und weist ihn der Variablen lightval zu.
Beispiel: Senden Sie eine berechnete Frequenz an den integrierten Lautsprecher des Hub. Verwenden Sie die spezielle Variable iostr.SendAns, um den Hub-Befehl mit dem ausgewerteten Ausdruck anzuzeigen.
|
|
Katalog > |
|
|
seq(Ausdr, Var, Von, Bis[, Schritt])ÞListe Erhöht Var in durch Schritt festgelegten Stufen von Von bis Bis, wertet Ausdr aus und gibt die Ergebnisse als Liste zurück. Der ursprüngliche Inhalt von Var ist nach Beendigung von Der Vorgabewert für Schritt ist 1. |
Hinweis: Erzwingen eines Näherungsergebnisses, Handheld: Drücken Sie / ·.
|
|
Katalog > |
|
|
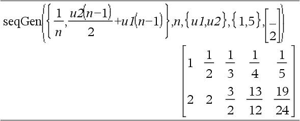
Generiert eine Term-Liste für die Folge abhVar(Var)=Ausdr wie folgt: Erhöht die unabhängige Variable Var von Var0 bis VarMax um VarSchritt, wertet abhVar(Var) für die entsprechenden Werte von Var mithilfe der Formel Ausdr und der ListeAnfTerme aus und gibt die Ergebnisse als Liste zurück.
Generiert eine Term-Matrix für ein System (oder eine Liste) von Folgen ListeAbhVar(Var)=SystemListeOderAusdr wie folgt: Erhöht die unabhängige Variable Var von Var0 bis VarMax um VarSchritt, wertet ListeAbhVar(Var) für die entsprechenden Werte von Var mithilfe der Formel SystemListeOderAusdr und der MatrixAnfTerme aus und gibt die Ergebnisse als Matrix zurück. Der ursprüngliche Inhalt von Var ist nach Beendigung von Der Standardwert für VarSchritt ist 1. |
Generieren Sie die ersten 5 Terme der Folge u(n) = u(n-1)2/2 mit u(1)=2 und VarSchritt=1.
Beispiel mit Var0=2:
System zweiter Folgen:
Hinweis: Die Lücke (_) in der oben aufgeführten Anfangsterm-Matrix zeigt an, dass der Anfangsterm für u1(n) mit der expliziten Folge-Formel u1(n)=1/n berechnet wird. |
|
Katalog > |
|
|
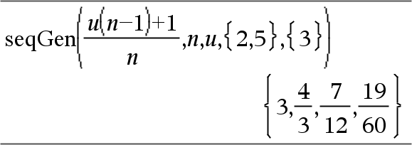
Generiert eine Term-Liste für eine Folge u(n)=Ausdr(u, n) wie folgt: Erhöht n von 1 bis nMax um 1, wertet u(n) für die entsprechenden Werte von n mithilfe der Formel Ausdr(u, n) und ListeAnfTerme aus und gibt die Ergebnisse als Liste zurück.
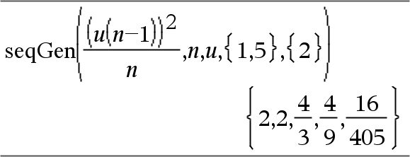
Generiert eine Term-Liste für eine nichtrekursive Folge u(n)=Ausdr(n) wie folgt: Erhöht n von 1 bis nMax um 1, wertet u(n) für die entsprechenden Werte von n mithilfe der Formel Ausdr(n) aus und gibt die Ergebnisse als Liste zurück. Wenn nMax fehlt, wird nMax auf 2500 gesetzt Wenn nMax=0, wird nMax auf 2500 gesetzt Hinweis: |
Generieren Sie die ersten 6 Terme der Folge u(n) = u(n-1)/2 mit u(1)=2.
