S
|
µ-toets |
|
|
sec(Waarde1) Þ waarde sec(Lijst1) Þ lijst Geeft de secans van Waarde1 of geeft een lijst met de secansen van alle elementen in Lijst1. Opmerking: het argument wordt geïnterpreteerd als een hoek in graden, decimale graden of radialen volgens de huidige hoekmodus-instelling. U kunt ¡, G of Rgebruiken om de hoekmodus tijdelijk te onderdrukken. |
In de hoekmodus Graden:
|
|
µ-toets |
|
|
sec/(Waarde1) Þ waarde sec/(Lijst1) Þ lijst Geeft de hoek waarvan de secans Waarde1 is of geeft een lijst met de inverse secans van elk element in Lijst1. Opmerking: de uitkomst wordt in graden, decimale graden of radialen gegeven, volgens de ingestelde hoekmodus. Opmerking: u kunt deze operator vanaf het toetsenbord van de computer invoeren door arcsec(...) in te typen. |
In de hoekmodus Graden:
In de hoekmodus Decimale graden:
In de hoekmodus Radialen:
|
|
Catalogus > |
|
|
sech(Waarde1) Þ waarde sech(Lijst1) Þ lijst
|
|
|
Catalogus > |
|
|
sech/(Waarde1) Þ waarde sech/ (Lijst1) Þ lijst Geeft de inverse secans hyperbolicus van Waarde1 of geeft een lijst met de inverse secans hyperbolicus van elk element in Lijst1. Opmerking: u kunt deze operator vanaf het toetsenbord van de computer invoeren door arcsech(...) in te typen. |
In de hoekmodus Radialen en rechthoekige complexe opmaak:
|
|
Hub Menu |
|
|
Programmeeropdracht: Verzendt een of meer TI-Innovator™ Hub opdrachten naar een aangesloten hub. exprOrString moet een geldige TI-Innovator™ Hub opdracht zijn. Gewoonlijk bevat exprOrString een opdracht "SET ..." om een apparaat te besturen of een opdracht "READ ..." om gegevens op te vragen. De argumenten worden na elkaar naar de hub verzonden. Opmerking: U kunt de opdracht Send gebruiken binnen een door de gebruiker gedefinieerd programma, maar niet binnen een functie. Opmerking: Zie ook Get (hier), GetStr (hier), en eval() (hier). |
Voorbeeld: Zet het blauwe element van de ingebouwde RGB LED 0,5 seconden aan.
Voorbeeld: Vraag de huidige waarde van de ingebouwde lichtniveau- sensor van de hub op. Een opdracht Get haalt de waarde op en wijst deze toe aan de variabele lichtniveau.
Voorbeeld: Stuur een berekende frequentie naar de ingebouwde luidspreker van de hub. Gebruik de speciale variabele iostr.SendAns om de hubopdracht met de uitgewerkte uitdrukkun te tonen.
|
|
Catalogus > |
|
|
seq(Uitdr, Var, Laag, Hoog[, Stap])Þlijst Verhoogt Var van Laag naar Hoog met een stapgrootte van Stap, werkt Uitdr uit en geeft de resultaten terug in een lijst. De oorspronkelijke inhoud van Var is er nog steeds nadat De standaardwaarde voor Stap = 1. |
Opmerking: Om een decimale benaderende uitkomst te forceren, Rekenmachine: Druk op / ·.
|
|
Catalogus > |
|
|
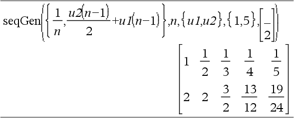
Genereert een lijst met termen voor de rij afhVar(Var)=Uitdr, als volgt: Verhoogt de onafhankelijke variabele Var van Var0 naar VarMax met VarStap, werkt afhVar(Var) uit voor overeenkomstige waarden van Var met behulp van de formule Uitdr en de LijstVanBeginTermen, en geeft de resultaten terug in een lijst.
Genereert een matrix van termen voor een stelsel (of lijst) van rijen LijstVanAfhVars(Var)=LijstOfStelselVanUitdr, als volgt: Verhoogt de onafhankelijke variabele Var van Var0 naar VarMax met VarStap, werkt LijstVanAfhVars(Var) uit voor overeenkomstige waarden van Var met behulp van de formule LijstOfStelselUitdr en de MatrixVanBeginTermen, en geeft de resultaten terug in een lijst. De oorspronkelijke inhoud van Var is ongewijzigd nadat De standaardwaarde voor VarStap = 1. |
Genereer de eerste 5 termen van de rij u(n) = u(n-1)2/2, waarbij u(1)=2 en VarStap=1.
