G
|
Catalogus > |
|
|
gcd(Waarde1, Waarde2)Þuitdrukking Geeft de grootste gemene deler van de twee argumenten. De gcd van twee breuken is de gcd van hun tellers gedeeld door de lcm van hun noemers. In de Automatische of Benaderende modus is de gcd van breuken met een drijvende komma 1,0. |
|
|
gcd(Lijst1, Lijst2)Þlijst Geeft de grootste gemene delers van de overeenkomstige elementen in Lijst1 en Lijst2. |
|
|
gcd(Matrix1, Matrix2)Þmatrix Geeft de grootste gemene delers van de overeenkomstige elementen in Matrix1 en Matrix2. |
|
|
Catalogus > |
|
|
geomCdf(p,ondergrens,bovengrens)Þgetal als ondergrens en bovengrens getallen zijn, lijst als ondergrens en bovengrens lijsten zijn geomCdf(p,bovengrens)voor P(1{X{bovengrens)Þgetal als bovengrens een getal is, lijst als bovengrens een lijst is Berekent een cumulatieve geometrische kans van ondergrens naar bovengrens met de gespecificeerde succeskans p. Voor P(X { bovengrens) stelt u ondergrens = 1 in. |
|
|
Catalogus > |
|
|
geomPdf(p,XWaarde)Þgetal als XWaarde een getal is, lijst als XWaarde een lijst is Berekent de kans op XWaarde, het nummer van de poging waarbij het eerste succes optreedt, voor de discrete geometrische verdeling met de gespecificeerde succeskans p. |
|
|
Hub Menu |
|||||||
|
Programmeeropdracht: Haalt een waarde op van een aangesloten TI-Innovator™ Hub en wijst de waarde toe aan de variabele var. De waarde moet zijn aangevraagd:
— of —
Er vindt vereenvoudiging van een impliciete vermenigvuldiging plaats. Een ontvangen tekenreeks als "123" wordt bijvoorbeeld geïnterpreteerd als een numerieke waarde. Gebruik GetStr in plaats van Get om de tekenreeks te behouden. |
Voorbeeld: Vraag de huidige waarde van de van de ingebouwde lichtniveau-sensor van de hub aan. Gebruik Get om de waarde op te halen en toe te wijzen aan de variabele lichtwaarde.
Neem het READ verzoek op in de opdracht Get.
|
||||||
|
Als u het optionele argument statusVar erin opneemt, wordt er een waarde aan toegekend op basis van het succes van de bewerking. De waarde nul betekent dat er geen gegevens werden ontvangen. |
|
||||||
|
In de tweede syntax, stelt het argument func() het programma in staat om de ontvangen tekenreeks als een functiedefinitie op te slaan. Deze syntax werkt alsof het programma de volgende opdracht heeft uitgevoerd: Definieer func(arg1, ...argn) = ontvangen tekenreeks Het programma kan vervolgens de gedefinieerde functie func() gebruiken. Opmerking: U kunt de opdracht Get binnen een door de gebruiker gedefinieerd programma gebruiken, maar niet binnen een functie. |
|
Catalogus > |
|
|
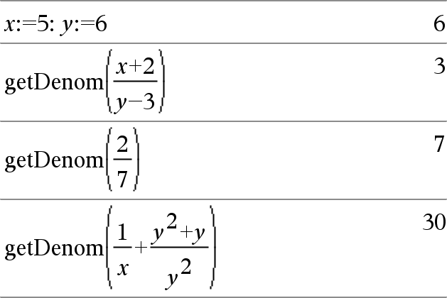
getDenom(Breuk1)Þwaarde Transformeert het argument in een uitdrukking met een vereenvoudigde gemeenschappelijke noemer, en geeft vervolgens de noemer ervan. |
|
|
Catalogus > |
|||||||
|
get(Key([01]) ⇒ returnString Beschrijving:getKey() - stelt een TI-Basic programma in staat om toetsenbordinvoer op te halen - van de rekenmachine, computer en emulator op de computer. Voorbeeld:
|
Voorbeeld:
|
De behandeling van toetsaanslagen:
|
rekenmachine/emulatortoets |
Desktop |
Teruggeven waarde |
|---|---|---|
|
Esc |
Esc |
"esc" |
|
Touchpad - Bovenaan klikken |
N.v.t. |
"omhoog" |
|
Aan |
N.v.t. |
"hoofdscherm" |
|
|
|
|
|
Scratch-apps |
N.v.t. |
"kladblok" |
|
Touchpad - Links klikken |
N.v.t. |
"links" |
|
Touchpad - In het midden klikken |
N.v.t. |
"in het midden" |
|
Touchpad - rechts klikken |
N.v.t. |
"rechts" |
|
Doc |
N.v.t. |
"doc" |
|
|
|
|
|
Tabblad |
Tabblad |
"tabblad" |
|
Touchpad - onderaan klikken |
Pijl omlaag |
"omlaag" |
|
Menu |
N.v.t. |
"menu" |
|
|
|
|
|
Ctrl |
Ctrl |
geen terugkeer |
