E
|
u-tangent |
|
|
e^(Expr1)Þuttryck Ger e upphöjt till potensen Expr1. Obs: Se även e exponentmall, här. Obs: Att trycka på u för att visa e^( skiljer sig från att trycka på tecknet E på tangentbordet. Du kan skriva in ett komplext tal i den polära formen rei q. Använd dock denna form endast i vinkelläget Radianer: den orsakar ett områdesfel i vinkelläget Grader eller Nygrader. |
|
|
e^(List1)Þlista Ger e upphöjt till potensen för varje element i List1. |
|
|
e^(squareMatrix1)ÞkvadratMatris Ger matrisen med exponenten för squareMatrix1. Detta är inte detsamma som att beräkna e upphöjt till potensen för varje element. Se cos() för information om beräkningsmetoden. squareMatrix1 måste vara möjlig att diagonalisera. Resultatet visas alltid i flyttalsform. |
|
|
Katalog > |
|
|
eff(nominalRate,CpY)Þvärde Finansiell funktion som konverterar den nominella räntan nominalRate till en årlig effektiv ränta, given av CpY som antalet ränteperioder per år. nominalRate måste vara ett reellt tal och CpY måste vara ett reellt tal > 0. Obs: Se även nom(), här. |
|
|
Katalog > |
|
|
eigVc(squareMatrix)Þmatris Ger en matris som innehåller egenvektorerna för en reell eller komplex squareMatrix där varje kolumn i resultatet motsvarar ett egenvärde. Observera att en egenvektor inte är unik: den kan vara skalad med vilken konstant faktor som helst. Egenvektorerna är normaliserade, vilket innebär att om V = [x1, x2, …, xn], så är: x12 + x22 + … + xn2 = 1 squareMatrix balanseras först med liknande transformationer tills rad- och kolumnnormerna har så nära samma värde som möjligt. squareMatrix reduceras sedan till övre Hessenberg-form och egenvektorerna beräknas med en Schur-faktorisering. |
I Rektangulärt komplext format:
För att se hela resultatet, tryck på 5 och använd sedan 7 och 8 för att flytta markören. |
|
Katalog > |
|
|
eigVl(squareMatrix)Þlista Ger en lista på egenvärdena för en reell eller komplex squareMatrix. squareMatrix balanseras först med likhetstransformationer tills rad- och kolumnnormerna har så nära samma värde som möjligt. squareMatrix reduceras sedan till övre Hessenberg-form och egenvektorerna beräknas från den övre Hessenberg-matrisen. |
I läget Rektangulärt komplext format:
För att se hela resultatet, tryck på 5 och använd sedan 7 och 8 för att flytta markören. |
|
Se If, här. |
|
|
|
|
|
Katalog > |
|
|
If BooleanExpr1 Then Block1 ElseIf BooleanExpr2 Then Block2 © ElseIf BooleanExprN Then BlockN EndIf © Obs för att mata in exemplet: Se avsnittet Räknare i produkthandboken för instruktioner om hur du anger multiline-program och funktionsdefinitioner. |
|
|
Se For, här. |
|
|
|
|
|
Se Func, här. |
|
|
|
|
|
Se If, här. |
|
|
|
|
|
Se Loop, här. |
|
|
|
|
|
Se Prgm, här. |
|
|
|
|
|
Se Try, här. |
|
|
|
|
|
Se While, här. |
|
|
|
|
|
Katalog > |
|
|
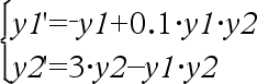
Använder Eulers metod för att lösa systemet
med depVar(Var0)=depVar0 på intervallet [Var0,VarMax]. Ger en matris vars första rad definierar resultatvärdena för Var och vars andra rad definierar den första lösningskomponenten vid motsvarande Var-värden, och så vidare. Expr är det högra ledet som definierar den ordinära differentialekvationen (ODE). SystemOfExpr är systemet av högerled som definierar systemet av ODE:er (motsvarar ordningen av oberoende variabler i ListOfDepVars). ListOfExpr är en lista på högerled som definierar systemet av ODE:er (motsvarar ordningen av oberoende variabler i ListOfDepVars). Var är den oberoende variabeln. ListOfDepVars är en lista på oberoende variabler. {Var0, VarMax} är en lista med två element som instruerar funktionen att integrera från Var0 till VarMax. ListOfDepVars0 är en lista på startvärden för oberoende variabler. VarStep är ett tal skilt från noll så att eulerStep är ett positivt heltal (förinställs på 1) som definierar antalet euler-steg mellan resultatvärden. Den verkliga stegstorleken som används av euler-metoden är VarStepàeulerStep. |
Differentialekvation: y'=0,001*y*(100-y) och y(0)=10
För att se hela resultatet, tryck på 5 och använd sedan 7 och 8 för att flytta markören.