Voorbeeld waarin Var0=2:
Stelsel van twee rijen:
Opmerking: De lege plaats (_) in de begintermenmatrix hierboven wordt gebruikt om aan te geven dat de beginterm voor u1(n) wordt berekend met behulp van de expliciete rijformule u1(n)=1/n. |
|
Catalogus > |
|
|
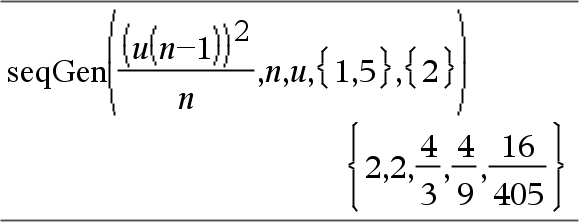
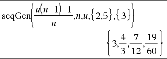
Genereert een lijst met termen voor een rij u(n)=Uitdr(u, n), als volgt: Verhoogt n van 1 tot nMax met 1, werkt u(n) uit voor overeenkomstige waarde van n met behulp van de formule Uitdr(u, n) en de LijstVanBeginTermen en geeft de resultaten terug in een lijst.
Genereert een lijst met termen voor een niet-recursieve rij u(n)=Uitdr(n) , als volgt: Verhoogt n van 1 tot nMax met 1, werkt u(n) uit voor overeenkomstige waarden van n met behulp van de formule Uitdr(n) en geeft de resultaten terug in een lijst. Als nMax ontbreekt, dan wordt nMax ingesteld op 2500 Als nMax=0, dan wordt nMax ingesteld op 2500 Opmerking: |
Genereer de eerste 6 termen van de rij u(n) = u(n-1)2/2, waarbij u(1)=2.
|
|
Catalogus > |
|
|
setMode(modeNaamGeheel getal, instellingGeheel getal) Þgeheel getal setMode(lijst) Þlijst met gehele getallen Alleen geldig binnen een functie of programma. setMode(modeNaamGeheel getal, instellingGeheel getal) stelt de modus modeNaamGeheel getal tijdelijk in op de nieuwe instelling instellingGeheel getal, een geeft een geheel getal dat correspondeert met de oorspronkelijke instelling van die modus. De verandering is beperkt tot de duur van de uitvoering van het programma/de functie. modeNaamGeheel getal specificeert welke modus u wilt instellen. Dit moet één van de gehele getallen voor modi in onderstaande tabel zijn. instellingGeheel getal specificeert de nieuwe instelling voor de modus. Dit moet één van de gehele getallen voor instellingen in onderstaande tabel zijn, voor de specifieke modus die u instelt. setMode(lijst) stelt u in staat meerdere instellingen te veranderen. lijst bevat paren van gehele getallen voor modi en instellingen. setMode(lijst) geeft een vergelijkbare lijst waarvan de paren gehele getallen de oorspronkelijke modi en instellingen representeren. Als u alle modusinstellingen hebt opgeslagen met getMode(0) & var, dan kunt u setMode(var) gebruiken om die instellingen te herstellen tot de functie of het programma wordt afgesloten. Zie getMode(), hier. Opmerking: de huidige modusinstellingen worden doorgegeven aan opgeroepen subroutines. Als een subroutine een modusinstelling verandert, dan gaat de modusverandering verloren als de besturing terugkeert naar de oproeproutine. Opmerking bij het invoeren van het voorbeeld: Instructies over het invoeren van programma's met meerdere regels en functiedefinities vindt u in het hoofdstuk Rekenmachine van de handleiding van uw product. |
Geef de benaderde waarde van p weer met behulp van de standaardinstelling voor Cijfers weergeven, en geef p vervolgens weer met een instelling van Vast2. Controleer om te zien of de standaardinstelling hersteld wordt nadat het programma is uitgevoerd.
