S
|
µ 鍵 |
|
|
sec(運算式1) Þ 運算式 sec(列表1) Þ 列表 傳回 運算式1 的正割值,或傳回包含列表1 中各元素之正割的列表。 附註: 系統會根據目前的角度模式設定,將引數解譯為度數角、梯度角或弧度角。您可使用 ¡、 G 或 R來暫時覆寫角度模式。 |
度數角模式:
|
|
µ 鍵 |
|
|
sec/(運算式1) Þ 運算式 sec/(列表1) Þ 列表 傳回正割值是 運算式1 的角度,或傳回包含列表1 中各元素之反正割值的列表。 附註: 系統會根據目前的角度模式設定,將結果傳回為度數角、梯度角或弧度角。 附註: 如果要從鍵盤插入本函數,可輸入 arcsec(...)。 |
度數角模式:
梯度角模式:
弧度角模式:
|
|
目錄 > |
|
|
sech(運算式1) Þ 運算式 sech(列表1) Þ 列表 傳回 運算式1 的雙曲正割值,或傳回包含列表1 各元素之雙曲正割值的列表。 |
|
|
目錄 > |
|
|
sech/(運算式1) Þ 運算式 sec/(列表1) Þ 列表 傳回 運算式1 的反雙曲正割值,或傳回包含列表1 中各元素之反雙曲正割值的列表。 附註: 如果要從鍵盤插入本函數,可輸入 arcsech(...)。 |
弧度角與直角複數模式:
|
|
分享器功能表 |
|
|
程式設計指令:傳送一個或多個 TI-Innovator™ Hub 指令到已連接的分享器。 exprOrString 必須是有效的 TI-Innovator™ Hub 指令。exprOrString 通常包含 "SET ..." 指令以控制裝置,或包含 "READ ..." 指令以要求資料。 引數會連續傳送到分享器。 附註:您可以在使用者自行定義的程式中使用 Send 指令,但無法在函數中使用。 |
例如:將內建 RGB LED 的藍色元素開啟 0.5 秒。
例如:要求分享器內建亮度等級感應器目前的值。Get 指令會擷取數值,並將數值指定給變數 lightval。
例如:將完成計算的頻率傳送到分享器內建的喇叭。使用特殊變數 iostr.SendAns 可顯示分享器指令,並將求得的運算式包含在內。
|
|
目錄 > |
|
|
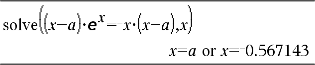
seq(Expr, Var, 低, 高[, 步階])Þ列表 從 Low 到 High 增加 Var 值 (以 Step 為增量級距),對 Expr 求值,並以列表將結果傳回。 Step 的預設值 = 1。 |
附註: 強迫表示結果近似值, 計算機: 按 / ·。
|
|
目錄 > |
|
|
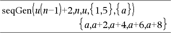
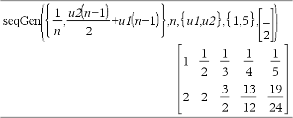
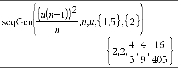
針對序列 depVar(Var)=Expr 產生項列表,如下所示:從 Var0 到 VarMax 增加自變數 Var 的值 (以 VarStep 為增量級距),使用 Expr 公式及 ListOfInitTerms 求 depVar(Var)對應於 Var 的值,並將結果傳回為列表。
針對序列 ListOfDepVars(Var)=ListOrSystemOfExpr 產生方程組 (或列表) 的項矩陣,如下所示:從 Var0 到 VarMax 增加自變數 Var 的值 (以 VarStep 為增量級距),使用 ListOrSystemOfExpr 公式及 MatrixOfInitTerms 求 ListOfDepVars(Var)對應於 Var 的值,並將結果傳回為矩陣。 VarStep 的預設值 = 1。 |
