Education Technology


Att tillverka en strut

Aktivitetsöversikt

Du har ett cirkulärt papper med radien 10 cm. Genom att klippa upp cirkeln längs en radie får du ett papper som du kan forma till en strut genom att låta en del av ett cirkelsegment överlappa ett annat. Alternativt kan du efterhand klippa bort radiellt så att du efterhand reducerar periferin med olika mycket.
Hur stor volym kan den strut få som du tillverkar på detta sätt?
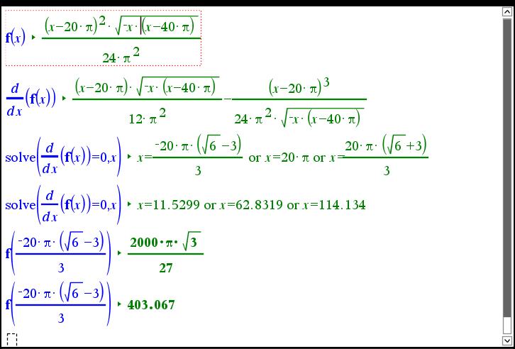
Övningen passar bäst i kurs 3 eftersom vi i slutet gör beräkningar med hjälp av derivata.

För derivataberäkningarna använder vi CAS-funktioner hos TI-Nspire.

Notera:
För att ändra förhandsgranskningen, klicka på Förhandsgranskning av dokument i verktygsfältet och klicka sedan på Handenhet eller Dator.