P
|
Katalog > |
|
|
P4Rx(rExpr, qExpr)Þuttryck P4Rx(rList, qList)Þlista P4Rx(rMatrix, qMatrix)Þmatris Ger den ekvivalenta x-koordinaten för paret (r, q). Obs: Argumentet q tolkas som en vinkel i antingen grader, nygrader eller i radianer beroende på det aktuella vinkelläget. Om argumentet är ett uttryck kan du använda ¡, G eller R för att tillfälligt överstyra vinkelläget. Obs: Du kan infoga denna funktion med datorns tangentbord genom att skriva P@>Rx(...). |
I vinkelläget Radianer:
|
|
Katalog > |
|
|
P4Ry(rExpr, qExpr)Þuttryck P4Ry(rList, qList)Þlista P4Ry(rMatrix, qMatrix)Þmatris Ger den ekvivalenta y-koordinaten för paret (r, q). Obs: Argumentet q tolkas som en vinkel i antingen grader, radianer eller nygrader beroende på det aktuella vinkelläget. Obs: Du kan infoga denna funktion med datorns tangentbord genom att skriva P@>Ry(...). |
I vinkelläget Radianer:
|
|
Katalog > |
|
|
PassErr Flyttar ett fel till nästa nivå. Om systemvariabeln errCode är noll utför PassErr ingenting. Villkoret Else i blocket Try...Else...EndTry bör använda ClrErr eller PassErr. Om felet skall processas eller ignoreras, använd ClrErr. Om det är okänt hur felet skall hanteras, använd PassErr för att skicka felet vidare till nästa felhanterare. Om det inte finns någon ytterligare felhanterare för Try...Else...EndTry visas feldialogrutan som normal. Obs: Se även ClrErr, här och Try, här. Kommentarer om inmatningen av exemplet:I applikationen Räknare kan du skriva in flerradiga definitioner genom att trycka på @ i stället för · i slutet av varje linje. På datorns tangentbord, håll ned Alt och tryck på Enter. |
För ett exempel på PassErr, se exempel 2 under kommandot Try, här. |
|
Katalog > |
|
|
piecewise(Expr1 [, Condition1 [, Expr2 [, Condition2 [, … ]]]]) Ger definitioner för en stegvis funktion i form av en lista. Du kan också skapa stegvisa definitioner med hjälp av en mall. Obs: Se även Piecewise template, här. |
|
|
Katalog > |
|
|
poissCdf(l,lowBound,upBound)Þtal om lowBound och upBound är tal, lista om lowBound och upBound är listor poissCdf(l,upBound)(för P(0{X{upBound)Þtal om upBound är ett tal, lista om upBound är en lista Beräknar en kumulativ sannolikhet för den diskreta Poisson-fördelningen med det specificerade medelvärdet l. För P(X { upBound), sätt lowBound=0 |
|
|
Katalog > |
|
|
poissPdf(l,XVal)Þtal om XVal är ett tal, lista om XVal är en lista Beräknar en sannolikhet för den diskreta Poisson-fördelningen med det specificerade medelvärdet l. |
|
|
Katalog > |
|||||||
|
Vector 4Polar Obs: Du kan infoga denna operator med datorns tangentbord genom att skriva @>Polar. Visar vector i polär form [r∠θ]. Vektorn måste ha dimensionen 2 och kan vara en rad eller en kolumn. Obs: 4Polar är en visa format-instruktion, inte en konverteringsfunktion. Du kan endast använda den i slutet av en inmatningsrad, och den uppdaterar inte ans. Obs: Se även 4Rect, här. |
|
||||||
|
complexValue 4Polar Visar complexVector i polär form.
complexValue kan ha valfri komplex form. En inmatning av reiθ orsakar dock ett fel i vinkelläget Grader. Obs: Du måste använda parenteserna för en (r∠θ) polär inmatning. |
I vinkelläget Radianer:
I vinkelläget Nygrader:
I vinkelläget Grader:
|
|
Katalog > |
|
|
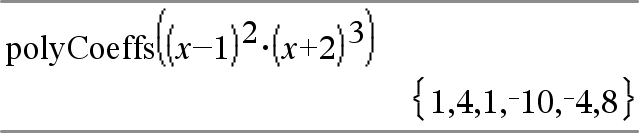
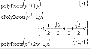
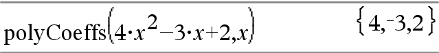
polyCoeffs(Poly [,Var])Þlista Ger en lista på koefficienterna för polynomet Poly med avseende på variabeln Var. Poly måste vara ett polynomuttryck i Var. Vi rekommenderar att du inte utelämnar Var såvida inte Poly är ett uttryck i bara en variabel. |
Expanderar polynomet och väljer x för den utelämnade Var.