|
Shift |
Shift |
geen terugkeer |
|
Var |
N.v.t. |
"var" |
|
Del |
N.v.t. |
"del" |
|
|
|
|
|
= |
= |
"=" |
|
Goniometrie |
N.v.t. |
"Gonio" |
|
0 t/m 9 |
0-9 |
"0" ... "9" |
|
Templates |
N.v.t. |
"sjabloon" |
|
Catalogus |
N.v.t. |
"cat" |
|
|
|
|
|
^ |
^ |
"^" |
|
X^2 |
N.v.t. |
"kwadraat" |
|
/ (deeltoets) |
/ |
"/" |
|
* (vermenigvuldigingstoets) |
* |
"*" |
|
e^x |
N.v.t. |
"uitdr" |
|
10^x |
N.v.t. |
"10macht" |
|
+ |
+ |
"+" |
|
- |
- |
"-" |
|
|
|
|
|
( |
( |
"(" |
|
) |
) |
")" |
|
. |
. |
"." |
|
(-) |
N.v.t. |
"-" (negatie- teken) |
|
Invoeren |
Invoeren |
"invoeren" |
|
|
|
|
|
ee |
N.v.t. |
"E" (wetenschappelijke notatie E) |
|
a - z |
a-z |
alpha = ingedrukte letter (kleine letter) ("a" - "z") |
|
shift a-z |
shift a-z |
alpha = ingedrukte letter "A" - "Z" |
|
|
|
Let op: met ctrl-shift kunt u caps vergrendelen |
|
?! |
N.v.t. |
"?!" |
|
|
|
|
|
pi |
N.v.t. |
"pi" |
|
Vlag |
N.v.t. |
geen terugkeer |
|
|
|
|
|
, |
, |
"," |
|
Return |
N.v.t. |
"return" |
|
spatie |
spatie |
" " (spatie) |
|
|
|
|
|
Ontoegankelijk |
Speciale tekentoetsen zoals @,!,^, etc. |
Het teken wordt geretourneerd |
|
N.v.t. |
Functietoetsen |
Geen teken geretourneerd |
|
N.v.t. |
Speciale desktop besturingstoetsen |
Geen teken geretourneerd |
|
Ontoegankelijk |
Andere desktoptoetsen die niet beschikbaar zijn op de rekenmachine terwijl getkey() wacht op de volgende druk op een toets. ({, },;, :, ...) |
Hetzelfde teken dat u krijgt in Notities (niet in een wiskundekader) |
Opmerking: Het is belangrijk om op te merken dat de aanwezigheid van getKey() in een programma verandert hoe bepaalde gebeurtenissen door het systeem worden afgehandeld. Een aantal hiervan worden hieronder beschreven.
Beëindig programma en handel gebeurtenis af - Precies alsof de gebruiker het programma zou verlaten door op de AAN toets te drukken
"Ondersteuning" hieronder betekent - Systeem werkt zoals verwacht - programma blijft doorgaan.
|
Gebeurtenis |
Rekenmachine |
Desktop - TI-Nspire™-leerlingensoftware |
|---|---|---|
|
Snelle peiling |
Beëindig programma, handel gebeurtenis af |
Hetzelfde als de rekenmachine ( |
|
Remote file mgmt
(Incl. het versturen van het 'Exit Press 2 Test' bestand vanaf een andere rekenmachine of desktop-rekenmachine) |
Beëindig programma, handel gebeurtenis af |
Hetzelfde als de rekenmachine. ( |
|
Klas beëindigen |
Beëindig programma, handel gebeurtenis af |
Ondersteuning ( |
|
Gebeurtenis |
Rekenmachine |
Desktop - TI-Nspire™ Alle versies |
|
|
Ondersteuning - kan succesvol instructies geven aan de |
Hetzelfde als de rekenmachine |
|
Catalogus > |
|
|
getLangInfo()Þstring Geeft een string die overeenkomt met de korte naam van de actieve taal. U kunt deze functie bijvoorbeeld gebruiken in een programma of functie om de huidige taal te bepalen. Engels = “en” Deens = “da” Duits = “de” Fins = “fi” Frans = “fr” Italiaans = “it” Nederlands = “nl” Vlaams = “nl_BE” Noors = “no” Portugees = “pt” Spaans = “es” Zweeds = “sv” |
|
|
Catalogus > |
|
|
Geeft de huidige status “vergrendeld” of “ontgrendeld” van variabele Var. waarde =0: Var is ontgrendeld of bestaat niet. waarde =1: Var is vergrendeld en kan niet worden gewijzigd of gewist. |
|
|
Catalogus > |
|
|
getMode(ModeNaamGeheel getal)Þwaarde getMode(0)Þlijst getMode(ModeNaamGeheel getal) geeft een waarde die de huidige instelling van de modus ModeNaamGeheel getal representeert. getMode(0) geeft een lijst met getallenparen. Elk paar bestaat uit een modusnummer en een instellingsnummer. Zie onderstaande tabel voor een lijst met de modi en de bijbehorende instellingen. Als u de instellingen opslaat met getMode(0) & var, dan kunt u setMode(var) gebruiken in een functie of programma om de instellingen tijdelijk te herstellen, alleen binnen de uitvoering van de functie of het programma. Zie setMode(), hier. |