|
|
Modus-naam |
Modus nummer |
Instellingsnummers |
|
Cijfers weergeven |
1 |
1=Drijvend, 2=Drijvend1, 3=Drijvend2, 4=Drijvend3, 5=Drijvend4, 6=Drijvend5, 7=Drijvend6, 8=Drijvend7, 9=Drijvend8, 10=Drijvend9, 11=Drijvend10, 12=Drijvend11, 13=Drijvend12, 14=Vast0, 15=Vast1, 16=Vast2, 17=Vast3, 18=Vast4, 19=Vast5, 20=Vast6, 21=Vast7, 22=Vast8, 23=Vast9, 24=Vast10, 25=Vast11, 26=Vast12 |
|
Hoek |
2 |
1=Radialen, 2=Graden, 3=Decimale graden |
|
Exponentiële opmaak |
3 |
1=Normaal, 2=Wetenschappelijk, 3=Ingenieursnotatie |
|
Reëel of complex |
4 |
1=Reëel, 2=Rechthoekig, 3=Polair |
|
Automatisch of benaderend |
5 |
1=Automatisch, 2=Benaderend |
|
Vectoropmaak |
6 |
1=Rechthoekig, 2=Cilindrisch, 3=Bolvormig |
|
Grondtal |
7 |
1=Decimaal, 2=Hexadecimaal, 3=Binair |
|
Catalogus > |
|
|
shift(Geheel getal1[,#Verschuivingen])Þgeheel getal Verschuift de bits in een binair geheel getal. U kunt Geheel getal1 in elk grondtal invoeren; het wordt automatisch geconverteerd naar een 64-bits binaire vorm met een teken. Als de grootte van Geheel getal1 te groot is voor deze vorm, dan wordt een symmetrische modulo-bewerking gebruikt om het binnen het bereik te brengen. Zie voor meer informatie 4Base2, hier. Als #Verschuivingen positief is, dan is de verschuiving naar links. Als #Verschuivingen negatief is, dan is de verschuiving naar rechts. De standaardinstelling is L1 (één bit naar rechts verschuiven). In een verschuiving naar rechts vervalt de meest rechtse bit en wordt 0 of 1 ingevoegd om overeen te komen met de meest linkse bit. In een verschuiving naar links vervalt de meest linkse bit en wordt 0 ingevoegd als de meest rechtse bit. Bijvoorbeeld in een verschuiving naar rechts: Elke bit schuift naar rechts. 0b0000000000000111101011000011010 Voegt 0 in als de meest linkse bit 0 is, of 1 als de meest linkse bit 1 is. Dit levert op: 0b0000000000000011110101100001101-0 Het resultaat wordt weergegeven volgens de grondtal-modus. Nullen aan het begin worden niet weergegeven. |
In de Bin-grondtalmodus:
In de Hex-grondtalmodus:
Belangrijk: om een binair of hexadecimaal getal in te voeren moet u altijd het prefix 0b of 0h gebruiken (nul, niet de letter O). |
|
shift(Lijst1 [,#Verschuivingen])Þlijst Geeft een kopie van Lijst1 die met #Verschuivingen elementen naar rechts of links is verschoven. Verandert Lijst1 niet. Als #Verschuivingen positief is, dan is de verschuiving naar links. Als #Verschuivingen negatief is, dan is de verschuiving naar rechts. De standaardinstelling is L1 (één element naar rechts verschuiven). Elementen die aan het begin of eind van lijst ingevoegd worden door de verschuiving, worden ingesteld op het symbool “undef”. |
In de Dec-grondtalmodus:
|
|
shift(String1 [,#Verschuivingen])Þstring Geeft een kopie van String1 die met #Verschuivingen tekens naar rechts of links is verschoven. Verandert String1 niet. Als #Verschuivingen positief is, dan is de verschuiving naar links. Als #Verschuivingen negatief is, dan is de verschuiving naar rechts. De standaardinstelling is L1 (één teken naar rechts verschuiven). Tekens die aan het begin of eind van string ingevoegd worden door de verschuiving, worden ingesteld op een spatie. |
|
|
Catalogus > |
|
|
sign(Waarde1)Þwaarde sign(Lijst1)Þlijst sign(Matrix1)Þmatrix Geeft, bij reële en complexe Waarde1, Waarde1 / abs(Waarde1) wanneer Waarde1ƒ 0. Geeft 1 als Waarde1 positief is. Geeft L1 als Waarde1 negatief is. sign(0) geeft „1 als de complexe opmaak-modus Reëel is; anders geeft hij zichzelf. sign(0) representeert de eenheidscirkel in het complexe vlak. Geeft bij een lijst of matrix de tekens van alle elementen. |
Als de complexe opmaak-modus Reëel is:
|
|
Catalogus > |
|||||||
|
simult(coëffMatrix, constVector[, Tol])Þmatrix Geeft een kolomvector die de oplossingen voor een stelsel lineaire vergelijkingen bevat. Opmerking: zie ook coëffMatrix moet een vierkante matrix zijn die de coëfficiënten van de vergelijkingen bevat. constVector moet hetzelfde aantal rijen (dezelfde afmeting) als coëffMatrix hebben en de constanten bevatten. Optioneel wordt elk matrixelement behandeld als nul als de absolute waarde ervan minder dan Tol is. Deze tolerantie wordt alleen gebruikt als de matrix gegevens met een drijvende komma heeft, en geen symbolische variabelen bevat die geen waarde toegekend hebben gekregen. Anders wordt Tol genegeerd.