|
|
Katalog > |
|
|
setMode(ModusNameGanzzahl, GanzzahlFestlegen) ÞGanzzahl setMode(Liste) ÞListe mit ganzen Zahlen Nur gültig innerhalb einer Funktion oder eines Programms. setMode(ModusNameGanzzahl, GanzzahlFestlegen) schaltet den Modus ModusNameGanzzahl vorübergehend in GanzzahlFestlegen und gibt eine ganze Zahl entsprechend der ursprünglichen Einstellung dieses Modus zurück. Die Änderung ist auf die Dauer der Ausführung des Programms / der Funktion begrenzt. ModusNameGanzzahl gibt an, welchen Modus Sie einstellen möchten. Hierbei muss es sich um eine der Modus-Ganzzahlen aus der nachstehenden Tabelle handeln. GanzzahlFestlegen gibt die neue Einstellung für den Modus an. Für den Modus, den Sie festlegen, müssen Sie eine der in der nachstehenden Tabelle aufgeführten Einstellungs-Ganzzahlen verwenden. setMode(Liste) dient zum Ändern mehrerer Einstellungen. Liste enthält Paare von Modus- und Einstellungs-Ganzzahlen. setMode(Liste) gibt eine ähnliche Liste zurück, deren Ganzzahlen-Paare die ursprünglichen Modi und Einstellungen angeben. Wenn Sie alle Moduseinstellungen mit getMode(0) & var gespeichert haben, können Sie setMode(var) verwenden, um diese Einstellungen wiederherzustellen, bis die Funktion oder das Programm beendet wird. Siehe getMode(), hier. Hinweis: Die aktuellen Moduseinstellungen werden an aufgerufene Subroutinen weitergegeben. Wenn eine der Subroutinen eine Moduseinstellung ändert, geht diese Modusänderung verloren, wenn die Steuerung zur aufrufenden Routine zurückkehrt. Hinweis zum Eingeben des Beispiels: Anweisungen für die Eingabe von mehrzeiligen Programm- und Funktionsdefinitionen finden Sie im Abschnitt „Calculator“ des Produkthandbuchs. |
Zeigen Sie den Näherungswert von pan, indem Sie die Standardeinstellung für Zahlen anzeigen (Display Digits) verwenden, und zeigen Sie dann p mit einer Einstellung von Fix 2 an. Kontrollieren Sie, dass der Standardwert nach Beendigung des Programms wiederhergestellt wird.
|
|
Modus Name |
Modus Ganzzahl |
Einstellen von Ganzzahlen |
|
Angezeigte Ziffern |
1 |
1=Fließ, 2=Fließ 1, 3=Fließ 2, 4=Fließ 3, 5=Fließ 4, 6=Fließ 5, 7=Fließ 6, 8=Fließ 7, 9=Fließ 8, 10=Fließ 9, 11=Fließ 10, 12=Fließ 11, 13=Fließ 12, 14=Fix 0, 15=Fix 1, 16=Fix 2, 17=Fix 3, 18=Fix 4, 19=Fix 5, 20=Fix 6, 21=Fix 7, 22=Fix 8, 23=Fix 9, 24=Fix 10, 25=Fix 11, 26=Fix 12 |
|
Winkel |
2 |
1=Bogenmaß, 2=Grad, 3=Neugrad |
|
Exponentialformat |
3 |
1=Normal, 2=Wissenschaftlich, 3=Technisch |
|
Reell oder komplex |
4 |
1=Reell, 2=Kartesisch, 3=Polar |
|
Auto oder Approx. |
5 |
1=Auto, 2=Approximiert |
|
Vektorformat |
6 |
1=Kartesisch, 2=Zylindrisch, 3=Sphärisch |
|
Basis |
7 |
1=Dezimal, 2=Hex, 3=Binär |
|
Katalog > |
|
|
