G
|
Katalog > |
|
|
gcd(Zahl1, Zahl2)ÞAusdruck Gibt den größten gemeinsamen Teiler der beiden Argumente zurück. Der gcd zweier Brüche ist der gcd ihrer Zähler dividiert durch das kleinste gemeinsame Vielfache (lcm) ihrer Nenner. In den Modi Auto oder Approximiert ist der gcd von Fließkommabrüchen 1,0. |
|
|
gcd(Liste1, Liste2)ÞListe Gibt die größten gemeinsamen Teiler der einander entsprechenden Elemente von Liste1 und Liste2 zurück. |
|
|
gcd(Matrix1, Matrix2)ÞMatrix Gibt die größten gemeinsamen Teiler der einander entsprechenden Elemente von Matrix1 und Matrix2 zurück. |
|
|
Katalog > |
|
|
geomCdf(p,untereGrenze,obereGrenze)ÞZahl, wenn untereGrenze und obereGrenze Zahlen sind, Liste, wenn untereGrenze und obereGrenze Listen sind geomCdf(p,obereGrenze)für P(1{X{obereGrenze)ÞZahl, wenn obereGrenze eine Zahl ist, Liste, wenn obereGrenze eine Liste ist Berechnet die kumulative geometrische Wahrscheinlichkeit von UntereGrenze bis ObereGrenze mit der angegebenen Erfolgswahrscheinlichkeit p. Für P(X { obereGrenze) setzen Sie untereGrenze = 1. |
|
|
Katalog > |
|
|
geomPdf(p,XWert)ÞZahl, wenn XWert eine Zahl ist, Liste, wenn XWert eine Liste ist Berechnet die Wahrscheinlichkeit an einem XWert, die Anzahl der Einzelversuche, bis der erste Erfolg eingetreten ist, für die diskrete geometrische Verteilung mit der vorgegebenen Erfolgswahrscheinlichkeit p. |
|
|
Hub-Menü |
|||||||
|
Programmierbefehl: Ruft einen Wert von einem verbundenen TI-Innovator™ Hub ab und weist den Wert der Variablen var zu. Der Wert muss angefordert werden:
– oder –
Implizite Vereinfachung findet statt. Zum Beispiel wird eine empfangene Zeichenfolge „123“ als numerischer Wert interpretiert. Um die Zeichenfolge beizubehalten, verwenden Sie GetStr statt Get. |
Beispiel: Fordern Sie den aktuellen Wert des integrierten Lichtpegelsensors des Hub an. Verwenden Sie Get, um den Wert abzurufen, und weisen Sie ihn der Variablen lightval zu.
Betten Sie die Anforderung READ in den Befehl Get ein.
|
||||||
|
Wenn Sie das optionale Argument von statusVar einbeziehen, wird ihm ein Wert auf Basis des Erfolgs der Operation zugewiesen. Ein Wert von null bedeutet, dass keine Daten empfangen wurden. |
|
||||||
|
In der zweiten Synthax ermöglicht das Argument von Fkt() es einem Programm, die empfangene Zeichenfolge als Funktionsdefinition zu speichern. Diese Syntax verhält sich so, als hätte das Programm den folgenden Befehl ausgeführt: Definiere Fkt(arg1, ...argn) = empfanger String Anschließend kann das Programm die so definierte Funktion Fkt() nutzen. Hinweis: Sie können den Befehl Get in einem benutzerdefinierten Programm, aber nicht in einer Funktion verwenden. |
|
Katalog > |
|
|
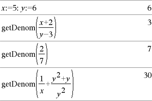
getDenom(Bruch1)ÞWert Transformiert das Argument in einen Ausdruck mit gekürztem gemeinsamem Nenner und gibt dann den Nenner zurück. |
|
|
Katalog > |
|||||||
|
getKey([01]) ⇒ returnString Beschreibung:getKey() – ermöglicht ein TI-Basic-Programm zum Holen von Tastatureingaben – Handheld, Desktop und Emulator auf Desktop. Beispiel:
|
Beispiel:
|
Handhabung von Tastenbetätigungen:
|
Handheld/Emulatortaste |
Desktop |
Rückgabewert |
|---|---|---|
|
Esc |
Esc |
„Esc“ |
|
Touchpad – Oben klicken |
– |
„nach oben“ |
|
Ein |
– |
„Hauptmenü“ |
|
|
|
|
|
Scratch Apps |
– |
„Scratchpad“ |
|
Touchpad – Linksklick |
– |
„links“ |
|
Touchpad – Mittig klicken |
– |
„Mittelpunkt“ |
|
Touchpad – Rechtsklick |
– |
„rechts“ |
|
Dok |
– |
„Dok“ |
|
|
|
|
|
Tab |
Tab |
„Tab“ |
|
Touchpad – Unten klicken |
Abwärtspfeil |
„nach unten“ |
|
Menü |
– |
„Menü“ |
|
|
|
|
|
Strg |
Strg |
keine Rückgabe |