|
Los op naar x en y: x + 2y = 1 3x + 4y = L1
De oplossing is x=L3 en y=2.
Los op: ax + by = 1 cx + dy = 2
|
||||||
|
simult(coëffMatrix, constMatrix[, Tol])Þmatrix Lost meerdere stelsels lineaire vergelijkingen op, waarbij elk stelsel dezelfde vergelijkingscoëfficiënten, maar verschillende constanten heeft. Elke kolom in constMatrix moet de constanten voor een stelsel vergelijkingen bevatten. Elke kolom in de resulterende matrix bevat de oplossing voor het corresponderende stelsel. |
Los op: x + 2y = 1 3x + 4y = L1
x + 2y = 2 3x + 4y = L3
Voor het eerste stelsel: x=L3 en y=2. Voor het tweede stelsel: x=L7 en y=9/2. |
|
µ-toets |
|
|
sin(Waarde1)Þwaarde sin(Lijst1)Þlijst
sin(Lijst1) geeft een lijst van de sinussen van alle elementen in Lijst1. Opmerking: het argument wordt geïnterpreteerd als een hoek in graden, in decimale graden of in radialen, volgens de ingestelde hoekmodus. U kunt ¡,G of R gebruiken om de hoekmodusinstelling tijdelijk te onderdrukken. |
In de hoekmodus Graden:
In de hoekmodus Decimale graden:
In de hoekmodus Radialen:
|
|
sin(vierkanteMatrix1)ÞvierkanteMatrix Geeft de matrixsinus van vierkanteMatrix1. Dit is niet hetzelfde als het berekenen van de sinus van elk element. Zie voor informatie over de berekeningsmethode cos(). vierkanteMatrix1 moet diagonaliseerbaar zijn. Het resultaat bevat altijd getallen met een drijvende komma. |
In de hoekmodus Radialen:
|
|
µ-toets |
|
|
sin/(Waarde1)Þwaarde sin/(Lijst1)Þlijst
sin/(Lijst1) geeft een lijst van de inverse sinussen van elk element in Lijst1. Opmerking: de uitkomst wordt in graden, decimale graden of radialen gegeven, volgens de ingestelde hoekmodus. Opmerking: u kunt deze operator vanaf het toetsenbord van de computer invoeren door arcsin(...) in te typen. |
In de hoekmodus Graden:
In de hoekmodus Decimale graden:
In de hoekmodus Radialen:
|
|
sin/(vierkanteMatrix1)ÞvierkanteMatrix Geeft de inverse matrixsinus van vierkanteMatrix1. Dit is niet hetzelfde als het berekenen van de inverse sinus van elk element. Zie voor informatie over de berekeningsmethode cos(). vierkanteMatrix1 moet diagonaliseerbaar zijn. Het resultaat bevat altijd getallen met een drijvende komma. |
In de hoekmodus Radialen en rechthoekige complexe opmaak-modus:
|
|
Catalogus > |
|
|
sinh(Getal1)Þwaarde sinh(Lijst1)Þlijst
sinh (Lijst1) geeft een lijst met de sinus hyperbolicus van elk element in Lijst1. |
|
|
sinh(vierkanteMatrix1)ÞvierkanteMatrix Geeft de matrixsinus hyperbolicus van vierkanteMatrix1. Dit is niet hetzelfde als het berekenen van de sinus hyperbolicus van elk element. Zie voor informatie over de berekeningsmethode cos(). vierkanteMatrix1 moet diagonaliseerbaar zijn. Het resultaat bevat altijd getallen met een drijvende komma. |
In de hoekmodus Radialen:
|
|
Catalogus > |
|
|
sinh/(Waarde1)Þwaarde sinh/(Lijst1)Þlijst
sinh/(Lijst1) geeft een lijst met de inverse sinus hyperbolicus van elk element in Lijst1. Opmerking: u kunt deze operator vanaf het toetsenbord van de computer invoeren door arcsinh(...) in te typen. |
|
|
sinh/(vierkanteMatrix1)ÞvierkanteMatrix Geeft de inverse matrixsinus hyperbolicus van vierkanteMatrix1. Dit is niet hetzelfde als het berekenen van de inverse sinus hyperbolicus van elk element. Zie voor informatie over de berekeningsmethode cos(). vierkanteMatrix1 moet diagonaliseerbaar zijn. Het resultaat bevat altijd getallen met een drijvende komma. |
In de hoekmodus Radialen:
|
|
Catalogus > |
|
|
