Sonderzeichen
|
+Taste |
|
|
Gibt die Summe der beiden Argumente zurück. |
|
|
Liste1 + Liste2ÞListe Matrix1 + Matrix2ÞMatrix Gibt eine Liste (bzw. eine Matrix) zurück, die die Summen der entsprechenden Elemente von Liste1 und Liste2 (oder Matrix1 und Matrix2) enthält. Die Argumente müssen die gleiche Dimension besitzen. |
|
|
Liste1 + WertÞListe
|
|
|
Matrix1 + WertÞMatrix Gibt eine Matrix zurück, in der Wert zu jedem Element der Diagonalen von Matrix1 addiert ist. Matrix1 muss eine quadratische Matrix sein. Hinweis: Verwenden Sie .+ (Punkt Plus) zum Addieren eines Ausdrucks zu jedem Element. |
|
|
-Taste |
|
|
|
|
|
Liste1 N Liste2ÞListe Matrix1 N Matrix2ÞMatrix Subtrahiert die einzelnen Elemente aus Liste2 (oder Matrix2) von denen in Liste1 (oder Matrix1) und gibt die Ergebnisse zurück. Die Argumente müssen die gleiche Dimension besitzen. |
|
|
Liste1 N WertÞListe
|
|
|
Matrix1 N WertÞMatrix Wert N Matrix1 gibt eine Matrix zurück, die Wert multipliziert mit der Einheitsmatrix minus Matrix1 ist. Matrix1 muss eine quadratische Matrix sein. Matrix1 N Wert gibt eine Matrix zurück, die Wert multipliziert mit der Einheitsmatrix subtrahiert von Matrix1 ist. Matrix1 muss eine quadratische Matrix sein. Hinweis: Verwenden Sie .N (Punkt Minus) zum Subtrahieren eines Ausdrucks von jedem Element. |
|
|
rTaste |
|
|
Gibt das Produkt der beiden Argumente zurück. |
|
|
Liste1•Liste2ÞListe Gibt eine Liste zurück, die die Produkte der entsprechenden Elemente aus Liste1 und Liste2 enthält. Die Listen müssen die gleiche Dimension besitzen. |
|
|
Matrix1•Matrix2ÞMatrix Gibt das Matrizenprodukt von Matrix1 und Matrix2 zurück. Die Spaltenanzahl von Matrix1 muss gleich die Zeilenanzahl von Matrix2 sein. |
|
|
Liste1•WertÞListe
|
|
|
Matrix1•WertÞMatrix Gibt eine Matrix zurück, die die Produkte von Wert und jedem Element der Matrix1 enthält. Hinweis: Verwenden Sie .·(Punkt-Multiplikation) zum Multiplizieren eines Ausdrucks mit jedem Element. |
|
|
pTaste |
|
|
Gibt Wert1 dividiert durch Wert2 zurück. Hinweis: Siehe auch Vorlage Bruch, hier. |
|
|
Liste1 ⁄ Liste2ÞListe Gibt eine Liste der Elemente von Liste1 dividiert durch Liste2 zurück. Die Listen müssen die gleiche Dimension besitzen. |
|
|
Liste1 à Wert Þ Liste
|
|
|
Matrix1 à Wert Þ Matrix Gibt eine Matrix zurück, die die Quotienten Matrix1àWert enthält. Hinweis: Verwenden Sie . / (Punkt-Division) zum Dividieren eines Ausdrucks durch jedes Element. |
|
|
l Taste |
|
|
Liste1 ^ Liste2 Þ Liste Gibt das erste Argument hoch dem zweiten Argument zurück. Hinweis: Siehe auch Vorlage Exponent, hier. Bei einer Liste wird jedes Element aus Liste1 hoch dem entsprechenden Element aus Liste2 zurückgegeben. Im reellen Bereich benutzen Bruchpotenzen mit gekürztem ungeradem Nenner den reellen statt den Hauptzeig im komplexen Modus. |
|
|
|
|
|
|
|
|
Quadratmatrix1 ^ Ganzzahl Þ Matrix Gibt Quadratmatrix1 hoch Ganzzahl zurück. Quadratmatrix1 muss eine quadratische Matrix sein. Ist Ganzzahl = L1, wird die inverse Matrix berechnet. Ist Ganzzahl < L1, wird die inverse Matrix hoch der entsprechenden positiven Zahl berechnet. |
|
|
q Taste |
|
|
Gibt das Quadrat des Arguments zurück. Liste12 Þ Liste Gibt eine Liste zurück, die die Produkte der Elemente in Liste1 enthält. Quadratmatrix12 Þ Matrix Gibt das Matriz-Quadrat von Quadratmatrix1 zurück. Dies ist nicht gleichbedeutend mit der Berechnung des Quadrats jedes einzelnen Elements. Verwenden Sie .^2, um das Quadrat jedes einzelnen Elements zu berechnen. |
|
|
^+Tasten |
|
|
Matrix1 .+ Matrix2 Þ Matrix Matrix1 .+ Matrix2 gibt eine Matrix zurück, die Summe jedes Elementpaars von Matrix1 und Matrix2 ist.