產生序列 u(n) = u(n-1)2/2 的前 5 項,其中 u(1)=2 且 VarStep=1。
Var0=2 的範例:
兩個序列的方程組:
附註:以上初始項矩陣中的 Void (_) 是用來指明 u1(n) 的初始項是使用顯序列公式 u1(n)=1/n 所計算的。 |
|
目錄 > |
|
|
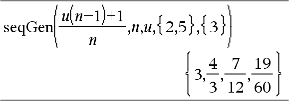
針對序列 u(n)=Expr(u, n) 產生項列表,如下所示:從 1 到 nMax 增加 n 的值 (以 1 為增量級距),使用 Expr(u, n) 公式及 ListOfInitTerms 對 n 的對應值求 u(n) 的值,並將結果傳回為列表。
針對非遞迴序列 u(n)=Expr(n) 產生項列表,如下所示:從 1 到 nMax 增加 n 的值 (以 1 為增量級距),使用 Expr(n) 公式求 u(n) 對應於 n 的值,並將結果傳回為列表。 如果沒有 nMax,設定 nMax 為 2500 如果 nMax=0,則設定 nMax 為 2500 附註: |
產生序列 u(n) = u(n-1)/2 的前 6 項,其中 u(1)=2。
|
|
目錄 > |
|
|
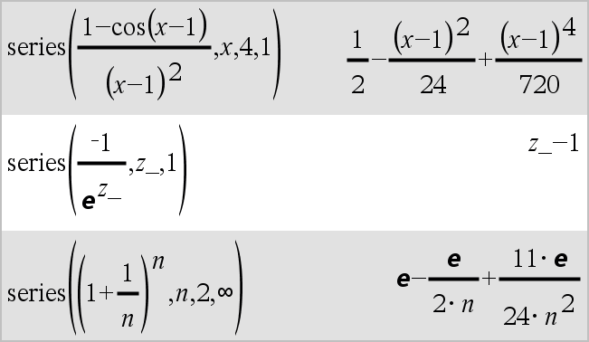
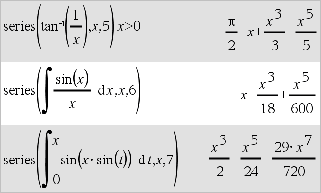
series(運算式1, Var, 階數 [, 點])Þ運算式 series(運算式1, Var, 階數 [, 點]) | Var>點Þ運算式 series(運算式1, Var, 階數 [, 點]) | Var<點Þ運算式
傳回代表運算式1 的廣義冪級數截斷式,且該運算式繞著點展開(透過階數)。階數可以是任何有理數。(Var N 點) 求出的乘冪可以是負指數,也可以是分數指數。這些乘冪的係數可包括 (Var N 點) 的對數,以及受制於 (Var N 點) 所有乘冪(指數符號相同)之 Var 的其他函數。 點的預設值是 0。點可以是 ˆ 也可以是 Nˆ。若是這兩種情形,則展開時是透過 1/(Var N 點) 中的階數次數。 series(...)在無法求解時會傳回「series(...)」,例如針對 z=0 的 sin(1/z)、z=0 的 eN1/z,或 z = ˆ或 Nˆ 的 ez 這類實質奇點時。 若級數或其中一個導數在點處有跳躍不連續性,則結果可能包含 sign(…) 形式的子運算式,或實數展開變數的 abs(…),或複數展開變數(以「_」結尾)的 (-1)floor(…angle(…)…)。若只需將級數用於點其中一側的值,請加上「| Var > 點」、「| Var < 點」、「| 「Var | 點」或「Var { 點」的其中一項,以便簡化結果。 series() 可為不定積分和定積分提供符號近似值(若以其他方式無法求得符號解)。 series() 分布在第一個引數列表和矩陣中。 series() 是 taylor() 的廣義版本。 如右邊最後一例所示,series(...)求出結果的顯示常式下游可能重排各項順序,讓最左邊的項不是主要項。 附註: 另請參考 dominantTerm(),這裡。 |
|
|
目錄 > |
|
|