SinReg X, Y [, [Iteraties], [ Periode] [, Categorie, Opnemen] ] Berekent de sinusoïde regressie op de lijsten X en Y. Een samenvatting van de resultaten wordt opgeslagen in de variabele stat.resultaten (hier). Alle lijsten moeten gelijke afmetingen hebben, behalve Opnemen. X en Y zijn lijsten met onafhankelijke en afhankelijke variabelen. Iteraties is een waarde die het maximaal aantal keer (1 tot en met 16) specificeert dat een oplossing wordt geprobeerd. Als dit wordt weggelaten, wordt 8 gebruikt. Doorgaans leiden grotere waarden tot een hogere nauwkeurigheid maar een langere berekeningstijd, en andersom. Periode specificeert een geschatte periode. Als deze wordt weggelaten, dan moet het verschil tussen waarden in X gelijk zijn en in volgorde. Als u Periode specificeert, kunnen de verschillen tussen x-waarden ongelijk zijn. Categorie is een lijst met Opnemen is een lijst met één of meer van de categoriecodes. Alleen de gegevens waarvan de categoriecode is opgenomen in deze lijst worden opgenomen in de berekening. De uitvoer van SinReg is altijd in radialen, ongeacht de instelling van de hoekmodus. Zie voor informatie over het effect van lege elementen in een lijst “Lege elementen” (hier). |
|
|
Uitvoervariabele |
Beschrijving |
|
stat.RegEqn |
Regressievergelijking: a·sin(bx+c)+d |
|
stat.a, stat.b, stat.c, stat.d |
Regressiecoëfficiënten |
|
stat.Resid |
Residuen uit de regressie |
|
stat.XReg |
Lijst van de gegevens in de gemodificeerde XLijst die feitelijk gebruikt worden in de regressie op basis van beperkingen van Freq, Categorielijst en Categorieën opnemen |
|
stat.YReg |
Lijst van gegevens in de gemodificeerde YLijst die feitelijk gebruikt worden in de regressie op basis van beperkingen van Freq, Categorielijst en Categorieën opnemen |
|
stat.FreqReg |
Lijst van frequenties die corresponderen met stat.XReg en stat.YReg |
|
Catalogus > |
|
|
SortA Lijst1[, Lijst2] [, Lijst3] ... SortA Vector1[, Vector2] [, Vector3] ... Sorteert de elementen van het eerste argument in oplopende volgorde. Als u extra argumenten opneemt, dan worden de elementen van elk daarvan gesorteerd, zodat de nieuwe posities overeenkomen met de nieuwe posities van de elementen in het eerste argument. Alle argumenten moeten namen van lijsten of vectoren zijn. Alle argumenten moeten gelijke afmetingen hebben. Lege elementen binnen het eerste argument worden onderaan geplaatst. Voor meer informatie over lege elementen, zie hier. |
|
|
Catalogus > |
|
|
SortD Lijst1[, Lijst2] [, Lijst3] ... SortD Vector1[,Vector2] [,Vector3] ... Identiek aan SortA, behalve dat SortD de elementen in aflopende volgorde sorteert. Lege elementen binnen het eerste argument worden onderaan geplaatst. Voor meer informatie over lege elementen, zie hier. |
|
|
Catalogus > |
|
|
Vector 4Sphere Opmerking: u kunt deze operator vanaf het toetsenbord van de computer invoeren door @>Sphere in te typen. Geeft de rij- of de kolomvector in bolvorm weer [r ±q ±f]. Vector moet de afmeting 3 hebben en kan een rij- of een kolomvector zijn. Opmerking: 4Sphere is een weergave-opmaakinstructie, geen conversiefunctie. U kunt dit commando alleen op het eind van een invoerregel gebruiken. |
|
|
Catalogus > |
|
|
sqrt(Waarde1)Þwaarde sqrt(Lijst1)Þlijst Geeft de wortel van het argument. Geeft bij een lijst de wortel van alle elementen in Lijst1. Opmerking: zie ook Wortel-template, hier. |
|
|
Catalogus > |
|
|
stat.results Geeft resultaten van een statistische berekening weer. De resultaten worden weergegeven als een serie naam-waarde-paren. De weergegeven specifieke namen zijn afhankelijk van de meest recent uitgewerkte statistiekfunctie of -commando. U kunt een naam of waarde kopiëren en hem in andere locaties plakken.