|
|
|
^-Tasten |
|
|
Matrix1 .N Matrix2 Þ Matrix Matrix1 .NMatrix2 gibt eine Matrix zurück, die die Differenz jedes Elementpaars von Matrix1 und Matrix2 ist.
|
|
|
^rTasten |
|
|
Matrix1 .· Matrix2 Þ Matrix
Matrix1 .· Matrix2 gibt eine Matrix zurück, die das Produkt jedes Elementpaars von Matrix1 und Matrix2 ist.
|
|
|
^p Tasten |
|
|
Matrix1 . / Matrix2 Þ Matrix
Matrix1 . / Matrix2 gibt eine Matrix zurück, die der Quotient jedes Elementpaars von Matrix1 und Matrix2 ist.
|
|
|
^l Tasten |
|
|
Matrix1 .^ Matrix2 Þ Matrix
Matrix1 .^ Matrix2 gibt eine Matrix zurück, in der jedes Element aus Matrix2 Exponent des entsprechenden Elements aus Matrix1 ist.
|
|
|
v Taste |
|
|
L
LListe1 Þ Liste LMatrix1 Þ Matrix Gibt die Negation des Arguments zurück. Bei einer Liste oder Matrix werden alle Elemente negiert zurückgegeben. Ist das Argument eine binäre oder hexadezimale ganze Zahl, ergibt die Negation das Zweierkomplement. |
Im Bin-Modus:
Wichtig: Null, nicht Buchstabe O
Um das ganze Ergebnis zu sehen, drücken Sie 5 und verwenden dann 7 und 8, um den Cursor zu bewegen. |
|
/k Tasten |
|
|
Liste1 % Þ Liste Matrix1 % Þ Matrix Ergibt Bei einer Liste oder einer Matrix wird eine Liste/Matrix zurückgegeben, in der jedes Element durch 100 dividiert ist. |
Hinweis: Erzwingen eines Näherungsergebnisses, Handheld: Drücken Sie / ·.
|
|
= Taste |
|
|
Ausdr1 = Ausdr2ÞBoolescher Ausdruck Liste1 = Liste2Þ Boolesche Liste Matrix1 = Matrix2Þ Boolesche Matrix Gibt wahr zurück, wenn Ausdr1 bei Auswertung gleich Ausdr2 ist. Gibt falsch zurück, wenn Ausdr1 bei Auswertung ungleich Ausdr2 ist. In allen anderen Fällen wird eine vereinfachte Form der Gleichung zurückgegeben. Bei Listen und Matrizen werden die Ergebnisse des Vergleichs der einzelnen Elemente zurückgegeben. Hinweis zum Eingeben des Beispiels: Anweisungen für die Eingabe von mehrzeiligen Programm- und Funktionsdefinitionen finden Sie im Abschnitt „Calculator“ des Produkthandbuchs. |
Beispielfunktion mit den mathematischen Vergleichssymbolen: =, ƒ, <, {, >, |
Ergebnis der graphischen Darstellung g(x)
|
|
/= Tasten |
|
|
Ausdr1 ƒ Ausdr2 Þ Boolescher Ausdruck Liste1 ƒ Liste2 Þ Boolesche Liste Matrix1 ƒ Matrix2 Þ Boolesche Matrix Gibt wahr zurück, wenn Ausdr1 bei Auswertung ungleich Ausdr2 ist. Gibt falsch zurück, wenn Ausdr1 bei Auswertung gleich Ausdr2 ist. In allen anderen Fällen wird eine vereinfachte Form der Gleichung zurückgegeben. Bei Listen und Matrizen werden die Ergebnisse des Vergleichs der einzelnen Elemente zurückgegeben. Hinweis: Sie können diesen Operator über die Tastatur Ihres Computers eingeben, indem Sie /= eintippen |
Siehe Beispiel bei “=” (gleich). |
|
/= Tasten |
|
|