|
|
Modus-naam |
Modus nummer |
Instellingsnummers |
|
Cijfers weergeven |
1 |
1=Drijvend, 2=Drijvend1, 3=Drijvend2, 4=Drijvend3, 5=Drijvend4, 6=Drijvend5, 7=Drijvend6, 8=Drijvend7, 9=Drijvend8, 10=Drijvend9, 11=Drijvend10, 12=Drijvend11, 13=Drijvend12, 14=Vast0, 15=Vast1, 16=Vast2, 17=Vast3, 18=Vast4, 19=Vast5, 20=Vast6, 21=Vast7, 22=Vast8, 23=Vast9, 24=Vast10, 25=Vast11, 26=Vast12 |
|
Hoek |
2 |
1=Radialen, 2=Graden, 3=Decimale graden |
|
Exponentiële opmaak |
3 |
1=Normaal, 2=Wetenschappelijk, 3=Ingenieursnotatie |
|
Reëel of complex |
4 |
1=Reëel, 2=Rechthoekig, 3=Polair |
|
Automatisch of benaderend |
5 |
1=Automatisch, 2=Benaderend |
|
Vectoropmaak |
6 |
1=Rechthoekig, 2=Cilindrisch, 3=Bolvormig |
|
Grondtal |
7 |
1=Decimaal, 2=Hexadecimaal, 3=Binair |
|
Catalogus > |
|
|
getNum(Breuk1)Þwaarde Transformeert het argument naar een uitdrukking met een vereenvoudigde gemeenschappelijke noemer, en geeft vervolgens de teller ervan. |
|
|
Hub Menu |
|
|
Programmeeropdracht: Werkt hetzelfde als de opdracht Get, met de uitzondering dat de ontvangen waarde altijd wordt geïnterpreteerd als een tekenreeks. De opdracht Get daarentegen interpreteert het antwoord als een uitdrukking, tenzij deze tussen aanhalingstekens ("") is geplaatst. |
Zie Get voor voorbeelden. |
|
Catalogus > |
|
|
Geeft een tekenreeks die het gegevenstype aangeeft van variabele var. Als var niet gedefinieerd is, geeft dit de tekenreeks "NONE". |
|
|
Catalogus > |
|
|
getVarInfo()Þmatrix of string getVarInfo(BibliotheekNaamString)Þmatrix of string getVarInfo() geeft een matrix met informatie (variabelenaam, type, bibliotheektoegankelijkheid en de status vergrendeld of ontgrendeld) voor alle variabelen en bibliotheekobjecten die gedefinieerd zijn in de huidige opgave. Als er geen variabelen gedefinieerd zijn, geeft getVarInfo() de string "NONE". getVarInfo(BibliotheekNaamString)geeft een matrix met informatie voor alle bibliotheekobjecten die gedefinieerd zijn in bibliotheek BibliotheekNaamString. BibliotheekNaamString moet een string zijn (tekst tussen aanhalingstekens) of een stringvariabele. Als de bibliotheek BibliotheekNaamString niet bestaat, treedt er een fout op. |
|
|
Zie het voorbeeld links, waarin het resultaat van getVarInfo() wordt toegekend aan variabele vs. Als u probeert rij 2 of rij 3 van vs weer te geven, krijgt u de foutmelding “Ongeldige lijst of matrix” omdat minimaal één van de elementen in deze rijen (variabele b bijvoorbeeld) opnieuw wordt uitgewerkt naar een matrix. Deze fout kan ook optreden wanneer u Ans gebruikt om een getVarInfo()-resultaat opnieuw uit te werken. Het systeem geeft bovengenoemde foutmelding omdat de huidige versie van de software geen gegeneraliseerde matrixstructuur ondersteunt waarbij een element van een matrix een matrix of een lijst kan zijn. |
|
|
Catalogus > |
|
|
Goto labelNaam Brengt de besturing over naar het label labelNaam. labelNaam moet in dezelfde functie gedefinieerd worden met behulp van een Lbl-instructie. Opmerking bij het invoeren van het voorbeeld: Instructies over het invoeren van programma's met meerdere regels en functiedefinities vindt u in het hoofdstuk Rekenmachine van de handleiding van uw product. |
|
|
Catalogus > |
|
|
Uitdr1 4 GradÞuitdrukking Converteert Uitdr1 naar een hoek in decimale graden. Opmerking: u kunt deze operator vanaf het toetsenbord van de computer invoeren door @>Grad in te typen. |
In de hoekmodus Graden:
In de hoekmodus Radialen:
|