setMode(列表) Þ整數列表 只在函數或程式中才有效。 setMode(模式名稱整數, 設定整數) 可暫時將模式名稱整數的模式設成設定整數這個新設定,並傳回該模式原始設定的對應整數。這項變動受限於程式/函數的執行時間。 模式名稱整數用於指定您要的模式,必須設定成下表列出的模式整數。 設定整數用於指定該模式的新設定,必須是下列欲設定模式的其中一個設定整數。 setMode(列表) 可讓您更改多項設定。列表內容是成對的模式整數和設定整數。setMode(列表):傳回類似的表,但內容是代表原始模式和設定的成對整數。 若您以 getMode(0) & var 儲存所有的模式設定,則可用 setMode(var) 還原這些設定,直到函數或程式存在為止。請參考 getMode(),這裡。 附註: 系統會將目前的模式設定,傳遞給所呼叫的副程式。若任何副程式更動了模式設定,則控制權回到發出呼叫的程式時,所更改的模式就會消失。 輸入 範例的注意事項: 關於輸入多行程式和函數定義的說明,請參閱產品手冊中的「計算工具」章節。 |
利用「顯示位數」的預設值,顯示 p 的近似值,然後以 Fix2 的設定顯示 p。執行程式後,請檢查預設值是否還原。
|
|
模式 名稱 |
模式 整數 |
設定整數 |
|
顯示位數 |
1 |
1=浮點數、2=浮點數1、3=浮點數2、4=浮點數3、5=浮點數4、6=浮點數5、7=浮點數6、8=浮點數7、9=浮點數8、10=浮點數9、11=浮點數10、12=浮點數11、13=浮點數12、14=固定0、15=固定1、16=固定2、17=固定3、18=固定4、19=固定5、20=固定6、21=固定7、22=固定8、23=固定9、24=固定10、25=固定11、26=固定12 |
|
角度 |
2 |
1=弧度角、2=度數角、3=梯度角 |
|
指數格式 |
3 |
1=正常、2=科學、3=工程 |
|
實數或複數 |
4 |
1=實數、2=直角座標、3=極座標 |
|
自動或近似值 |
5 |
1=自動、2=近似值 |
|
向量格式 |
6 |
1=直角座標、2=圓柱座標、3=球面座標 |
|
基底 |
7 |
1=十進位、2=十六進位、3=二進位 |
|
單位制 |
8 |
1=國際單位制、2=英制 |
|
目錄 > |
|
|
shift(整數1[,移位位數])Þ整數 移動二進位整數中的位元。您可以用任何數基輸入整數1;系統會自動轉換成有正負號的 64 位元二進位形式。若整數1 太大,超出這種格式的範圍,系統會以對稱模數運算法使其落入範圍。如需詳細資訊,請參閱 4Base2, 這裡。 若移位位數是正值,則向左移位。若移位位數是負值,則向右移位。預設值是 L1(向右移一位)。 向右移位時會捨棄最右邊的位元並補上 0 或 1,以符合最左邊的位元。向左移位時會捨棄最左邊的位元,並補上 0 當作最右邊的位元。 例如向右移位時: 每個位元向右移位。 0b0000000000000111101011000011010 若最左邊的位元是 0,則補上 0; 若最左邊的位元是 1,則補上 1。 求出: 0b00000000000000111101011000011010 所顯示的結果會以基底模式為準。系統不會顯示最前面的零。 |
二進位基底模式:
十六進位基底模式:
重要訊息: 若要輸入二進位或十六進位數字,前面一定要有 0b 或 0h 字首(數字零,而非英文字母 O)。 |
|
shift(列表1 [,移位位數])Þ列表 傳回列表1 左右移動移位位數個元素後的副本。請勿更改列表1。 若移位位數是正值,則向左移位。若移位位數是負值,則向右移位。預設值是 L1(向右移動一個元素)。 因移位而在列表開頭或結尾加入的元素,系統會將其設定為「undef」符號。 |
十進位基底模式:
|
|
shift(字串1 [,移位位數])Þ字串 傳回字串1 左右移動移位位數個字元後的副本。請勿更改字串1。 若移位位數是正值,則向左移位。若移位位數是負值,則向右移位。預設值是 L1(向右移動一個字元)。 因移位而在字串開頭或結尾加入的字元,系統會將其設定為空格。 |
|
|
目錄 > |
|
|