Ausdr1 < Ausdr2 Þ Boolescher Ausdruck Liste1 < Liste2 Þ Boolesche Liste Matrix1 < Matrix2 Þ Boolesche Matrix Gibt wahr zurück, wenn Ausdr1 bei Auswertung kleiner als Ausdr2 ist. Gibt falsch zurück, wenn Ausdr1 bei Auswertung größer oder gleich Ausdr2 ist. In allen anderen Fällen wird eine vereinfachte Form der Gleichung zurückgegeben. Bei Listen und Matrizen werden die Ergebnisse des Vergleichs der einzelnen Elemente zurückgegeben. |
Siehe Beispiel bei “=” (gleich). |
|
/= Tasten |
|
|
Ausdr1 { Ausdr2 Þ Boolescher Ausdruck Liste1 { Liste2 Þ Boolesche Liste Matrix1 { Matrix2 Þ Boolesche Matrix Gibt wahr zurück, wenn Ausdr1 bei Auswertung kleiner oder gleich Ausdr2 ist. Gibt falsch zurück, wenn Ausdr1 bei Auswertung größer als Ausdr2 ist. In allen anderen Fällen wird eine vereinfachte Form der Gleichung zurückgegeben. Bei Listen und Matrizen werden die Ergebnisse des Vergleichs der einzelnen Elemente zurückgegeben. Hinweis: Sie können diesen Operator über die Tastatur Ihres Computers eingeben, indem Sie das Tastenkürzel <= |
Siehe Beispiel bei “=” (gleich). |
|
/= Tasten |
|
|
Ausdr1 > Ausdr2 Þ Boolescher Ausdruck Liste1 > Liste2 Þ Boolesche Liste Matrix1 > Matrix2 Þ Boolesche Matrix Gibt wahr zurück, wenn Ausdr1 bei Auswertung größer als Ausdr2 ist. Gibt falsch zurück, wenn Ausdr1 bei Auswertung kleiner oder gleich Ausdr2 ist. In allen anderen Fällen wird eine vereinfachte Form der Gleichung zurückgegeben. Bei Listen und Matrizen werden die Ergebnisse des Vergleichs der einzelnen Elemente zurückgegeben. |
Siehe Beispiel bei “=” (gleich). |
|
/= Tasten |
|
|
Ausdr1 | Ausdr2 Þ Boolescher Ausdruck Liste1 | Liste2 Þ Boolesche Liste Matrix1 | Matrix2 Þ Boolesche Matrix Gibt wahr zurück, wenn Ausdr1 bei Auswertung größer oder gleich Ausdr2 ist. Gibt falsch zurück, wenn Ausdr1 bei Auswertung kleiner oder gleich Ausdr2 ist. In allen anderen Fällen wird eine vereinfachte Form der Gleichung zurückgegeben. Bei Listen und Matrizen werden die Ergebnisse des Vergleichs der einzelnen Elemente zurückgegeben. Hinweis: Sie können diesen Operator über die Tastatur Ihres Computers eingeben, indem Sie das Tastenkürzel >= |
Siehe Beispiel bei “=” (gleich). |
|
/= Tasten |
|
|
BoolescherAusd1 Þ BoolescherAusdr2 ergibt Boolescher Ausdruck BoolescheListe1 Þ BoolescheLiset2 ergibt Boolesche Liste BoolescheMatrix1 Þ BoolescheMatrix2 ergibt Boolesche Matrix Ganzzahl1 Þ Ganzzahl2 ergibt Ganzzahl
Wertet den Ausdruck Bei Listen und Matrizen werden die Ergebnisse des Vergleichs der einzelnen Elemente zurückgegeben Hinweis: Sie können diesen Operator über die Tastatur Ihres Computers eingeben, indem Sie das Tastenkürzel => |
|
|
/= Tasten |
|
|
BoolescherAusdr1 Û BoolescherAusdr2 ergibt Boolescher Ausdruck BoolescheListe1 Û BoolescheLiset2 ergibt Boolesche Liste BoolescheMatrix1 Û BoolescheMatrix2 ergibt Boolesche Matrix Ganzzahl1 Û Ganzzahl2 ergibt Ganzzahl
