E
|
u tecla |
|
|
e^(Expr1 )Þexpresión Entrega e elevado a la potencia de Expr1 . Nota: Vea también plantilla de exponente e, aquí. Nota: Presionar u para desplegar e^( es diferente de presionar el caracter E en el teclado. Usted puede ingresar un número complejo en la forma polar rei q . Sin embargo, use esta forma sólo en el modo de ángulo en Radianes; esto causa un error de Dominio en el modo de ángulo en Grados o en Gradianes. |
|
|
e^(Lista1)Þlista Entrega e elevado a la potencia de cada elemento en Lista1. |
|
|
e^(matrizCuadrada1)ÞmatrizCuadrada Entrega el exponencial de la matriz de matrizCuadrada1. Esto no es lo mismo que calcular e elevado a la potencia de cada elemento. Para obtener información acerca del método de cálculo, consulte cos(). matrizCuadrada1 debe ser diagonalizable. El resultado siempre contiene números de punto flotante. |
|
|
Catálogo > |
|
|
eff(tasaNominal,CpA)Þvalor Función financiera que convierte la tasa de interés nominal tasaNominal en una tasa efectiva anual, donde CpA se da como el número de periodos de capitalización por año. tasaNominal debe ser un número real y CpA debe ser un número real > 0. Nota: Vea también nom(), aquí. |
|
|
Catálogo > |
|
|
eigVc(matrizCuadrada)Þmatriz Entrega una matriz que contiene los vectores propios para una matrizCuadradareal o compleja, donde cada columna en el resultado corresponde a un valor propio. Tome en cuenta que un vector propio no es único; puede escalarse por medio de cualquier factor constante. Los vectores propios se normalizan, lo que significa que si V = [x1, x2, … , xn], entonces: x12 + x22 + … + xn2 = 1 matrizCuadrada se balancea primero con transformaciones de similaridad hasta que las normas de fila y columna están tan cerca del mismo valor como es posible. La matrizCuadrada se reduce entonces a una forma de Hessenberg superior y los vectores propios se generan o se obtienen por medio de la factorización de Schur. |
En Formato Complejo Rectangular:
Para ver el resultado completo, presione 5 y después use 7 y 8 para mover el cursor. |
|
Catálogo > |
|
|
eigVl(matrizCuadrada)Þlista Entrega una lista de valores propios de una matrizCuadradareal o compleja. matrizCuadrada se balancea primero con transformaciones de similaridad hasta que las normas de fila y columna están tan cerca del mismo valor como es posible. La matrizCuadrada se reduce entonces a una forma de Hessenberg superior y los vectores propios se generan o se obtienen por medio de la matriz de Hessenberg superior. |
En modo de formato complejo Rectangular:
Para ver el resultado completo, presione 5 y después use 7 y 8 para mover el cursor. |
|
Vea If, aquí. |
|
|
|
|
|
Catálogo > |
|
|
If ExprBooleana1 Then Nota para introducir el ejemplo: Para obtener instrucciones sobre cómo introducir las definiciones de programas y funciones en varias líneas, consulte la sección Calculadora de la guía del producto. |
|
|
Vea For, aquí. |
|
|
|
|
|
Vea Func, aquí. |
|
|
|
|
|
Vea If, aquí. |
|
|
|
|
|
Vea Loop, aquí. |
|
|
|
|
|
Vea Prgm, aquí. |
|
|
|
|
|
Vea Try, aquí. |
|
|
|
|
|
Vea While, aquí. |
|
|
|
|
|
Catálogo > |
|
|
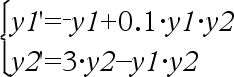
Use el método de Euler para resolver el sistema
con varDep(Var0)=var0Dep en el intervalo [Var0,VarMax]. Entrega una matriz cuya primera fila define los valores del resultado de Var y cuya segunda fila define el valor del primer componente de solución a los valores de Var correspondientes, y así sucesivamente. Expr es el lado derecho que define la ecuación diferencial ordinaria (EDO). SistemaDeExpr es el sistema de lados derechos que define el sistema de EDOs (corresponde al orden de variables dependientes en ListaDeVarsDep). ListaDeExpr es una lista de lados derechos que define el sistema de EDOs (corresponde al orden de variables dependientes en ListaDeVarsDep). Var es la variable independiente. ListaDeVarsDep es una lista de variables dependientes. {Var0, VarMax} es una lista de dos elementos que le dice a la función que se integre de Var0 a VarMax. ListaDeVars0Dep es una lista de valores iniciales para variables dependientes. PasoVar es un número distinto de cero de manera que pasoEuler es un entero positivo (predeterminado a 1) que define el número de pasos de Euler entre los valores de resultado. El tamaño del paso real utilizado por el método de Euler es PasoVaràpasoEuler. |
Ecuación diferencial: y'=0.001*y*(100-y) y y(0)=10
Para ver el resultado completo, presione 5 y después use 7 y 8 para mover el cursor.