shift(Ganzzahl1[,#Verschiebungen])ÞGanzzahl Verschiebt die Bits in einer binären ganzen Zahl. Ganzzahl1 kann mit jeder Basis eingegeben werden und wird automatisch in eine 64-Bit-Dualform konvertiert. Ist der Absolutwert von Ganzzahl1 für diese Form zu groß, wird eine symmetrische Modulo-Operation ausgeführt, um sie in den erforderlichen Bereich zu bringen. Weitere Informationen finden Sie unter 4Base2, hier. Ist #Verschiebungen positiv, erfolgt die Verschiebung nach links. ist #Verschiebungen negativ, erfolgt die Verschiebung nach rechts. Vorgabe ist L1 (ein Bit nach rechts verschieben). In einer Rechtsverschiebung wird das ganz rechts stehende Bit abgeschnitten und als ganz links stehendes Bit eine 0 oder 1 eingesetzt. Bei einer Linksverschiebung wird das Bit ganz links abgeschnitten und 0 als letztes Bit rechts eingesetzt. Beispielsweise in einer Rechtsverschiebung: Alle Bits werden nach rechts verschoben. 0b0000000000000111101011000011010 Setzt 0 ein, wenn Bit ganz links 0 ist, und 1, wenn Bit ganz links 1 ist. Es ergibt sich: 0b00000000000000111101011000011010 Das Ergebnis wird gemäß dem jeweiligen Basis-Modus angezeigt. Führende Nullen werden nicht angezeigt. |
Im Bin-Modus:
Im Hex-Modus:
Wichtig: Geben Sie eine Dual- oder Hexadezimalzahl stets mit dem Präfix 0b bzw. 0h ein (Null, nicht der Buchstabe O). |
|
shift(Liste1 [,#Verschiebungen])ÞListe Gibt eine um #Verschiebungen Elemente nach rechts oder links verschobene Kopie von Liste1 zurück. Verändert Liste1 nicht. Ist #Verschiebungen positiv, erfolgt die Verschiebung nach links. ist #Verschiebungen negativ, erfolgt die Verschiebung nach rechts. Vorgabe ist L1 (ein Element nach rechts verschieben). Dadurch eingeführte neue Elemente am Anfang bzw. am Ende von Liste werden auf “undef” gesetzt. |
Im Dec-Modus:
|
|
shift(String1 [,#Verschiebungen])ÞString Gibt eine um #Verschiebungen Zeichen nach rechts oder links verschobene Kopie von Liste1 zurück. Verändert String1 nicht. Ist #Verschiebungen positiv, erfolgt die Verschiebung nach links. ist #Verschiebungen negativ, erfolgt die Verschiebung nach rechts. Vorgabe ist L1 (ein Zeichen nach rechts verschieben). Dadurch eingeführte neue Zeichen am Anfang bzw. am Ende von String werden auf ein Leerzeichen gesetzt. |
|
|
Katalog > |
|
|
sign(Wert1)ÞWert sign(Liste1)ÞListe sign(Matrix1)ÞMatrix Gibt für reelle und komplexe Wert1 Wert1 / abs(Wert1) zurück, wenn Wert1 ƒ 0. Gibt 1 zurück, wenn Wert1 positiv ist. Gibt L1 zurück, wenn Wert1 negativ ist. sign(0) gibt „1 zurück, wenn als Komplex-Formatmodus Reell eingestellt ist; anderenfalls gibt es sich selbst zurück. sign(0) stellt im komplexen Bereich den Einheitskreis dar. Gibt für jedes Element einer Liste bzw. Matrix das Vorzeichen zurück. |
Bei Komplex-Formatmodus Reell:
|
|
Katalog > |
|||||||
|
simult(KoeffMatrix, KonstVektor[, Tol])ÞMatrix Ergibt einen Spaltenvektor, der die Lösungen für ein lineares Gleichungssystem enthält. Hinweis: Siehe auch KoeffMatrix muss eine quadratische Matrix sein, die die Koeffizienten der Gleichung enthält. KonstVektor muss die gleiche Zeilenanzahl (gleiche Dimension) besitzen wie KoeffMatrix und die Konstanten enthalten. Sie haben die Option, dass jedes Matrixelement als Null behandelt wird, wenn dessen absoluter Wert geringer als Tol ist. Diese Toleranz wird nur dann verwendet, wenn die Matrix Fließkommaelemente aufweist und keinerlei symbolische Variablen ohne zugewiesene Werte enthält. Anderenfalls wird Tol ignoriert.
|
Auflösen nach x und y: x + 2y = 1 3x + 4y = L1
Die Lösung ist x=L3 und y=2.