Gibt die Negation einer Bei Listen und Matrizen werden die Ergebnisse des Vergleichs der einzelnen Elemente zurückgegeben. Hinweis: Sie können diesen Operator über die Tastatur Ihres Computers eingeben, indem Sie <=> drücken |
|
|
º Taste |
|
|
Liste1! Þ Liste Matrix1! Þ Matrix Gibt die Fakultät des Arguments zurück. Bei Listen und Matrizen wird eine Liste/Matrix mit der Fakultät der einzelnen Elemente zurückgegeben. |
|
|
& |
/k Tasten |
|
String1 & String2 Þ String Gibt einen String zurück, der durch Anfügen von String2 an String1 gebildet wurde. |
|
|
Katalog > |
|
|
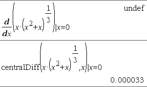
d(Ausdr1, Var[, Ordnung]) | Var=WertÞWert d(Ausdr1, Var[, Ordnung])ÞWert d(Liste1, Var[, Ordnung])ÞListe d(Matrix1, Var[, Ordnung])ÞMatrix Außer bei der ersten Syntax müssen Sie einen Zahlenwert in der Variablen Var speichern, bevor Sie d() auswerten. Siehe hierzu die Beispiele.
Ordnung (falls angegeben) muss 1 oder 2 sein. Die Vorgabe ist 1. Hinweis: Sie können diese Funktion über die Tastatur Ihres Computers eingeben, indem Sie
|
|
|
Hierzu rechts ein Beispiel. Die erste Ableitung von x·(x^2+x)^(1/3) bei x=0 ist gleich 0. Nun ist allerdings die erste Ableitung des Unterausdrucks (x^2+x)^(1/3) bei x=0 nicht definiert. Dieser Wert wird gleichzeitig jedoch verwendet, um die Ableitung des Gesamtausdrucks zu berechnen. Daher meldet d() das Ergebnis als nicht definiert und zeigt eine Warnmeldung an.
|
|
|
Katalog > |
|
|
‰(Ausdr1, Var, Untere, Obere) Þ Wert Gibt das Integral von Ausdr1 bezüglich der Variablen Var von Untere bis Obere zurück. Hiermit können Sie das bestimmte Integral numerisch berechnen. Hierzu wird dieselbe Methode wie bei nInt() verwendet. Hinweis: Sie können diese Funktion über die Tastatur Ihres Computers eingeben, indem Sie Integral(...) eintippen. Hinweis: Siehe auch nInt(), hier, und Vorlage Bestimmtes Integral, hier. |
|
|
/q Tasten |
|
|
‡
‡ (Liste1)ÞListe Gibt die Quadratwurzel des Arguments zurück. Bei einer Liste wird die Quadratwurzel für jedes Element von Liste1 zurückgegeben. Hinweis: Sie können diese Funktion über die Tastatur Ihres Computers eingeben, indem Sie sqrt(...) eintippen. Hinweis: Siehe auch Vorlage Quadratwurzel, hier. |
|
|
Katalog > |
|
|
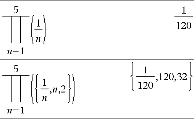
P(Ausdr1, Var, Von, Bis)ÞAusdruck Hinweis: Sie können diese Funktion über die Tastatur Ihres Computers eingeben, indem Sie prodSeq(...) eintippen. Wertet Ausdr1 für jeden Wert von Var zwischen Von und Bis aus und gibt das Produkt der Ergebnisse zurück. Hinweis: Siehe auch Vorlage Produkt (P), hier. |
|
|
P(Ausdr1, Var, Von, VonN1)Þ1 P(Ausdr1, Var, Von, Bis) Þ1/P(Ausdr1, Var, Bis+1, VonN1) if Bis < VonN1