Ekvationssystem:
med y1(0)=2 och y2(0)=5
|
|
Hubb-meny |
|
|
eval() är giltig endast i TI-Innovator™ Hub Kommandoargument i programmeringskommandona Get, GetStr och Send. Programmet beräknar uttrycket Expr och ersätter eval()-meddelandet med resultatet som en teckensträng. Argumentet Expr måste generera ett reellt tal. |
Ställ in den blå komponenten hos RGB-lysdioden på halv intensitet.
Återställ den blå komponenten till OFF.
Argumentet eval() måste generera ett reellt tal.
Program för att tona in den röda komponenten
Kör programmet.
|
|
Även om eval() inte visar dess resultat kan du visa den resulterande Hubb-kommandosträngen efter att ha kört kommandot genom att kontrollera någon av följande speciella variabler. iostr.SendAns |
|
|
Katalog > |
|
|
exact(Expr1 [, Tolerance])Þuttryck exact(List1 [, Tolerance])Þlista exact(Matrix1 [, Tolerance])Þmatris Använder det aritmetiska läget Exact för att, när så är möjligt, ge argumentet som ett rationellt tal. Tolerance specificerar konverteringens tolerans: förinställningen är 0 (noll). |
|
|
Katalog > |
|
|
Exit Avslutar det aktuella blocket For, While eller Loop. Exit tillåts inte utanför de tre slingstrukturerna (For, While eller Loop). Obs för att mata in exemplet: Se avsnittet Räknare i produkthandboken för instruktioner om hur du anger multiline-program och funktionsdefinitioner. |
Funktionslista:
|
|
Katalog > |
|
|
Expr 4exp Representerar Expr i termer av basen för den naturliga logaritmen e. Detta är en omvandlingsoperator för visning. Den kan endast användas i slutet av inmatningsraden. Obs: Du kan infoga denna operator med datorns tangentbord genom att skriva @>exp. |
|
|
u-tangent |
|
|
exp(Expr1)Þuttryck Ger e upphöjt till potensen Expr1. Obs: Se även e exponentmall, här. Du kan skriva in ett komplext tal i den polära formen rei q. Använd dock denna form endast i vinkelläget Radianer: den orsakar ett områdesfel i vinkelläget Grader eller Nygrader. |
|
|
exp(List1)Þlista Ger e upphöjt till potensen för varje element i List1. |
|
|
exp(squareMatrix1)ÞkvadratMatris Ger matrisen med exponenten för squareMatrix1. Detta är inte detsamma som att beräkna e upphöjt till potensen för varje element. Se cos() för information om beräkningsmetoden. squareMatrix1 måste vara möjlig att diagonalisera. Resultatet visas alltid i flyttalsform. |
|
|
Katalog > |
|
|
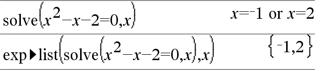
exp4list(Expr,Var)Þlista Undersöker Expr för ekvationer som är separerade med ordet “ Obs: exp4list() behövs inte med funktionerna zeros och cZeros() eftersom de direkt ger en lista på lösningsvärden. Du kan infoga denna funktion med datorns tangentbord genom att skriva exp@>list(...). |
|
|
Katalog > |
|
|
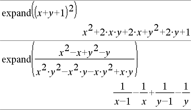
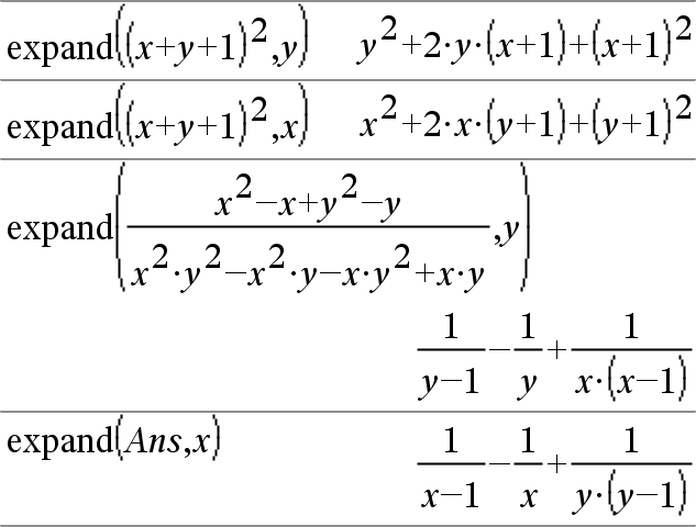
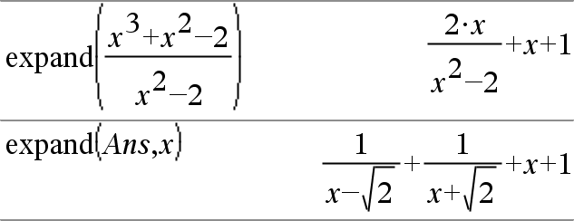
expand(Expr1 [, Var])Þuttryck expand(List1 [,Var])Þlista expand(Matrix1 [,Var])Þmatris expand(Expr1) ger Expr1 utvecklat med avseende på alla dess variabler. Utvecklingen är en polynomutveckling för polynom och partiell bråkutveckling för rationella uttryck. Målsättningen med expand() är att transformera Expr1 till en summa av och/eller skillnad mellan enkla termer. Som kontrast är målsättningen med factor() att transformera Expr1 till en produkt av och/eller kvot mellan enkla faktorer. |