Auflösen: ax + by = 1 cx + dy = 2
|
||||||
|
simult(KoeffMatrix, KonstMatrix[, Tol])ÞMatrix Löst mehrere lineare Gleichungssysteme, die alle dieselben Gleichungskoeffizienten, aber unterschiedliche Konstanten haben. Jede Spalte in KonstMatrix muss die Konstanten für ein Gleichungssystem enthalten. Jede Spalte in der sich ergebenden Matrix enthält die Lösung für das entsprechende System. |
Auflösen: x + 2y = 1 3x + 4y = L1
x + 2y = 2 3x + 4y = L3
Für das erste System ist x=L3 und y=2. Für das zweite System ist x=L7 und y=9/2. |
|
µ Taste |
|
|
sin(Wert1)ÞWert sin(Liste1)ÞListe
sin(Liste1) gibt eine Liste zurück, die für jedes Element von Liste1 den Sinus enthält. Hinweis: Das Argument wird entsprechend dem aktuellen Winkelmodus als Winkel in Grad, Neugrad oder Bogenmaß interpretiert. Sie können ¡,G oder R benutzen, um die Winkelmoduseinstellung temporär zu ändern. |
Im Grad-Modus:
Im Neugrad-Modus:
Im Bogenmaß-Modus:
|
|
sin(Quadratmatrix1)ÞQuadratmatrix Gibt den Matrix-Sinus von Quadratmatrix1 zurück. Dies ist nicht gleichbedeutend mit der Berechnung des Sinus jedes einzelnen Elements. Näheres zur Berechnungsmethode finden Sie im Abschnitt cos(). Quadratmatrix1 muss diagonalisierbar sein. Das Ergebnis enthält immer Fließkommazahlen. |
Im Bogenmaß-Modus:
|
|
µ Taste |
|
|
sin/(Wert1)ÞWert sin/(Liste1)ÞListe
sin/(Liste1) gibt in Form einer Liste für jedes Element aus Liste1 den inversen Sinus zurück. Hinweis: Das Ergebnis wird gemäß der aktuellen Winkelmoduseinstellung in Grad, in Neugrad oder im Bogenmaß zurückgegeben. Hinweis: Sie können diese Funktion über die Tastatur Ihres Computers eingeben, indem Sie arcsin(...) eintippen. |
Im Grad-Modus:
Im Neugrad-Modus:
Im Bogenmaß-Modus:
|
|
sin/(Quadratmatrix1)ÞQuadratmatrix Gibt den inversen Matrix-Sinus von Quadratmatrix1 zurück. Dies ist nicht gleichbedeutend mit der Berechnung des inversen Sinus jedes einzelnen Elements. Näheres zur Berechnungsmethode finden Sie im Abschnitt cos(). Quadratmatrix1 muss diagonalisierbar sein. Das Ergebnis enthält immer Fließkommazahlen. |
Im Winkelmodus Bogenmaß und Komplex-Formatmodus “kartesisch”:
|
|
Katalog > |
|
|
sinh(Wert1)ÞWert sinh(Liste1)ÞListe
sinh (Liste1) gibt in Form einer Liste für jedes Element aus Liste1 den Sinus hyperbolicus zurück. |
|
|
sinh(Quadratmatrix1)ÞQuadratmatrix Gibt den Matrix-Sinus hyperbolicus von Quadratmatrix1 zurück. Dies ist nicht gleichbedeutend mit der Berechnung des Sinus hyperbolicus jedes einzelnen Elements. Näheres zur Berechnungsmethode finden Sie im Abschnitt cos(). Quadratmatrix1 muss diagonalisierbar sein. Das Ergebnis enthält immer Fließkommazahlen. |
Im Bogenmaß-Modus:
|
|
Katalog > |
|
|
sinh/(Wert1)ÞWert sinh/(Liste1)ÞListe
sinh/(Liste1) gibt in Form einer Liste für jedes Element ausListe1 den inversen Sinus hyperbolicus zurück. Hinweis: Sie können diese Funktion über die Tastatur Ihres Computers eingeben, indem Sie arcsinh(...) eintippen. |
|
|
sinh/(Quadratmatrix1)ÞQuadratmatrix Gibt den inversen Matrix-Sinus hyperbolicus von Quadratmatrix1 zurück. Dies ist nicht gleichbedeutend mit der Berechnung des inversen Sinus hyperbolicus jedes einzelnen Elements. Näheres zur Berechnungsmethode finden Sie im Abschnitt cos(). Quadratmatrix1 muss diagonalisierbar sein. Das Ergebnis enthält immer Fließkommazahlen. |
Im Bogenmaß-Modus:
|
|
Katalog > |
|
|