|
Verschieben (Shift) |
Verschieben (Shift) |
keine Rückgabe |
|
Var |
– |
„var“ |
|
Entf |
– |
„del“ |
|
|
|
|
|
= |
= |
"=" |
|
Trigonometrie |
– |
„Trigonometrie“ |
|
0 bis 9 |
0-9 |
„0“ …“9“ |
|
Vorlagen |
– |
„Vorlage“ |
|
Katalog |
– |
„cat“ |
|
|
|
|
|
^ |
^ |
"^" |
|
X^2 |
– |
„Quadrat“ |
|
/ (Divisionstaste) |
/ |
"/" |
|
* (Multiplikationstaste) |
* |
"*" |
|
e^x |
– |
„Ausdr“ |
|
10^x |
– |
„10power“ |
|
+ |
+ |
"+" |
|
- |
- |
"-" |
|
|
|
|
|
( |
( |
"(" |
|
) |
) |
")" |
|
. |
. |
"." |
|
(-) |
– |
„-“ (Negativ-Zeichen) |
|
Eingabetaste |
Eingabetaste |
„Eingabe“ |
|
|
|
|
|
Osteuropa |
– |
„E“ Exponentialform (wissenschaftliche Schreibweise E) |
|
a – z |
a-z |
Alpha = Buchstabe gedrückt (Kleinschreibung) („a“ – „z“) |
|
Umschalt a-z |
Umschalt a-z |
Alpha = Buchstabe gedrückt „A“ – „Z“ |
|
|
|
Hinweis: Strg-Umschalt ergibt Feststelltaste |
|
?! |
– |
"?!" |
|
|
|
|
|
pi |
– |
„pi“ |
|
Flag |
– |
keine Rückgabe |
|
|
|
|
|
, |
, |
"," |
|
Return |
– |
„Rückgabe“ |
|
Leerzeichen |
Leerzeichen |
„ “ (Leerzeichen) |
|
|
|
|
|
Unzugänglich |
Tasten für Sonderzeichen wie @,!,^ etc. |
Das Zeichen wird zurückgegeben |
|
– |
Funktionstasten |
Kein zurückgegebenes Zeichen |
|
– |
Besondere Desktop-Bedientasten |
Kein zurückgegebenes Zeichen |
|
Unzugänglich |
Sonstige Desktop-Tasten, die nicht auf dem Calculator zur Verfügung stehen, während getKey() auf eine Tastenbetätigung wartet. ({, },;, :, …) |
Gleiches Zeichen wie in Notes (nicht in einem math. Feld) |
Hinweis: Es ist wichtig zu beachten, dass das Vorhandensein von getKey() in einem Programm die Art und Weise ändert, wie sicher Ereignisse durch das System gehandhabt werden. Einige davon werden unten beschrieben.
Programm beenden und Ereignis handhaben – Auf gleiche Art als sollte der Benutzer das Programm verlassen, indem er die EIN-Taste drückt
„Support“ unten bedeutet – System arbeitet wie erwartet – Programm läuft weiter.
|
Ereignis |
Handheld-Gerät |
Desktop – TI-Nspire™ Schülersoftware |
|---|---|---|
|
Schnellumfrage |
Programm beenden, Ereignis handhaben |
Entspricht dem Handheld (nur |
|
Verwaltung Remote-Datei
(Einschl. Versenden der Datei 'Press-to-Test verlassen' von einem anderen Handheld oder Desktop-Handheld) |
Programm beenden, Ereignis handhaben |
Entspricht dem Handheld. (nur |
|
Klasse beenden |
Programm beenden, Ereignis handhaben |
Support (nur |
|
Ereignis |
Handheld-Gerät |
Desktop – TI-Nspire™ Alle Versionen |
|
|
Support – Kann erfolgreich Befehle an den |
Entspricht dem Handheld |
|
Katalog > |
|
|
getLangInfo()ÞZeichenkette Gibt eine Zeichenkette zurück, die der Abkürzung der gegenwärtig aktiven Sprache entspricht. Sie können den Befehl zum Beispiel in einem Programm oder einer Funktion zum Bestimmen der aktuellen Sprache verwenden. Englisch = “en” Dänisch = “da” Deutsch = “de” Finnisch = “fi” Französisch = “fr” Italienisch = “it” Holländisch = “nl” Holländisch (Belgien) = “nl_BE” Norwegisch = “no” Portugiesisch = “pt” Spanisch = “es” Schwedisch = “sv” |
|
|
Katalog > |
|
|
Gibt den aktuellen Gesperrt/Entsperrt-Status der Variablen Var aus. Wert =0: Var ist nicht gesperrt oder ist nicht vorhanden. Wert =1: Var ist gesperrt und kann nicht geändert oder gelöscht werden. |
|
|
Katalog > |
|
|
getMode(ModusNameGanzzahl)ÞWert getMode(0)ÞListe getMode(ModusNameGanzzahl) gibt einen Wert zurück, der die aktuelle Einstellung des Modus ModusNameGanzzahl darstellt. getMode(0) gibt eine Liste mit Zahlenpaaren zurück. Jedes Paar enthält eine Modus-Ganzzahl und eine Einstellungs-Ganzzahl. Eine Auflistung der Modi und ihrer Einstellungen finden Sie in der nachstehenden Tabelle. Wenn Sie die Einstellungen mit getMode(0) & var speichern, können Sie setMode(var) in einer Funktion oder in einem Programm verwenden, um die Einstellungen nur innerhalb der Ausführung dieser Funktion bzw. dieses Programms vorübergehend wiederherzustellen. Siehe setMode(), hier. |
