F
|
Catálogo > |
|||||||||||||
|
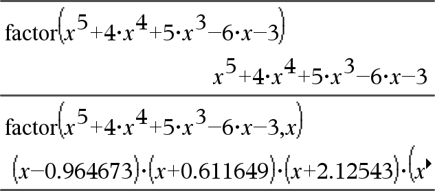
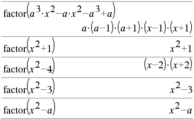
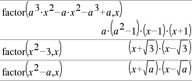
factor(Expr1[, Var])Þexpresión factor(Lista1[,Var])Þlista factor(Matriz1[,Var])Þmatriz factor(Expr1) entrega Expr1 factorizado con respecto de todas sus variables sobre un denominador común. Expr1 se factoriza tanto como es posible hacia los factores racionales lineales sin introducir nuevas subexpresiones no reales. Esta alternativa es apropiada si se desea una factorización con respecto de más de una variable. |
|
||||||||||||
|
factor(Expr1,Var) entrega Expr1 factorizado con respecto de la variable Var. Expr1 se factoriza tanto como es posible hacia factores reales que son lineales en Var, incluso si introduce constantes irracionales o subexpresiones que son irracionales en otras variables. Los factores y sus términos se clasifican con Var como la variable principal. Se recopilan potencias similares de Var en cada factor. Incluya Var si se necesita la factorización con respecto de sólo esa variable y usted está dispuesto a aceptar expresiones irracionales en otras variables para incrementar la factorización con respecto de Var. Podría haber cierta factorización incidental con respecto de otras variables. |
|
||||||||||||
|
Para la configuración Automática del modo Auto o Aproximado , incluyendo Var permite la aproximación con coeficientes de punto flotante, donde los coeficientes irracionales no se pueden expresar en forma explícita concisamente en términos de funciones integradas. Incluso cuando hay sólo una variable, incluyendo Var, puede producir una factorización más completa. Nota: Vea también comDenom() para obtener una forma rápida de lograr una factorización parcial cuando factor() no es lo suficientemente rápido o si agota la memoria. Nota: Vea también cFactor() para factorizar hasta los coeficientes complejos en busca de factores lineales. |
|
||||||||||||
|
factor(númeroRacional) entrega el número racional factorizado en primos. Para números compuestos, el tiempo de cómputo aumenta exponencialmente con el número de dígitos en el segundo factor más grande. Por ejemplo, factorizar un entero de 30 dígitos podría llevarse más de un día, y factorizar un número de 100 dígitos podría llevarse más de un siglo. Para detener el cálculo manualmente:
Si usted simplemente desea determinar si un número es primo, use isPrime() en su lugar. Es mucho más rápido, en particular si númeroRacional no es primo y si el segundo factor más grande tiene más de cinco dígitos. |
|
|
Catálogo > |
|
|
FCdf(límiteInferior,límiteSuperior,númerodf,denomdf)Þnúmero si límiteInferior y límiteSuperior son números, lista si límiteInferior y límiteSuperior son listas FCdf(límiteInferior,límiteSuperior,númerodf,denomdf)Þnúmero si límiteInferior y límiteSuperior son números, lista si límiteInferior y límiteSuperior son listas Calcula la probabilidad de la distribución F entre el Liminte inferior y Limite Superior para los grados de libertad dfNumer y dfDenom especificados. Para P(X { Limite superior), establecer Limite Inferior=0. |
|
|
Catálogo > |
|
|
Fill Expr, varMatrizÞmatriz Reemplaza cada elemento en la variable varMatriz con Expr. varMatriz ya debe existir. |
|
|
Fill Expr, varListaÞlista Reemplaza cada elemento en la variable varLista con Expr. varLista ya debe existir. |
|
|
Catálogo > |
|
|
FiveNumSummary X[,[Frec][,Categoría,Incluir]] Proporciona una versión abreviada de las estadísticas de 1 variable en la lista X. Un resumen de resultados se almacena en la variable stat.results (aquí). X representa una lista que contiene los datos. Frec es una lista opcional de valores de frecuencia. Cada elemento en Frec especifica la frecuencia de la ocurrencia para cada punto de datos X y Y correspondientes. El valor predeterminado es 1. Categoría es una lista de códigos de categoría numérica para los datos X correspondientes. Incluir es una lista de uno o más códigos de categoría. Sólo aquellos elementos de datos cuyo código de categoría está incluido en esta lista están incluidos en el cálculo. Un elemento (inválido) vacío en cualquiera de las listas X, Frec, o Categoría da como resultado un inválido para el elemento correspondiente de todas esas listas. Para obtener más información sobre elementos vacíos, vea aquí. |
