I
|
Catálogo > |
|
|
identity(Entero) ⇒ matriz Produce la matriz de identidad con una dimensión de Entero. Entero debe ser un entero positivo. |
|
|
Catálogo > |
|
|
Si BooleanExpr Si BooleanExpr Entonces Si BooleanExpr evalúa si es verdadero, ejecuta el enunciado simple Enunciado o el bloque de enunciados Bloque antes de proceder a ejecutar. Si BooleanExpr evalúa si es falso, procede a ejecutar sin ejecutar el enunciado o bloque de enunciados. El Bloque puede ser un solo enunciado o una secuencia de enunciados separados por el caracter ":". Nota para introducir el ejemplo: Para obtener instrucciones sobre cómo introducir las definiciones de programas y funciones en varias líneas, consulte la sección Calculadora de la guía del producto. |
|
|
Si BooleanExpr Entonces Si BooleanExpr evalúa si es verdadero, ejecuta Bloque1 y pasa al Bloque2. Si BooleanExpr evalúa si es falso, pasa a Bloque1 pero ejecuta Bloque2. Bloque1 y Bloque2 pueden ser un solo enunciado. |
|
|
Si BooleanExpr1 Entonces Permite ramificar. Si BooleanExpr1 evalúa si es verdadero, ejecuta Block1. Si BooleanExpr1 evalúa si es falso, evalúa BooleanExpr2, y así sucesivamente. |
|
|
Catálogo > |
||||||||||||||||
|
ifFn(BooleanExpr,Value_If_true [,Value_If_false [,Value_If_unknown]]) ⇒ expresión, lista, o matriz Evalúa la expresión booleana BooleanExpr (o cada elemento de BooleanExpr ) y genera un resultado en base a las reglas siguientes:
Nota: Si el enunciado simplificado BooleanExpr involucra una lista o matriz, todos los demás argumentos de la lista o matriz deben tener las mismas dimensiones, y el resultado tendrá también las mismas dimensiones. |
El valor de prueba de 1 es menor a 2,5; por lo que el correspondiente El elemento Value_If_True de 5 se copia a la lista de resultados.
El valor de prueba de 2 es menor a 2,5; por lo que el correspondiente El elemento Value_If_True de 6 se copia a la lista de resultados.
Value_If_true es un valor sencillo y corresponde a cualquier posición seleccionada.
Value_If_false no está especificado. Se utiliza Indef.
Se selecciona un elemento de Value_If_true. Se selecciona un elemento de Value_If_unknown. |
|
Catálogo > |
|
|
imag(Expr1) ⇒ expresión Produce la parte imaginaria del argumento.
|
|
|
imag(List1) ⇒ lista Produce una lista de las partes imaginarias de los elementos. |
|
|
imag(Matrix1) ⇒ matriz Produce una matriz de las partes imaginarias de los elementos. |
|
|
Catálogo > |
|
|
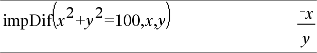
impDif(Ecuación, Var, dependVar[,Ord]) ⇒ expresión donde el orden Ord es 1 de forma predeterminada. Calcula la derivada implícita para las ecuaciones en las que una de las variables se define implícitamente en términos de otra. |
|
|
Indirección |
Consulte #(), aquí. |
|
|
|
|
Catálogo > |
|
|
inString(srcString, subString[, Arrancar]) ⇒ entero Produce la posición del caracter en la serie srcString en la cual inicia la primera ocurrencia de la serie subString. Arrancar, si se incluye, específica la posición del caracter dentro de srcString en dónde inicia la búsqueda. Predeterminado = 1 (el primer caracter de srcString). Si srcString no contiene subString o Arrancar es > la longitud de srcString, produce cero. |
|
|
Catálogo > |
|
|
Produce el mayor entero que sea menor o igual al argumento. Esta función es idéntica a floor(). El argumento puede ser un número real o uno complejo. Para una lista o matriz, produce el mayor entero de cada uno de los elementos. |
|
|
Catálogo > |
|
|
intDiv(Number1, Number2) ⇒ entero Produce la parte entera con signo de (Number1 ÷ Number2). Para las listas y matrices, produce la parte entera con signos de (argumento 1 ÷ argumento 2) para cada par del elemento. |
|
|
|
|
|
|
|
|
Catálogo > |
|
|
Esta función hace lo siguiente: Dadas xList, yList=f(xList), y yPrimeList=f'(xList) para cierta función desconocida f, se usa una interpolación cúbica para aproximar la función f al xValue. Se supone que xlist es una lista de números monotónicamente crecientes o decrecientes, aunque esta función puede entregar un valor incluso cuando no lo es. Esta función avanza a través de xList en busca de un intervalo [xList[i], xList[i+1]] que contenga un xValue. Si encuentra dicho intervalo, produce un valor interpolado para f(xValue); de otro modo, produce xList, yList, y yPrimeList deben tener la misma dimensión ≥ 2 y contener expresiones que se simplifiquen a números.