|
|
Modus Name |
Modus Ganzzahl |
Einstellen von Ganzzahlen |
|
Angezeigte Ziffern |
1 |
1=Fließ, 2=Fließ 1, 3=Fließ 2, 4=Fließ 3, 5=Fließ 4, 6=Fließ 5, 7=Fließ 6, 8=Fließ 7, 9=Fließ 8, 10=Fließ 9, 11=Fließ 10, 12=Fließ 11, 13=Fließ 12, 14=Fix 0, 15=Fix 1, 16=Fix 2, 17=Fix 3, 18=Fix 4, 19=Fix 5, 20=Fix 6, 21=Fix 7, 22=Fix 8, 23=Fix 9, 24=Fix 10, 25=Fix 11, 26=Fix 12 |
|
Winkel |
2 |
1=Bogenmaß, 2=Grad, 3=Neugrad |
|
Exponentialformat |
3 |
1=Normal, 2=Wissenschaftlich, 3=Technisch |
|
Reell oder komplex |
4 |
1=Reell, 2=Kartesisch, 3=Polar |
|
Auto oder Approx. |
5 |
1=Auto, 2=Approximiert |
|
Vektorformat |
6 |
1=Kartesisch, 2=Zylindrisch, 3=Sphärisch |
|
Basis |
7 |
1=Dezimal, 2=Hex, 3=Binär |
|
Katalog > |
|
|
getNum(Bruch1)ÞWert Transformiert das Argument in einen Ausdruck mit gekürztem gemeinsamem Nenner und gibt dann den Zähler zurück. |
|
|
Hub-Menü |
|
|
Programmierbefehl: Verhält sich genauso wie der Befehl Get, der abgerufene Wert wird aber immer als Zeichenfolge interpretiert. Der Befehl Get interpretiert die Antwort hingegen als Ausdruck, es sei denn, sie ist in Anführungszeichen ("") gesetzt. |
Zum Beispiel siehe Get. |
|
Katalog > |
|
|
Gibt eine Zeichenkette zurück, die den Datentyp einer Variablen var anzeigt. Wenn var nicht definiert ist, wird die Zeichenkette „NONE" zurückgegeben. |
|
|
Katalog > |
|
|
getVarInfo()ÞMatrix oder String getVarInfo(BiblioNameString)ÞMatrix oder String getVarInfo() gibt eine Informationsmatrix (Name, Typ, Erreichbarkeit einer Variablen in der Bibliothek und Gesperrt/Entsperrt-Status) für alle Variablen und Bibliotheksobjekte zurück, die im aktuellen Problem definiert sind. Wenn keine Variablen definiert sind, gibt getVarInfo() die Zeichenfolge "KEINE" (NONE) zurück. getVarInfo(BiblioNameString)gibt eine Matrix zurück, die Informationen zu allen Bibliotheksobjekten enthält, die in der Bibliothek BiblioNameString definiert sind. BiblioNameString muss eine Zeichenfolge (in Anführungszeichen eingeschlossener Text) oder eine Zeichenfolgenvariable sein. Wenn die Bibliothek BiblioNameString nicht existiert, wird ein Fehler angezeigt. |
|
|
Beachten Sie das Beispiel links, in dem das Ergebnis von getVarInfo() der Variablen vs zugewiesen wird. Beim Versuch, Zeile 2 oder Zeile 3 von vs anzuzeigen, wird der Fehler “Liste oder Matrix ungültig” zurückgegeben, weil mindestens eines der Elemente in diesen Zeilen (Variable b zum Beispiel) eine Matrix ergibt. Dieser Fehler kann auch auftreten, wenn Ans zum Neuberechnen eines getVarInfo()-Ergebnisses verwendet wird. Das System liefert den obigen Fehler, weil die aktuelle Version der Software keine verallgemeinerte Matrixstruktur unterstützt, bei der ein Element einer Matrix eine Matrix oder Liste sein kann. |
|
|
Katalog > |
|
|
Goto MarkeName Setzt die Programmausführung bei der Marke MarkeName fort. MarkeName muss im selben Programm mit der Anweisung Lbl definiert worden sein. Hinweis zum Eingeben des Beispiels: Anweisungen für die Eingabe von mehrzeiligen Programm- und Funktionsdefinitionen finden Sie im Abschnitt „Calculator“ des Produkthandbuchs. |
|
|
Katalog > |
|
|
Ausdr1 4GradÞAusdruck Wandelt Ausdr1 ins Winkelmaß Neugrad um. Hinweis: Sie können diesen Operator über die Tastatur Ihres Computers eingeben, indem Sie @>Grad eintippen. |
Im Grad-Modus:
Im Bogenmaß-Modus:
|