Sistema de ecuaciones:
con y1(0)=2 y y2(0)=5
|
|
Menú del Concentrador |
|
|
eval() solo es válida en el TI-Innovator™ Hub argumento del comando de los comandos de programación Get, GetStr y Send. El software evalúa la expresión Expr y reemplaza el enunciado eval() con el resultado como cadena de caracteres. El argumento Expr se debe simplificar a un número real. |
Establezca el elemento azul de LED RGB a una intensidad media.
Restablezca el elemento azul a APAGADO.
El argumento eval() se debe simplificar a un número real.
Programe el elemento rojo a que aparezca gradualmente
Ejecute el programa.
|
|
Aunque eval() no muestra el resultado, puede ver la cadena de comandos del Concentrador después de ejecutar el comando al inspeccionar cualquiera de las siguientes variables especiales. iostr.SendAns Nota: Consulte además Get (aquí), GetStr (aquí) y Send (aquí). |
|
|
Catálogo > |
|
|
exact(Expr1 [, Tolerancia])Þexpresión exact(Lista1 [, Tolerancia])Þlista exact(Matriz1 [, Tolerancia])Þmatriz Usa aritmética de modo Exacto para producir, cuando es posible, el equivalente de número racional del argumento. Tolerancia especifica la tolerancia para la conversión; la predeterminada es 0 (cero). |
|
|
Catálogo > |
|
|
Exit Sale del bloque For, While, o Loop . Exit no está permitido afuera de las tres estructuras de bucles (For, While, o Loop). Nota para introducir el ejemplo: Para obtener instrucciones sobre cómo introducir las definiciones de programas y funciones en varias líneas, consulte la sección Calculadora de la guía del producto. |
Listado de funciones:
|
|
Catálogo > |
|
|
Expr 4exp Representa la Expr en términos del exponencial natural e. Este es un operador de conversión de despliegue. Se puede usar únicamente al final de la línea de ingreso. Nota: Usted puede insertar este operador desde el teclado de la computadora al escribir @>exp. |
|
|
u tecla |
|
|
exp(Expr1)Þexpresión Entrega e elevado a la potencia de Expr1 . Nota: Vea también la plantilla exponencial e , aquí. Usted puede ingresar un número complejo en la forma polar rei q . Sin embargo, use esta forma sólo en el modo de ángulo en Radianes; esto causa un error de Dominio en el modo de ángulo en Grados o en Gradianes. |
|
|
exp(Lista1)Þlista Entrega e elevada a la potencia de cada elemento en Lista1. |
|
|
exp(matrizCuadrada1)ÞmatrizCuadrada Entrega el exponencial de la matriz de matrizCuadrada1. Esto no es lo mismo que calcular e elevado a la potencia de cada elemento. Para obtener información acerca del método de cálculo, consulte cos(). matrizCuadrada1 debe ser diagonalizable. El resultado siempre contiene números de punto flotante. |
|
|
Catálogo > |
|
|
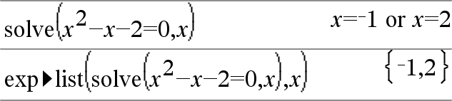
exp4list(Expr,Var)Þlista Examina la Expr para las ecuaciones que están separadas por la palabra “ Nota: exp4list() no es necesaria con las funciones zeros() y cZeros() porque entregan una lista de valores de solución en forma directa. Usted puede insertar esta función desde el teclado al escribir exp@>list(...). |
|
|
Catálogo > |
|
|
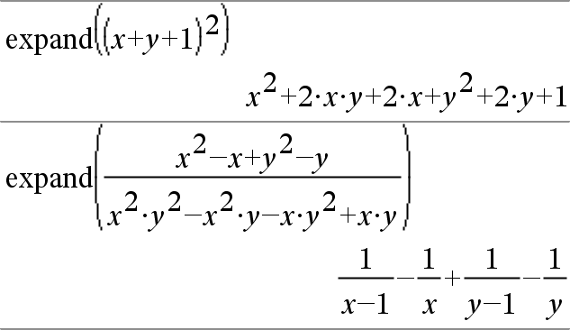
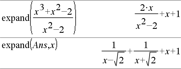
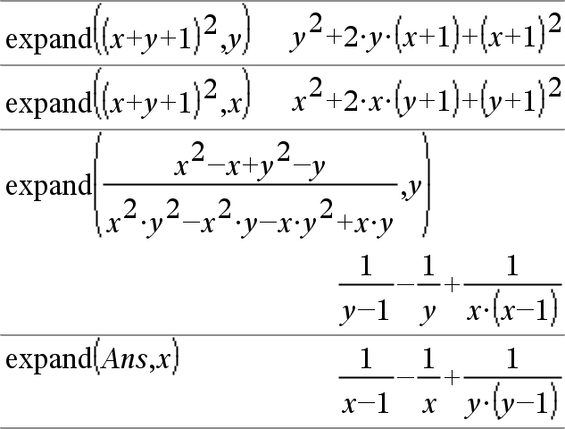
expand(Expr1 [, Var])Þexpresión expand(Lista1 [,Var])Þlista expand(Matriz1 [,Var])Þmatriz expand(Expr1) entrega Expr1 expandida con respecto de todas sus variables. La expansión es una expansión polinómica para los polinomios y una expansión de fracción parcial para las expresiones racionales. La meta de expand() es transformar Expr1 en una suma y/o diferencia de términos sencillos. En contraste, la meta de factor() es transformar Expr1 en un producto y/o cociente de factores sencillos. |