SinReg X, Y [, [Iterationen],[ Periode] [, Kategorie, Mit] ] Berechnet die sinusförmige Regression auf Listen X und Y. Eine Zusammenfassung der Ergebnisse wird in der Variablen stat.results gespeichert. (hier.) Alle Listen außer Mit müssen die gleiche Dimension besitzen. X und Y sind Listen von unabhängigen und abhängigen Variablen. Iterationen ist ein Wert, der angibt, wie viele Lösungsversuche (1 bis 16) maximal unternommen werden. Bei Auslassung wird 8 verwendet. Größere Werte führen in der Regel zu höherer Genauigkeit, aber auch zu längeren Ausführungszeiten, und umgekehrt. Periode gibt eine geschätzte Periode an. Bei Auslassung sollten die Werte in X sequentiell angeordnet und die Differenzen zwischen ihnen gleich sein. Wenn Sie Periode jedoch angeben, können die Differenzen zwischen den einzelnen x-Werten ungleich sein. Kategorie ist eine Liste von Kategoriecodes Mit ist eine Liste von einem oder mehreren Kategoriecodes. Nur solche Datenelemente, deren Kategoriecode in dieser Liste enthalten ist, sind in der Berechnung enthalten. Die Ausgabe von SinReg erfolgt unabhängig von der Winkelmoduseinstellung immer im Bogenmaß (rad). Informationen zu den Auswirkungen leerer Elemente in einer Liste finden Sie unter “Leere (ungültige) Elemente” (hier). |
|
|
Ausgabevariable |
Beschreibung |
|
stat.RegEqn |
Regressionsgleichung: a·sin(bx+c)+d |
|
stat.a, stat.b, stat.c, stat.d |
Regressionskoeffizienten |
|
stat.Resid |
Residuen von der Regression |
|
stat.XReg |
Liste der Datenpunkte in der modifizierten X-Liste, die in der Regression mit den Beschränkungen für Häuf, Kategorieliste und Mit-Kategorien verwendet wurde |
|
stat.YReg |
Liste der Datenpunkte in der modifizierten Y-Liste, die schließlich in der Regression mit den Beschränkungen für Häuf, Kategorieliste und Mit-Kategorien verwendet wurde |
|
stat.FreqReg |
Liste der Häufigkeiten für stat.XReg und stat.YReg |
|
Katalog > |
|
|
SortA Liste1[, Liste2] [, Liste3] ... SortA Vektor1[, Vektor2] [, Vektor3] ... Sortiert die Elemente des ersten Arguments in aufsteigender Reihenfolge. Bei Angabe von mehr als einem Argument werden die Elemente der zusätzlichen Argumente so sortiert, dass ihre neue Position mit der neuen Position der Elemente des ersten Arguments übereinstimmt. Alle Argumente müssen Listen- oder Vektornamen sein. Alle Argumente müssen die gleiche Dimension besitzen. Leere (ungültige) Elemente im ersten Argument werden nach unten verschoben. Weitere Informationen zu leeren Elementen finden Sie (hier). |
|
|
Katalog > |
|
|
SortD Liste1[, Liste2] [, Liste3] ... SortD Vektor1[,Vektor2] [,Vektor3] ... Identisch mit SortA mit dem Unterschied, dass SortD die Elemente in absteigender Reihenfolge sortiert. Leere (ungültige) Elemente im ersten Argument werden nach unten verschoben. Weitere Informationen zu leeren Elementen finden Sie (hier). |
|
|
Katalog > |
|
|
Vektor 4Sphere Hinweis: Sie können diesen Operator über die Tastatur Ihres Computers eingeben, indem Sie @>Sphere eintippen. Zeigt den Zeilen- oder Spaltenvektor in Kugelkoordinaten [r ±q ±f] an. Vektor muss die Dimension 3 besitzen und kann ein Zeilen- oder ein Spaltenvektor sein. Hinweis: 4Sphere ist eine Anzeigeformatanweisung, keine Konvertierungsfunktion. Sie können sie nur am Ende einer Eingabezeile benutzen. |
Hinweis: Erzwingen eines Näherungsergebnisses, Handheld: Drücken Sie / ·.
|
|
Katalog > |
|
|
sqrt(Wert1)ÞWert sqrt(Liste1)ÞListe Gibt die Quadratwurzel des Arguments zurück. Bei einer Liste wird die Quadratwurzel für jedes Element von Liste1 zurückgegeben. Hinweis: Siehe auch Vorlage Quadratwurzel, hier. |
|
|
Katalog > |
|
|
stat.results Zeigt Ergebnisse einer statistischen Berechnung an. Die Ergebnisse werden als Satz von Namen-Wert-Paaren angezeigt. Die angezeigten Namen hängen von der zuletzt ausgewerteten Statistikfunktion oder dem letzten Befehl ab. Sie können einen Namen oder einen Wert kopieren und ihn an anderen Positionen einfügen.