|
|
expand(Expr1,Var) ger Expr1 utvecklat med avseende på Var. Liknande potenser av Var samlas in. Termerna och deras faktorer sorteras med Var som huvudvariabel. Viss tillfällig faktorisering eller utveckling kan ske av de insamlade koefficienterna. Jämfört med att utesluta Var sparar detta ofta tid, minne och skärmutrymme, vilket gör uttrycket mer begripligt. |
|
|
Även med endast en variabel kan användning av Var göra den faktorisering av nämnare som används för partialbråksutveckling mer fullständig. Tips: För rationella uttryck är propFrac() ett snabbare, men mindre extremt, alternativ till expand(). Obs: Se även comDenom() för en expanderad täljare genom en expanderad nämnare. |
|
|
expand(Expr1,[Var]) fördelar också logaritmer och rationella potenser oberoende av Var. För ökad fördelning av logaritmer och rationella potenser kan olikhetsbegränsningar vara nödvändiga för att säkerställa att vissa faktorer är naturliga tal. expand(Expr1, [Var]) fördelar också absolutvärden, sign() och exponentialer oberoende av Var. Obs: Se även tExpand() för utveckling av trigonometriska utryck. |
|
|
Katalog > |
|
|
expr(String)Þuttryck Ger teckensträngen i String som ett uttryck och exekverar det omedelbart. |
|
|
Katalog > |
|
|
ExpReg X, Y [, [Freq][, Category, Include]] Beräknar den exponentiella regressioneny = a·(b)xpå listorna X och Y med frekvensen Freq. En sammanfattning av resultaten visas i variabeln stat.results. (Se här.) Alla listor utom Include måste ha samma dimensioner. X och Y är listor på oberoende och beroende variabler. Freq är en frivillig lista på frekvensvärden. Varje element i Freq specificerar frekvensen för varje motsvarande X- och Y-datapunkt. Det förinställda värdet är 1. Alla element måste vara heltal | 0. Category är en lista på kategorikoder för motsvarande X- och Y-data. Include är en lista på en eller flera av kategorikoderna. Endast de dataobjekt vars kategorikod är med på listan tas med i beräkningen. För information om effekten av tomma element i en lista, se “Tomma element” (här). |
|
|
Resultatvariabel |
Beskrivning |
|
stat.RegEqn |
Regressionsekvation: a·(b)x |
|
stat.a, stat.b |
Regressionskoefficienter |
|
stat.r2 |
Koefficient för linjär bestämning av transformerade data |
|
stat.r |
Korrelationskoefficient för transformerade data (x, ln(y)) |
|
stat.Resid |
Residualer associerade med den exponentiella modellen |
|
stat.ResidTrans |
Residualer associerade med linjär anpassning av transformerade data |
|
stat.XReg |
Lista på datapunkter i den modifierade X List som används i regressionen baserat på begränsningar i Freq, Category List och Include Categories |
|
stat.YReg |
Lista på datapunkter i den modifierade Y List som används i regressionen baserat på begränsningar i Freq, Category List och Include Categories |
|
stat.FreqReg |
Lista på frekvenser som motsvarar stat.XReg och stat.YReg |