|
|
Variable de salida |
Descripción |
|
stat.MínX |
Mínimo de valores x. |
|
stat.C1X |
1er Cuartil de x. |
|
stat.MedianaX |
Mediana de x. |
|
stat.C3X |
3er Cuartil de x. |
|
stat.MaxX |
Máximo de valores x. |
|
Catálogo > |
|
|
floor(Expr1)Þentero Entrega el entero más grande que es { el argumento. Esta función es idéntica a int(). El argumento puede ser un número real o complejo. |
|
|
floor(Lista1)Þlista floor(Matriz1)Þmatriz Entrega una lista o matriz del piso de cada elemento. Nota: Vea también ceiling() e int(). |
|
|
Catálogo > |
|
|
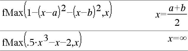
fMax(Expr, Var)Þexpresión Booleana fMax(Expr, Var,límiteInferior) fMax(Expr, Var,límiteInferior,límiteSuperior) fMax(Expr, Var) | límiteInferior{Var{límiteSuperior Entrega una expresión Booleana que especifica valores candidatos de Var que maximizan Expr o ubican su límite superior menor. |
|
|
Puede utilizar el operador restrictivo ("|") para restringir el intervalo de solución o especificar otras restricciones. Para la configuración aproximada del modo Auto o Aproximado, fMax() busca iterativamente un máximo local aproximado. Con frecuencia esto es más rápido, en particular si usted usa el operador “|” para restringir la búsqueda a un intervalo relativamente pequeño que contiene exactamente un máximo local. Nota: Vea también fMín() y Max(). |
|
|
Catálogo > |
|
|
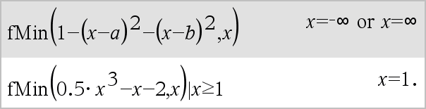
fMín(Expr, Var)Þexpresión Booleana fMín(Expr, Var,límiteInferior) fMín(Expr, Var,límiteInferior,límiteSuperior) fMín(Expr, Var) | límiteInferior{Var{límiteSuperior Entrega una expresión Booleana que especifica valores candidatos de Var que minimizan Expr o ubican su límite inferior mayor. Puede utilizar el operador restrictivo ("|") para restringir el intervalo de solución o especificar otras restricciones. Para la configuración aproximada del modo Auto o Aproximado, fMín() busca iterativamente un mínimo local aproximado. Con frecuencia esto es más rápido, en particular si usted usa el operador “|” para restringir la búsqueda a un intervalo relativamente pequeño que contiene exactamente un mínimo local. Nota: Vea también fMax() y mín(). |
|
|
Catálogo > |
|
|
For Var, Bajo, Alto [, Paso] Ejecuta las sentencias en Bloque iterativamente para cada valor de Var, desde Bajo hasta Alto, en incrementos de Paso. Var no debe ser una variable de sistema. Paso puede ser positivo o negativo. El valor predeterminado es 1. Bloque puede ser una sentencia sencilla o una serie de sentencias separadas con el caracter ":". Nota para introducir el ejemplo: Para obtener instrucciones sobre cómo introducir las definiciones de programas y funciones en varias líneas, consulte la sección Calculadora de la guía del producto. |
|
|
Catálogo > |
|
|
format(Expr[, cadenaFormato])Þcadena Entrega Expr como una cadena de caracteres con base en la plantilla de formato. Expr debe simplificarse a un número. cadenaFormato es una cadena y debe ser en la forma: “F[n]”, “S[n]”, “E[n]”, “G[n][c]”, donde [ ] indican porciones adicionales. F[n]: Formato fijo. n es el número de dígitos a desplegar después del punto decimal. S[n]: Formato científico. n es el número de dígitos a desplegar después del punto decimal. E[n]: Formato de ingeniería. n es el número de dígitos después del primer dígito significativo. El exponente se ajusta a un múltiplo de tres, y el punto decimal se mueve hacia la derecha por cero, uno o dos dígitos. G[n][c]: Igual que el formato fijo, pero también separa los dígitos hacia la izquierda de la raíz en grupos de tres. c especifica el caracter del separador del grupo y se predetermina a una coma. Si c es un punto, la raíz se mostrará como una coma. [Rc]: Cualquiera de los especificadores anteriores puede tener un sufijo con la bandera de la raíz Rc, donde c es un caracter sencillo que especifica qué sustituir para el punto de la raíz. |
|
|
Catálogo > |
|
|
fPart(Expr1)Þexpresión fPart(Lista1)Þlista fPart(Matriz1)Þmatriz Entrega la parte fraccional del argumento. Para una lista o matriz, entrega las partes fraccionales de los elementos. El argumento puede ser un número real o complejo. |