Hinweis: Definieren Sie nach Möglichkeit keine Variablen, die dieselben Namen haben wie die für die statistische Analyse verwendeten Variablen. In einigen Fällen könnte ein Fehler auftreten. Namen von Variablen, die für die statistische Analyse verwendet werden, sind in der Tabelle unten aufgelistet. |
|
|
stat.a stat.AdjR² stat.b stat.b0 stat.b1 stat.b2 stat.b3 stat.b4 stat.b5 stat.b6 stat.b7 stat.b8 stat.b9 stat.b10 stat.bList stat.c² stat.c stat.CLower stat.CLowerList stat.CompList stat.CompMatrix stat.CookDist stat.CUpper stat.CUpperList stat.d |
stat.dfDenom stat.dfBlock stat.dfCol stat.dfError stat.dfInteract stat.dfReg stat.dfNumer stat.dfRow stat.DW stat.e stat.ExpMatrix stat.F stat.FBlock stat.Fcol stat.FInteract stat.FreqReg stat.Frow stat.Leverage stat.LowerPred stat.LowerVal stat.m stat.MaxX stat.MaxY stat.ME stat.MedianX |
stat.MedianY stat.MEPred stat.MinX stat.MinY stat.MS stat.MSBlock stat.MSCol stat.MSError stat.MSInteract stat.MSReg stat.MSRow stat.n Stat.Ç stat.Ç1 stat.Ç2 stat.ÇDiff stat.PList stat.PVal stat.PValBlock stat.PValCol stat.PValInteract stat.PValRow stat.Q1X stat.Q1Y |
stat.Q3X stat.Q3Y stat.r stat.r² stat.RegEqn stat.Resid stat.ResidTrans stat.sx stat.sy stat.sx1 stat.sx2 stat.Gx stat.Gx² stat.Gxy stat.Gy stat.Gy² stat.s stat.SE stat.SEList stat.SEPred stat.sResid stat.SEslope stat.sp stat.SS |
stat.SSBlock stat.SSCol stat.SSX stat.SSY stat.SSError stat.SSInteract stat.SSReg stat.SSRow stat.tList stat.UpperPred stat.UpperVal stat.v stat.v1 stat.v2 stat.vDiff stat.vList stat.XReg stat.XVal stat.XValList stat.w stat.y stat.yList stat.YReg |
|
Hinweis: Immer, wenn die Applikation 'Lists & Spreadsheet' statistische Ergebnisse berechnet, kopiert sie die Gruppenvariablen “stat.” in eine “stat#.”-Gruppe, wobei # eine automatisch inkrementierte Zahl ist. Damit können Sie vorherige Ergebnisse beibehalten, während mehrere Berechnungen ausgeführt werden. |
|
Katalog > |
|
|
stat.values Zeigt eine Matrix der Werte an, die für die zuletzt ausgewertete Statistikfunktion oder den letzten Befehl berechnet wurden. Im Gegensatz zu stat.results lässt stat.values die den Werten zugeordneten Namen aus. Sie können einen Wert kopieren und ihn an anderen Positionen einfügen. |
Siehe stat.results. |
|
Katalog > |
|
|
stDevPop(Liste[, Häufigkeitsliste])ÞAusdruck Ergibt die Populations-Standardabweichung der Elemente in Liste. Jedes Häufigkeitsliste-Element gewichtet die Elemente von Liste in der gegebenen Reihenfolge entsprechend. Hinweis: Liste muss mindestens zwei Elemente haben. Leere (ungültige) Elemente werden ignoriert. Weitere Informationen zu leeren Elementen finden Sie (hier). |
Im Bogenmaß- und automatischen Modus:
|
|
stDevPop(Matrix1[, Häufigkeitsmatrix])ÞMatrix Ergibt einen Zeilenvektor der Populations-Standardabweichungen der Spalten in Matrix1. Jedes Häufigkeitsmatrix-Element gewichtet die Elemente von Matrix1 in der gegebenen Reihenfolge entsprechend. Hinweis: Matrix1 muss mindestens zwei Zeilen haben. Leere (ungültige) Elemente werden ignoriert. Weitere Informationen zu leeren Elementen finden Sie (hier). |
|
|
Katalog > |
|
|