|
|
Katalog > |
|
|
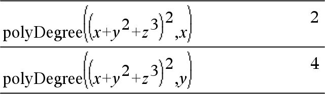
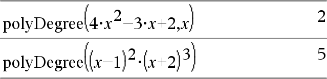
polyDegree(Poly [,Var])Þvärde Ger graden för polynomuttrycket Poly med avseende på variabeln Var. Om du utelämnar Var väljer funktionen polyDegree() en förinställning från variablerna i polynomet Poly. Poly måste vara ett polynomuttryck i Var. Vi rekommenderar att du inte utelämnar Var såvida inte Poly är ett uttryck i en singulär variabel. |
Konstanta polynom
Graden kan extraheras även om koefficienterna inte kan extrahera den. Detta beror på att graden kan extraheras utan att utveckla polynomet. |
|
Katalog > |
|
|
polyEval(List1, Expr1)Þuttryck polyEval(List1, List2)Þuttryck Tolkar det första argumentet som koefficienten för ett polynom med fallande ordning och ger polynomet utvärderat för det andra argumentets värde. |
|
|
Katalog > |
|
|
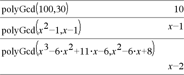
polyGcd(Expr1,Expr2)Þuttryck Ger den största gemensamma delaren för de två argumenten. Expr1 och Expr2 måste vara polynomuttryck. Listargument, matrisargument och booleska argument är ej tillåtna. |
|
|
Katalog > |
|
|
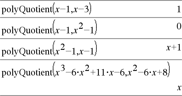
polyQuotient(Poly1,Poly2 [,Var])Þuttryck Ger kvoten på polynomet Poly1 dividerat med polynomet Poly2 med avseende på den specificerade variabeln Var. Poly1 och Poly2 måste vara polynomuttryck i Var. Vi rekommenderar att du inte utelämnar Var såvida inte Poly1 och Poly2 är uttryck i samma variabel. |
|
|
Katalog > |
|
|
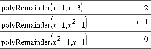
polyRemainder(Poly1,Poly2 [,Var])Þuttryck Ger resten på polynomet Poly1 dividerat med polynomet Poly2 med avseende på den specificerade variabeln Var. Poly1 och Poly2 måste vara polynomuttryck i Var. Vi rekommenderar att du inte utelämnar Var såvida inte Poly1 och Poly2 är uttryck i samma variabel.
|
|
|
Katalog > |
|
|
Den första syntaxen,
Den andra syntaxen, Obs: Se även |
|
|
Katalog > |
|
|
PowerReg X,Y [, Freq] [, Category, Include]] Utför potensregressionsanalys y = (a·(x)b)på listorna X och Y med frekvensen Freq. En sammanfattning av resultaten visas i variabeln stat.results. (Se här.) Alla listor utom Include måste ha samma dimensioner. X och Y är listor på oberoende och beroende variabler. Freq är en frivillig lista på frekvensvärden. Varje element i Freq specificerar frekvensen för varje motsvarande X- och Y-datapunkt. Det förinställda värdet är 1. Alla element måste vara heltal | 0. Category är en lista på kategorikoder för motsvarande X- och Y-data. Include är en lista på en eller flera av kategorikoderna. Endast de dataobjekt vars kategorikod är med på listan tas med i beräkningen. För information om effekten av tomma element i en lista, se “Tomma element” (här). |
|
|
Resultatvariabel |
Beskrivning |
|
stat.RegEqn |
Regressionsekvation: a·(x)b |
|
stat.a, stat.b |
Regressionskoefficienter |
|
stat.r2 |
Koefficient för linjär bestämning av transformerade data |
|
stat.r |
Korrelationskoefficient för transformerade data (ln(x), ln(y)) |
|
stat.Resid |
Residualer associerade med potensmodellen |
|
stat.ResidTrans |
Residualer associerade med linjär anpassning av transformerade data |
|
stat.XReg |
Lista på datapunkter i den modifierade X List som används i regressionen baserat på begränsningar i Freq, Category List och Include Categories |
|
stat.YReg |
Lista på datapunkter i den modifierade Y List som används i regressionen baserat på begränsningar i Freq, Category List och Include Categories |
|
stat.FreqReg |
Lista på frekvenser som motsvarar stat.XReg och stat.YReg |
|
Katalog > |
|
|
Prgm Block Mall för att skapa ett användardefinierat program. Måste användas med kommandot Define, Define LibPub eller Define LibPriv. Block kan vara ett enstaka påstående, en serie av påståenden separerade med tecknet “:” eller en serie av påståenden på separata rader. Obs för att mata in exemplet: Se avsnittet Räknare i produkthandboken för instruktioner om hur du anger multiline-program och funktionsdefinitioner. |
Beräkna GCD och visa mellanliggande resultat.
|
|
Se P(), här. |
|
|
|
|
|
Se P(), här. |
|
|
|
|
|
Katalog > |
|
|
product(List[, Start[, end]])Þuttryck Ger produkten av elementen i List. Start och end är valfria. De specificerar ett område med element. |
|
|
product(Matrix1[, Start[, end]])Þmatris Ger en radvektor som innehåller produkterna av elementen i kolumnerna i Matrix1. Start och end är valfria. De specificerar ett område med rader. Tomma element ignoreras. För mer information om tomma element, se här. |
|
|
Katalog > |
|
|
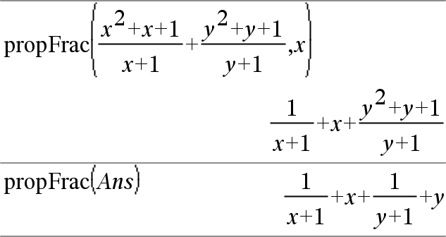
propFrac(Expr1[, Var])Þuttryck propFrac(rational_number) ger rational_number som summan av ett heltal och ett bråk med samma tecken och med större nämnare än täljare. |
|
|
propFrac(rational_expression,Var) ger summan av egentliga bråk och ett polynom med avseende på Var. Graden hos Var i nämnaren överskrider graden hos Var i täljaren i varje egentligt bråk. Liknande potenser av Var samlas in. Termerna och deras faktorer sorteras med Var som huvudvariabel. Om Var utelämnas utförs en utveckling av ett egentligt bråk med avseende på den mest betydande variabeln. Koefficienterna för polynomdelen görs sedan egentliga, först med avseende på deras mest betydande variabel och så vidare.
|
|
|
Du kan använda funktionen propFrac() för att representera blandade bråk och demonstrera addition och subtraktion av blandade bråk. |
|