Die verwendeten Produktformeln wurden ausgehend von der folgenden Quelle entwickelt: Ronald L. Graham, Donald E. Knuth, Oren Patashnik: Concrete Mathematics: A Foundation for Computer Science. Reading, Massachusetts: Addison-Wesley 1994. |
|
|
Katalog > |
|
|
G(Ausdr1, Var, Von, Bis)ÞAusdruck Hinweis: Sie können diese Funktion über die Tastatur Ihres Computers eingeben, indem Sie sumSeq(...) eintippen. Wertet Ausdr1 für jeden Wert von Var zwischen Von und Bis aus und gibt die Summe der Ergebnisse zurück. Hinweis: Siehe auch Vorlage Summe, hier. |
|
|
G(Ausdr1, Var, Von, VonN1)Þ0 G(Ausdr1, Var, Von, Bis) ÞLG(Ausdr1, Var, Bis+1, VonN1) if Bis < VonN1
Die verwendeten Summenformeln wurden ausgehend von der folgenden Quelle entwickelt: Ronald L. Graham, Donald E. Knuth, Oren Patashnik: Concrete Mathematics: A Foundation for Computer Science. Reading, Massachusetts: Addison-Wesley 1994. |
|
|
Katalog > |
||||||||||
|
GInt(NPmt1, NPmt2, N, I, PV,[Pmt], [FV], [PpY], [CpY], [PmtAt], [WertRunden])ÞWert GInt(NPmt1,NPmt2,AmortTabelle)ÞWert Amortisationsfunktion, die die Summe der Zinsen innerhalb eines angegebenen Zahlungsbereichs berechnet. NPmt1 und NPmt2 definieren Anfang und Ende des Zahlungsbereichs. N, I, PV, Pmt, FV, PpY, CpY und PmtAt werden in der TVM-Argumentetabelle (hier) beschrieben.
WertRunden legt die Anzahl der Dezimalstellen für das Runden fest. Standard=2. GInt(NPmt1,NPmt2,AmortTable) berechnet die Summe der Zinsen auf der Grundlage der Amortisationstabelle AmortTabelle. Das Argument AmortTabelle muss eine Matrix in der unter amortTbl(), hier, beschriebenen Form sein. Hinweis: Siehe auch GPrn() auf dieser und Bal(), hier. |
|
|
Katalog > |
||||||||||
|
GPrn(NPmt1, NPmt2, N, I, PV, [Pmt], [FV], [PpY], [CpY], [PmtAt], [WertRunden])ÞWert GPrn(NPmt1,NPmt2,AmortTabelle)ÞWert Amortisationsfunktion, die die Summe der Tilgungszahlungen innerhalb eines angegebenen Zahlungsbereichs berechnet. NPmt1 und NPmt2 definieren Anfang und Ende des Zahlungsbereichs. N, I, PV, Pmt, FV, PpY, CpY und PmtAt werden in der TVM-Argumentetabelle (hier) beschrieben.
WertRunden legt die Anzahl der Dezimalstellen für das Runden fest. Standard=2. GPrn(NPmt1,NPmt2,AmortTabelle) berechnet die Summe der gezahlten Tilgungsbeträge auf der Grundlage der Amortisationstabelle AmortTabelle. Das Argument AmortTabelle muss eine Matrix in der unter amortTbl(), hier, beschriebenen Form sein. Hinweis: Siehe auch GInt() auf dieser und Bal(), hier. |
|
|
/k Tasten |
|
|
# varNameString Greift auf die Variable namens VarNameString zu. So können Sie innerhalb einer Funktion Variablen unter Verwendung von Strings erzeugen. |
Erzeugt oder greift auf die Variable xyz zu.