|
|
Catálogo > |
|
|
FPdf(XVal,númerodf,denomdf)Þnúmero si XVal es un número, lista si XVal es una lista Resuelve la probabilidad de distribución F en XVal para los númerodf (grados de libertad) y denomdfespecificados. |
|
|
Catálogo > |
|
|
freqTable4list(Lista1,listaEnteroFrec)Þlista Entrega una lista que contiene los elementos desde Lista1 expandida de acuerdo con las frecuencias en listaEnteroFrec. Esta función se puede usar para construir una tabla de frecuencia para la aplicación de Datos y Estadísticas. Lista1 puede ser cualquier lista válida. listaEnteroFrec debe tener la misma dimensión que Lista1 y debe contener sólo elementos enteros no negativos. Cada elemento especifica el número de veces que el elemento de Lista1 correspondiente se repetirá en la lista de resultados. Un valor de cero excluye el elemento de Lista1 correspondiente. Nota: Usted puede insertar esta función desde el teclado de la computadora al escribir freqTable@>list(...). Los elementos vacíos (anulados) se ignoran. Para obtener más información sobre elementos vacíos, vea aquí. |
|
|
Catálogo > |
|
|
frequency(Lista1,listaCajones)Þlista Entrega una lista que contiene los conteos de los elementos en Lista1. Los conteos se basan en los rangos (cajones) que usted define en listaCajones. Si listaCajones es {b(1), b(2), …, b(n)}, los rangos especificados son {?{b(1), b(1)<?{b(2),…,b(n-1)<?{b(n), b(n)>?}. La lista resultante es un elemento más largo que listaCajones. Cada elemento del resultado corresponde al número de elementos de Lista1 que están en el rango de ese cajón. Expresado en términos de la función countIf() , el resultado es { conteoSi(lista, ?{b(1)), conteoSi(lista, b(1)<?{b(2)), …, conteoSi(lista, b(n-1)<?{b(n)), conteoSi(lista, b(n)>?)}. Los elementos de Lista1 que no pueden estar “colocados en un cajón” se ignoran. Los elementos (inválidos) vacíos también se ignoran. Para obtener más información sobre elementos vacíos, vea aquí. Dentro de la aplicación Listas y Hoja de Cálculo, usted puede usar un rango de celdas en lugar de ambos argumentos. Nota: Vea también countIf(), aquí. |
Explicación del resultado: 2 elementos de listaDatos son {2.5 4 elementos de listaDatos son >2.5 y {4.5 3 elementos de listaDatos son >4.5 El elemento "hola" es una cadena y no se puede colocar en ninguno de los cajones definidos. |
|
Catálogo > |
|
|
FTest_2Samp Lista1,Lista2[,Frec1[,Frec2[,Hipot]]] FTest_2Samp Lista1,Lista2[,Frec1[,Frec2[,Hipot]]] (Entrada de lista de datos) FTest_2Samp sx1,n1,sx2,n2[,Hipot] FTest_2Samp sx1,n1,sx2,n2[,Hipot] (Entrada de estadísticas de resumen) Realiza una prueba F de dos muestras. Un resumen de resultados se almacena en la variable stat.results (aquí). Para Ha: s1 > s2, configurar Hipot>0 Para Ha: s1 ƒ s2 (predeterminado), configurar Hipot =0 Para Ha: s1 < s2, configurar Hipot<0 Para obtener información sobre el efecto de los elementos vacíos en una lista, vea “Elementos vacíos (inválidos)” (aquí). |
|
|
Variable de salida |
Descripción |
|
stat.F |
Estadística Û calculada para la secuencia de datos |
|
stat.ValP |
Nivel más bajo de significancia en el cual la hipótesis nula se puede rechazar |
|
stat.númerodf |
grados de libertad del numerador = n1-1 |
|
stat.denomdf |
grados de libertad del denominador = n2-1 |
|
stat.sx1, stat.sx2 |
Desviaciones estándar de muestra de las secuencias de datos en Lista 1 y Lista 2 |
|
stat.x1_bar stat.x2_bar |
Muestra significa las secuencias de datos en Lista 1 y Lista 2 |
|
stat.n1, stat.n2 |
Tamaño de las muestras |
|
Catálogo > |
|
|
Func Plantilla para crear una función definida por el usuario. Bloque puede ser una sentencia sencilla, una serie de sentencias separadas con el caracter ":" o una serie de sentencias en líneas separadas. La función puede usar la instrucción Return para producir un resultado específico. Nota para introducir el ejemplo: Para obtener instrucciones sobre cómo introducir las definiciones de programas y funciones en varias líneas, consulte la sección Calculadora de la guía del producto. |
Defina una función de compuesto de variables:
Resultado de graficar g(x)
|