stDevSamp(Liste[, Häufigkeitsliste])ÞAusdruck Ergibt die Stichproben-Standardabweichung der Elemente in Liste. Jedes Häufigkeitsliste-Element gewichtet die Elemente von Liste in der gegebenen Reihenfolge entsprechend. Hinweis: Liste muss mindestens zwei Elemente haben. Leere (ungültige) Elemente werden ignoriert. Weitere Informationen zu leeren Elementen finden Sie (hier). |
|
|
stDevSamp(Matrix1[, Häufigkeitsmatrix])ÞMatrix Ergibt einen Zeilenvektor der Stichproben-Standardabweichungen der Spalten in Matrix1. Jedes Häufigkeitsmatrix-Element gewichtet die Elemente von Matrix1 in der gegebenen Reihenfolge entsprechend. Hinweis: Matrix1 muss mindestens zwei Zeilen haben. Leere (ungültige) Elemente werden ignoriert. Weitere Informationen zu leeren Elementen finden Sie (hier). |
|
|
Katalog > |
|
|
Stop Programmierbefehl: Beendet das Programm. Stop ist in Funktionen nicht zulässig. Hinweis zum Eingeben des Beispiels: Anweisungen für die Eingabe von mehrzeiligen Programm- und Funktionsdefinitionen finden Sie im Abschnitt „Calculator“ des Produkthandbuchs. |
|
|
Siehe & (speichern), hier. |
|
|
|
|
|
Katalog > |
|
|
string(Ausdr)ÞString Vereinfacht Ausdr und gibt das Ergebnis als Zeichenkette zurück. |
|
|
Katalog > |
|
|
subMat(Matrix1[, vonZei] [, vonSpl] [, bisZei] [, bisSpl]) ÞMatrix Gibt die angegebene Untermatrix von Matrix1 zurück. Vorgaben: vonZei=1, vonSpl=1, bisZei=letzte Zeile, bisSpl=letzte Spalte. |
|
|
Siehe G(), hier. |
|
|
|
|
|
Katalog > |
|
|
sum(Liste[, Start[, Ende]])ÞAusdruck Gibt die Summe der Elemente in Liste zurück. Start und Ende sind optional. Sie geben einen Elementebereich an. Ein ungültiges Argument erzeugt ein ungültiges Ergebnis. Leere (ungültige) Elemente in Liste werden ignoriert. Weitere Informationen zu leeren Elementen finden Sie (hier). |
|
|
sum(Matrix1[, Start[, Ende]])ÞMatrix Gibt einen Zeilenvektor zurück, der die Summen der Elemente aus den Spalten von Matrix1 enthält. Start und Ende sind optional. Sie geben einen Zeilenbereich an. Ein ungültiges Argument erzeugt ein ungültiges Ergebnis. Leere (ungültige) Elemente in Matrix1 werden ignoriert. Weitere Informationen zu leeren Elementen finden Sie (hier). |
|
|
Katalog > |
|||||||
|
sumIf(Liste,Kriterien[, SummeListe])ÞWert Gibt die kumulierte Summe aller Elemente in Liste zurück, die die angegebenen Kriterien erfüllen. Optional können Sie eine Alternativliste, SummeListe, angeben, an die die Elemente zum Kumulieren weitergegeben werden sollen. Liste kann ein Ausdruck, eine Liste oder eine Matrix sein. SummeListe muss, sofern sie verwendet wird, dieselben Dimension(en) haben wie Liste. Kriterien können sein:
Wenn ein Element in Liste die Kriterien erfüllt, wird das Element zur Kumulationssumme hinzugerechnet. Wenn Sie SummeListe hinzufügen, wird stattdessen das entsprechende Element aus SummeListe zur Summe hinzugerechnet. In der Lists & Spreadsheet Applikation können Sie anstelle von Liste und SummeListe auch einen Zellenbereich verwenden. Leere (ungültige) Elemente werden ignoriert. Weitere Informationen zu leeren Elementen finden Sie (hier). Hinweis: Siehe auch countIf(), hier. |
|
|
Siehe G(), hier. |
|
|
|
|
|
Katalog > |
|
|
system(Wert [, Wert2 [, Wert3 [, ...]]]) Gibt ein Gleichungssystem zurück, das als Liste formatiert ist. Sie können ein Gleichungssystem auch mit Hilfe einer Vorlage erstellen. |

aus.