Gibt den Wert der Variable (r) zurück, dessen Name in Variable s1 gespeichert ist. |
|
i Taste |
|
|
MantisseEExponent Gibt eine Zahl in wissenschaftlicher Schreibweise ein. Die Zahl wird als Mantisse × 10Exponent interpretiert. Tipp: Wenn Sie eine Potenz von 10 eingeben möchten, ohne ein Dezimalwertergebnis zu verursachen, verwenden Sie 10^Ganzzahl. Hinweis: Sie können diesen Operator über die Tastatur Ihres Computers eingeben, indem Sie @E eintippen. Tippen Sie zum Beispiel 2.3@E4 ein, um 2.3E4 einzugeben. |
|
|
1 Taste |
|
|
Ausdr1gÞAusdruck Ausdr1gÞAusdruck Liste1gÞListe Matrix1gÞMatrix Diese Funktion gibt Ihnen die Möglichkeit, im Grad- oder Bogenmaß-Modus einen Winkel in Neugrad anzugeben. Im Winkelmodus Bogenmaß wird Ausdr1 mit p/200 multipliziert. Im Winkelmodus Grad wird Ausdr1 mit g/100 multipliziert. Im Neugrad-Modus wird Ausdr1 unverändert zurückgegeben. Hinweis: Sie können dieses Sonderzeichen über die Tastatur Ihres Computers eingeben, indem Sie @g eintippen. |
Im Grad-, Neugrad- oder Bogenmaß-Modus:
|
|
1 Taste |
|
|
Liste1RÞListe Matrix1RÞMatrix Diese Funktion gibt Ihnen die Möglichkeit, im Grad- oder Neugrad-Modus einen Winkel im Bogenmaß anzugeben. Im Winkelmodus Grad wird das Argument mit 180/p multipliziert. Im Winkelmodus Bogenmaß wird das Argument unverändert zurückgegeben. Im Neugrad-Modus wird das Argument mit 200/p multipliziert. Tipp: Verwenden Sie R in einer Funktionsdefinition, wenn Sie bei Ausführung der Funktion das Bogenmaß frei von der Winkelmoduseinstellung erzwingen möchten. Hinweis: Sie können dieses Sonderzeichen über die Tastatur Ihres Computers eingeben, indem Sie @r eintippen. |
Im Winkelmodus Grad, Neugrad oder Bogenmaß:
|
|
1 Taste |
|
|
Liste1¡ÞListe Matrix1¡ÞMatrix Diese Funktion gibt Ihnen die Möglichkeit, im Neugrad- oder Bogenmaß-Modus einen Winkel in Grad anzugeben. Im Winkelmodus Bogenmaß wird das Argument mit p/180 multipliziert. Im Winkelmodus Grad wird das Argument unverändert zurückgegeben. Im Winkelmodus Neugrad wird das Argument mit 10/9 multipliziert. Hinweis: Sie können dieses Sonderzeichen über die Tastatur Ihres Computers eingeben, indem Sie @d eintippen. |
Im Winkelmodus Grad, Neugrad oder Bogenmaß:
Im Winkelmodus Bogenmaß: |
|
/k Tasten |
|||||||
|
dd¡mm'ss.ss''ÞAusdruck ddEine positive oder negative Zahl mmEine nicht negative Zahl ss.ssEine nicht negative Zahl Gibt dd+(mm/60)+(ss.ss/3600) zurück. Mit einer solchen Eingabe auf der 60er‑Basis können Sie:
Hinweis: Nach ss.ss werden zwei Apostrophe ('') gesetzt, kein Anführungszeichen ("). |
Im Grad-Modus:
|
|
/k Tasten |
|
|
[Radius,±q_Winkel]ÞVektor (Eingabe polar) [Radius,±q_Winkel,Z_Koordinate]ÞVektor (Eingabe zylindrisch) [Radius,±q_Winkel,±q_Winkel]ÞVektor (Eingabe sphärisch) Gibt Koordinaten als Vektor zurück, wobei die aktuelle Einstellung für Vektorformat gilt: kartesisch, zylindrisch oder sphärisch. Hinweis: Sie können dieses Sonderzeichen über die Tastatur Ihres Computers eingeben, indem Sie @< eintippen. |
Im Bogenmaß-Modus mit Vektorformat eingestellt auf: kartesisch
zylindrisch
sphärisch
|
|
(Größe ± Winkel)ÞkomplexerWert (Eingabe polar) Dient zur Eingabe eines komplexen Werts in polarer (r±q) Form. Der Winkel wird gemäß der aktuellen Winkelmoduseinstellung interpretiert. |
Im Winkelmodus Bogenmaß und Komplex-Formatmodus “kartesisch”:
|
|
Siehe “Leere (ungültige) Elemente” , hier. |
|
|
|
|
|
Katalog > |
|
|