|
|
expand(Expr1,Var) entrega Expr1 expandida con respecto de Var. Se recopilan potencias similares de Var . Los términos y sus factores se ordenan con Var como la variable principal. Puede haber cierta factorización o expansión incidental de los coeficientes recopilados. Se compara para omitir Var, con frecuencia esto ahorra tiempo, memoria y espacio de pantalla, mientras que hace la expresión más comprensible. |
|
|
Incluso cuando hay sólo una variable, al usar Var se puede hacer la factorización del denominador que se usa para la expansión de la fracción parcial más completa. Sugerencia: Para expresiones racionales, propFrac() es una alternativa más rápida aunque menos extrema para expand(). Nota: Vea también comDenom() para un numerador expandido sobre un denominador expandido. |
|
|
expand(Expr1,[Var]) también distribuye logaritmos y potencias fraccionales independientemente de Var. Para una distribución incrementada de logaritmos y potencias fraccionales, podrían ser necesarias restricciones de desigualdad para garantizar que algunos factores son no negativos. expand(Expr1, [Var]) también distribuye valores absoluto, sign(), y exponenciales, independientemente de Var. Nota: Vea también tExpand() para suma de ángulo trigonométrico y expansión de ángulo múltiple. |
|
|
Catálogo > |
|
|
expr(Cadena)Þexpresión Entrega la cadena de caracteres contenida en Cadena como una expresión y la ejecuta de inmediato. |
|
|
Catálogo > |
|
|
ExpReg X, Y [, [Frec] [, Categoría, Incluir]] Genera la regresión exponencialy = a·(b)xen listas X y Y con frecuencia Frec. Un resumen de resultados se almacena en la variable stat.results (aquí). Todas las listas deben tener una dimensión igual, excepto por Incluir. X y Y son listas de variables independientes y dependientes. Frec es una lista opcional de valores de frecuencia. Cada elemento en Frec especifica la frecuencia de la ocurrencia para cada punto de datos X y Y correspondientes. El valor predeterminado es 1. Todos los elementos deben ser enteros | 0. Categoría es una lista de códigos de categoría para los datos X y Y correspondientes. Incluir es una lista de uno o más códigos de categoría. Sólo aquellos elementos de datos cuyo código de categoría está incluido en esta lista están incluidos en el cálculo. Para obtener información sobre el efecto de los elementos vacíos en una lista, vea “Elementos vacíos (inválidos)” (aquí). |
|
|
Variable de salida |
Descripción |
|
stat.EcnReg |
Ecuación de regresión: a·(b)^x |
|
stat.a, stat.b |
Coeficientes de regresión |
|
stat.r2 |
Coeficiente de determinación lineal para datos transformados |
|
stat.r |
Coeficiente de correlación para datos transformados (x, ln(y)) |
|
stat.Resid |
Residuales asociados con el modelo exponencial |
|
stat.TransResid |
Residuales asociadas con el ajuste lineal de datos transformados |
|
stat.XReg |
La lista de puntos de datos en Lista X modificada se usa de hecho en la regresión con base en las restricciones de las Categorías Frec, Lista de Categoríae Incluir |
|
stat.YReg |
La lista de puntos de datos en Lista Y modificada se usa de hecho en la regresión con base en las restricciones de las Categorías Frec, Lista de Categoríae Incluir |
|
stat.FrecReg |
Lista de frecuencias correspondientes a stat.XReg y stat.YReg |