|
Ecuación diferencial:
Para ver el resultado completo, presione 5 y después use 7 y 8 para mover el cursor. Use la función interpolar() para calcular los valores de la función para la listavalorx: |
|
Catálogo > |
|
|
invχ2(Area,df) invChi2(Área,df) Calcula la función de probabilidad acumulada inversa χ2 (chi-cuadrada) que se especifica a partir de los grados de libertad df para una determinada Área bajo la curva. |
|
|
Catálogo > |
|
|
invF(Area,dfNumer,dfDenom) invF(Area,dfNumer,dfDenom) Calcula la función de probabilidad de distribución acumulada inversa F que se especifica a partir de dfNumer y dfDenom para una determinada Área bajo la curva. |
|
|
Catálogo > |
|
|
invBinom(CumulativeProb,NumTrials,Prob, Dado el número de intentos (Numintentos) y la probabilidad de éxito de cada intento (Prob), esta función produce el número mínimo de éxitos, k, de tal forma que la probabilidad acumulativa de éxitos k es mayor que o igual a la probabilidad acumulativa dada (CumulativeProb). OutputForm=0, muestra el resultado como un escalar (predeterminado). OutputForm=1, muestra el resultado como una matriz. |
Ejemplo: Mary y Kevin están jugando a los dados. Mary debe adivinar el número máximo de veces que aparece 6 en 30 lanzamientos. Si el número 6 sale ese número de veces o menos, Mary gana. Además, entre menor sea el número que ella adivine, mayores sus ganancias. ¿Cuál es el número más pequeño que Mary puede adivinar si desea que la probabilidad de ganar sea mayor al 77%?
|
|
Catálogo > |
|
|
invBinomN(CumulativeProb,Prob, Dada la probabilidad de éxito de cada intento (Prob), y el número de éxitos (NumSuccess), esta función produce el número mínimo de intentos, N, de tal forma que la probabilidad acumulativa de éxitos x sea menor que o igual a la probabilidad acumulativa dada (CumulativeProb). OutputForm=0, muestra el resultado como un escalar (predeterminado). OutputForm=1, muestra el resultado como una matriz. |
Ejemplo: Monique está practicando tiros a gol. Ella sabe por su experiencia que su probabilidad de anotar un gol es del 70%. Ella planea practicar hasta anotar 50 goles. ¿Cuántos tiros debe intentar para asegurarse que la probabilidad de anotar por lo menos 50 goles sea de más de 0,99?
|
|
Catálogo > |
|
|
invNorm(Área[,μ[,σ]]) Calcula la función de distribución normal acumulada inversa para un Área determinada bajo la curva de distribución normal especificada por la media, μ, y por σ. |
|
|
Catálogo > |
|
|
invt(Area,df) Calcula el valor acumulado de la función de probabilidad inversa t de Student que se especifica a partir de los grados de libertad df para una determinada Área bajo la curva. |
|
|
Catálogo > |
|
|
iPart(Número) ⇒ entero Produce la parte entera del argumento. Para listas y matrices, produce la parte entera de cada elemento. El argumento puede ser un número real o uno complejo. |
|
|
Catálogo > |
|
|
irr(CF0,CFList [,CFFreq]) ⇒ valor La función financiera calcula la tasa interna de retorno de una inversión. CF0 es el flujo de caja inicial en la hora 0; que debe ser un número real. CFList es una lista de cantidades de flujo de cada después del flujo de caja inicial CF0. CFFreq es una lista opcional en la cual cada elemento especifica la frecuencia de ocurrencia para una cantidad agrupada (consecutiva) de flujo de caja, la cual el el elemento correspondiente de CFList. El valor predeterminado es 1; si usted ingresa valores, estos deben ser enteros positivos < 10.000. Nota: Consulte también mirr(), aquí. |
|
|
Catálogo > |
|
|
isPrime(Número) ⇒ Expresión booleana constante Produce verdadero o falso para indicar si el número es un entero ≥ 2 que se puede dividir solamente por si mismo y 1. Si el Número excede en unos 306 dígitos y no tiene factores ≤1021, isPrime(Número) muestra un mensaje de error. Si solamente desea determinar si el Número es primo, use isPrime() en lugar de factor(). Es mucho más rápido, en especial si el Número no es primo y tiene un factor segundo más grande que excede en unos cinco dígitos. Nota para introducir el ejemplo: Para obtener instrucciones sobre cómo introducir las definiciones de programas y funciones en varias líneas, consulte la sección Calculadora de la guía del producto. |
|
|
Catálogo > |
|
|
isVoid(Var) ⇒ Expresión booleana constante Produce verdadero o falso para indicar si el argumento es un tipo de datos vacío. Para obtener mayor información sobre los elementos vacíos, consulte aquí. |
|