Opmerking: vermijd het om variabelen te definiëren die dezelfde namen hebben als de variabelen die gebruikt worden bij statistische analyse. In bepaalde gevallen zou er dan een fout kunnen optreden. Variabelenamen die gebruikt worden voor statistische analyse staan in onderstaande tabel vermeld. |
|
|
stat.a stat.AdjR² stat.b stat.b0 stat.b1 stat.b2 stat.b3 stat.b4 stat.b5 stat.b6 stat.b7 stat.b8 stat.b9 stat.b10 stat.bList stat.c² stat.c stat.CLower stat.CLowerList stat.CompList stat.CompMatrix stat.CookDist stat.CUpper stat.CUpperList stat.d |
stat.dfDenom stat.dfBlock stat.dfCol stat.dfError stat.dfInteract stat.dfReg stat.dfNumer stat.dfRow stat.DW stat.e stat.ExpMatrix stat.F stat.FBlock stat.Fcol stat.FInteract stat.FreqReg stat.Frow stat.Leverage stat.LowerPred stat.LowerVal stat.m stat.MaxX stat.MaxY stat.ME stat.MedianX |
stat.MedianY stat.MEPred stat.MinX stat.MinY stat.MS stat.MSBlock stat.MSCol stat.MSError stat.MSInteract stat.MSReg stat.MSRow stat.n stat.Ç stat.Ç1 stat.Ç2 stat.ÇDiff stat.PList stat.PVal stat.PValBlock stat.PValCol stat.PValInteract stat.PValRow stat.Q1X stat.Q1Y |
stat.Q3X stat.Q3Y stat.r stat.r² stat.RegEqn stat.Resid stat.ResidTrans stat.sx stat.sy stat.sx1 stat.sx2 stat.Gx stat.Gx² stat.Gxy stat.Gy stat.Gy² stat.s stat.SE stat.SEList stat.SEPred stat.sResid stat.SEslope stat.sp stat.SS |
stat.SSBlock stat.SSCol stat.SSX stat.SSY stat.SSError stat.SSInteract stat.SSReg stat.SSRow stat.tList stat.UpperPred stat.UpperVal stat.v stat.v1 stat.v2 stat.vDiff stat.vList stat.XReg stat.XVal stat.XValList stat.w stat.y stat.yList stat.YReg |
|
Opmerking: telkens wanneer de Lijsten & Spreadsheet-toepassing statistische resultaten berekent, kopieert deze de variabelen uit de “stat groep .” naar een groep “stat#.”, waarbij # een getal is dat automatisch toeneemt. Hierdoor kunt u eerdere resultaten behouden terwijl u meerdere berekeningen uitvoert. |
|
Catalogus > |
|
|
stat.values Geeft een matrix met de waarden die berekend zijn voor de meest recent uitgewerkte statistiekfunctie of -commando. In tegenstelling tot stat.results laat stat.values de namen die geassocieerd zijn met de waarden weg. U kunt een waarde kopiëren en deze op andere locaties plakken. |
Zie het voorbeeld stat.results. |
|
Catalogus > |
|
|
stDevPop(Lijst[, freqLijst])Þuitdrukking Geeft de populatiestandaarddeviatie van de elementen in Lijst. Elk element uit freqLijst telt het aantal malen dat het overeenkomstige element in Lijst achter elkaar voorkomt. Opmerking: Lijst moet tenminste twee elementen hebben. Lege elementen worden genegeerd. Voor meer informatie over lege elementen, zie hier. |
In de hoekmodus Radialen en de automatisch modus:
|
|
stDevPop(Matrix1[, freqMatrix])Þmatrix Geeft een rijvector met de populatiestandaarddeviaties van de kolommen in Matrix1. Elk element van freqMatrix telt het aantal opeenvolgende malen dat het overeenkomstige element voorkomt in Matrix1. Opmerking: Matrix1 moet tenminste twee rijen hebben. Lege elementen worden genegeerd. Voor meer informatie over lege elementen, zie hier. |
|
|
Catalogus > |
|
|
