Udtryksskabeloner
Udtryksskabeloner er en nem metode til at indsætte matematiske udtryk i matematisk standardnotation. Når du indsætter en skabelon, optræder den i indtastningslinjen med små blokke på positioner, hvor du kan indsætte elementer. En markør viser, hvilket element, du kan indsætte.
Anvend piletasten eller tryk på e for at flytte markøren til hvert elements position, og skriv en værdi eller et udtryk for hvert element. Tryk på · eller /· for at beregne udtrykket.
|
/p-taster |
|
|
|
Eksempel:
|
|
l-tast |
|
|
Bemærk: Skriv første værdi, tryk på l, og skriv derefter eksponenten. Tryk på højrepilen (¢) for at hente markøren tilbage til basislinjen. Bemærk: Se også ^ (potens), her. |
Eksempel:
|
|
/q-taster |
|
|
|
Eksempel:
|
|
/l-taster |
|
|
|
Eksempel:
|
|
u-taster |
|
|
Den naturlige eksponentialfunktion e opløftet til en potens Bemærk: Se også e^(), her. |
Eksempel:
|
|
/s-tasten |
|
|
Beregner logaritmen med et angivet grundtal. Ved 10-talslogaritmen, der er standard, udelades grundtallet. Bemærk: Se også log(), her. |
Eksempel:
|
|
Katalog > |
|
|
Gør det muligt at oprette udtryk og betingelser for en stykkevis funktion med to stykker.‑ Du kan tilføje et stykke ved at klikke på skabelonen og gentage skabelonen. Bemærk: Se også piecewise(), her. |
Eksempel:
|
|
Katalog > |
|
|
Gør det muligt at oprette udtryk og betingelser for en stykkevis funktion med N‑ stykker. Beder om N.
Bemærk: Se også piecewise(), her. |
Eksempel: Se eksemplet med stykkevis-skabelonen (2 stykker). |
|
Katalog > |
|
|
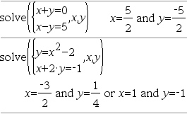
Opretter et ligningssystem med to Bemærk: Se også system(), her. |
Eksempel:
|
|
Katalog > |
|
|
Gør det muligt at oprette et system af N
Bemærk: Se også system(), her. |
Eksempel: Se eksemplet med ligningssystemskabelonen (2-ligninger). |
|
Katalog > |
|
|
|
Eksempel:
|
|
Katalog > |
|
|
Her kan du indtaste vinkler i gg°mm’ss.ss’’ format, hvor gg er antallet af decimalgrader, mm er antallet af minutter, og ss.ss antallet af sekunder. |
Eksempel:
|
|
Katalog > |
|
|
Opretter en matrix 2 x 2. |
Eksempel:
|
|
Katalog > |
|
|
|
Eksempel:
|
|
Katalog > |
|
|
|
Eksempel:
|
|
Katalog > |
|
|
Skabelonen vises, efter at du er blevet bedt om at angive antallet af rækker og kolonner.
Bemærk: Hvis du opretter en matrix med mange rækker og kolonner, kan det tage et øjeblik, før den kommer frem. |
Eksempel:
|
|
Katalog > |
|
|
Bemærk: Se også G() (sumSeq), her. |
Eksempel:
|
|
Katalog > |
|
|
Bemærk: Se også P() (prodSeq), her. |
Eksempel:
|
|
Katalog > |
|
|
Skabelonerne til differentialkvotienter af første orden kan anvendes til at beregne differentialkvotienten af første orden i et punkt numerisk med automatiske differentiationsmetoder. Bemærk: Se også d() (differentialkvotient), her. |
Eksempel:
|
|
Katalog > |
|
|
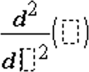
Skabelonerne til differentialkvotienter af anden orden kan anvendes til at beregne differentialkvotienten af første orden i et punkt numerisk med automatiske differentiationsmetoder. Bemærk: Se også d() (differentialkvotient), her. |
Eksempel:
|
|
Katalog > |
|
|
Skabelonen til bestemte integraler kan anvendes til at beregne den bestemte integral numerisk efter samme metode som nInt().
|
Eksempel:
|





.