10^(Wert1)ÞWert 10^(Liste1)ÞListe Gibt 10 hoch Argument zurück. Bei einer Liste wird 10 hoch jedem Element von Liste1 zurückgegeben. |
|
|
10^(Quadratmatrix1)ÞQuadratmatrix Ergibt 10 hoch Quadratmatrix1. Dies ist nicht gleichbedeutend mit der Berechnung von 10 hoch jedem Element. Näheres zur Berechnungsmethode finden Sie im Abschnitt cos(). Quadratmatrix1 muss diagonalisierbar sein. Das Ergebnis enthält immer Fließkommazahlen. |
|
|
Katalog > |
|
|
Liste1 ^/ÞListe Gibt den Kehrwert des Arguments zurück. Bei einer Liste wird für jedes Element von Liste1 der Kehrwert zurückgegeben. |
|
|
Quadratmatrix1 ^/ÞQuadratmatrix Gibt die Inverse von Qudratmatrix1 zurück. Quadratmatrix1 muss eine nicht-singuläre quadratische Matrix sein. |
|
|
/k Tasten |
||||||||||
|
Ausdr | BoolescherAusdr1 [ Ausdr | BoolescherAusdr1 [ Das womit-Symbol („|“) dient als binärer Operator. Der Operand links von | ist ein Ausdruck. Der Operand rechts von | gibt eine oder mehrere Relationen an, die auf die Vereinfachung des Ausdrucks einwirken sollen. Bei Angabe mehrerer Relationen nach dem | sind diese jeweils mit logischen „ Der womit-Operator erfüllt drei Grundaufgaben:
|
|
|||||||||
|
Ersetzungen werden in Form einer Gleichung angegeben, wie etwa x=3 oder y=sin(x). Am wirksamsten ist eine Ersetzung, wenn die linke eine einfache Variable ist. Ausdr | Variable = Wert bewirkt, dass jedes Mal, wenn Variable in Ausdr vorkommt, Wert ersetzt wird. |
|
|||||||||
|
Intervallbeschränkungen werden in Form einer oder mehrerer mit logischen „ |
|
|||||||||
|
Ausschließungen verwenden den relationalen Operator „ungleich“ (/= oder ƒ), um einen bestimmten Wert bei der Operation auszuschließen. |
|
/h Taste |
|
|
Liste & Var Matrix & Var Expr & Funktion(Param1,...) List & Funktion(Param1,...) Matrix & Funktion(Param1,...) Wenn Variable Var noch nicht existiert, wird Var erzeugt und auf Wert, Liste oder Matrix initialisiert. Wenn Var existiert und nicht gesperrt oder geschützt ist, wird der Variableninhalt durch Wert, Liste oder Matrix ersetzt. Hinweis: Sie können diesen Operator über die Tastatur Ihres Computers eingeben, indem Sie das Tastenkürzel =: eintippen. Geben Sie zum Beispiel pi/4 =: myvar ein. |
|
|
/t Tasten |
|
|
Var := Liste Var := Matrix Function(Param1,...) := Ausdr Function(Param1,...) := Liste Function(Param1,...) := Matrix Wenn Variable Var noch nicht existiert, wird Var erzeugt und auf Wert, Liste oder Matrix initialisiert. Wenn Var existiert und nicht gesperrt oder geschützt ist, wird der Variableninhalt durch Wert, Liste bzw. Matrix ersetzt. |
|
|
/k Tasten |
|
|
© [Text] © verarbeitet Text als Kommentarzeile und ermöglicht so die Eingabe von Anmerkungen zu von Ihnen erstellten Funktionen und Programmen. © kann an den Zeilenanfang oder an eine beliebige Stelle der Zeile gesetzt werden. Alles, was rechts von © bis zum Zeilenende steht, gilt als Kommentar. Hinweis zum Eingeben des Beispiels: Anweisungen für die Eingabe von mehrzeiligen Programm- und Funktionsdefinitionen finden Sie im Abschnitt „Calculator“ des Produkthandbuchs. |
|
|
0B Tasten, 0H Tasten |
|
|
0b binäre_Zahl 0h hexadezimale_Zahl Kennzeichnet eine Dual- bzw. Hexadezimalzahl. Zur Eingabe einer Dual- oder Hexadezimalzahl muss unabhängig vom jeweiligen Basis-Modus das Präfix 0b bzw. 0h verwendet werden. Eine Zahl ohne Präfix wird als dezimal behandelt (Basis 10). Die Ergebnisse werden im jeweiligen Basis-Modus angezeigt. |
Im Dec-Modus:
Im Bin-Modus:
Im Hex-Modus:
|

aus.