stDevSamp(Lijst[, freqLijst])Þuitdrukking Geeft de steekproefstandaarddeviatie van de elementen in Lijst. Elk element uit freqLijst telt het aantal malen dat het overeenkomstige element in Lijst achter elkaar voorkomt. Opmerking: Lijst moet tenminste twee elementen hebben. Lege elementen worden genegeerd. Voor meer informatie over lege elementen, zie hier. |
|
|
stDevSamp(Matrix1[, freqMatrix])Þmatrix Geeft een rijvector met de steekproefstandaarddeviaties van de kolommen in Matrix1. Elk element van freqMatrix telt het aantal opeenvolgende malen dat het overeenkomstige element voorkomt in Matrix1. Opmerking: Matrix1 moet tenminste twee rijen hebben. Lege elementen worden genegeerd. Voor meer informatie over lege elementen, zie hier. |
|
|
Catalogus > |
|
|
Stop Programmeringscommando: beëindigt het programma. Stop is niet toegestaan in functies. Opmerking bij het invoeren van het voorbeeld: Instructies over het invoeren van programma's met meerdere regels en functiedefinities vindt u in het hoofdstuk Rekenmachine van de handleiding van uw product. |
|
|
zie & (store), hier. |
|
|
|
|
|
Catalogus > |
|
|
string(Uitdr)Þstring Vereenvoudigt Uitdr en geeft het resultaat als een tekenreeks. |
|
|
Catalogus > |
|
|
subMat(Matrix1[, startRij] [, startKol] [, eindRij] [, eindKol]) Þmatrix Geeft de gespecificeerde submatrix van Matrix1. Standaardinstellingen: startRij=1, startKol=1, eindRij=laatste rij, eindKol=laatste kolom. |
|
|
Zie G(), hier. |
|
|
|
|
|
Catalogus > |
|
|
sum(Lijst[, Start[, Eind]])Þuitdrukking Geeft de som van de elementen in Lijst. Start en Eind zijn optioneel. Ze specificeren een bereik van elementen. Elk leeg argument levert een leeg resultaat op. Lege elementen in Lijst worden genegeerd. Voor meer informatie over lege elementen, zie hier. |
|
|
sum(Matrix1[, Start[, Eind]])Þmatrix Geeft een rijvector met de sommen van de elementen in de kolommen van Matrix1. Start en Eind zijn optioneel. Ze specificeren een bereik van rijen. Elk leeg argument levert een leeg resultaat op. Lege elementen in Matrix1 worden genegeerd. Voor meer informatie over lege elementen, zie hier. |
|
|
Catalogus > |
|||||||
|
sumIf(Lijst,Criteria[, SomLijst])Þwaarde Geeft de cumulatieve som van alle elementen in Lijst die voldoen aan de gespecificeerde Criteria. Optioneel kunt u een alternatieve lijst specificeren, somLijst, om de elementen te leveren die opgeteld moeten worden. Lijst kan een uitdrukking, een lijst of een matrix zijn. SomLijst, indien gespecificeerd, moet dezelfde afmeting(en) hebben als Lijst. Criteria kan zijn:
Als een Lijst-element voldoet aan de Criteria, dan wordt het element opgeteld bij de cumulatieve som. Als u somLijst opneemt, dan wordt in plaats daarvan het overeenkomstige element van somLijst bij de som opgeteld. In de toepassing Lijsten & Spreadsheet kunt u een reeks cellen gebruiken op de plaats van Lijst en somLijst. Lege elementen worden genegeerd. Voor meer informatie over lege elementen, zie hier. Opmerking: zie ook countIf(), hier. |
|
|
Zie G(), hier. |
|
|
|
|
|
Catalogus > |
|
|
system(Waarde1 [, Waarde2 [, Waarde3 [, ...]]]) Geeft een stelsel vergelijkingen, in de vorm van een lijst. U kunt ook een stelsel creëren met behulp van een template. |

.