sign(運算式1)Þ運算式 sign(列表1)Þ列表 sign(矩陣1)Þ矩陣 若是實數或複數 運算式1,則 運算式1ƒ 0 時傳回 運算式1/abs(運算式1)。 若 運算式1 是正值,則傳回 1。 若 運算式1 是負值,則傳回 L1。 sign(0) 傳回 „1 的前提是複數格式模式為實數,否則會傳回自己的值。 sign(0) 代表複數值域中的單位圓。 若是列表或矩陣,則傳回各元素的正負號。 |
若複數格式模式是實數:
|
|
目錄 > |
|||||||
|
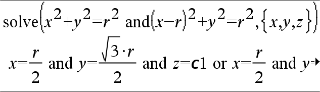
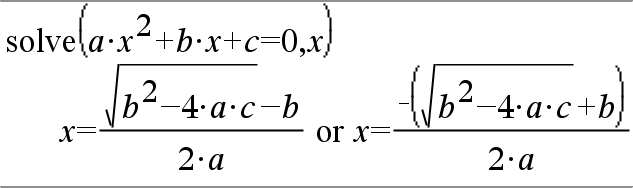
simult(coeffMatrix, constVector[, Tol])Þ矩陣 傳回行向量,內容包含線性聯立方程式的解。 附註:另請參考 coeffMatrix 必須是包含方程式係數的方陣。 constVector 的列數必須和 coeffMatrix 相同(維數相同),而且包含常數。 若任何矩陣元素的絕對值小於 Tol(容許值),則亦可將此元素視為零。只有在矩陣中包含浮點數項目,而且不包含尚未賦值的任何符號變數時,才會使用此容許值。其他時候都會忽略 Tol(容許值)。
|
求 x、y 的值: x + 2y = 1 3x + 4y = L1
解答是 x=L3、y=2。
求解: ax + by = 1 cx + dy = 2
|
||||||
|
simult(coeffMatrix, constMatrix[, Tol])Þ矩陣 求解多個線性聯立方程式,每個聯立方程式的方程式係數都相同,但常數不同。 constMatrix 各行必須包含聯立方程式的常數。所求得矩陣中的各行,都包含對應聯立方程式的解。 |
求解: x + 2y = 1 3x + 4y = L1
x + 2y = 2 3x + 4y = L3
第一個聯立方程式是 x=L3、y=2。第二個聯立方程式是 x=L7、y=9/2。 |
|
目錄 > |
|
|
Expr 4sin 附註: 如果要從電腦鍵盤插入本運算子,可輸入 @>sin。 以正弦表示 Expr。這是顯示方式轉換運算子,只能用於輸入線末尾。 4sin 會約化以下所有乘冪 cos(...)modulo 1Nsin(...)^2 讓 sin(...)剩餘乘冪的指數都在 (0, 2) 範圍內。因此若且唯若 cos(...)出現在指定運算式且是偶數乘冪時,結果才會沒有 cos(...)。 附註: 度數角或梯度角模式不支援本轉換運算子。使用前請確認是否已將角度模式設成弧度角,而且 Expr 中並無明確參照度數角或梯度角。 |
|
|
µ 鍵 |
|
|
sin(運算式1)Þ運算式 sin(列表1)Þ列表
sin(列表1):傳回列表1 中各元素之正弦值的列表。 附註: 系統會根據目前的角度模式,將引數解譯為度數角、梯度角或弧度角。您可使用 ¡、G 或 R來暫時覆寫角度模式設定。 |
度數角模式:
梯度角模式:
弧度角模式:
|
|
sin(方陣1)Þ方陣 傳回方陣1 的矩陣正弦。這和計算各元素的正弦不同。若要了解計算方式,請參考 cos()。 方陣1 必需可對角化。結果一定會包含浮點數。 |
弧度角模式:
|
|
µ 鍵 |
|
|
sin/(運算式1)Þ運算式 sin/(列表1)Þ列表
sin/(列表1):傳回列表1 各元素之反正弦值的列表。 附註: 系統會根據目前的角度模式設定,將結果傳回為度數角、梯度角或弧度角。 附註: 如果要從鍵盤插入本函數,可輸入 arcsin(...)。 |
度數角模式:
梯度角模式:
弧度角模式:
|
|
sin/(方陣1)Þ方陣 傳回方陣1 的矩陣反正弦。這和計算各元素的反正弦不同。若要了解計算方式,請參考 cos()。 方陣1 必需可對角化。結果一定會包含浮點數。 |
弧度角模式與直角複數格式模式:
|
|
目錄 > |
|
|
sinh(運算式1)Þ運算式 sinh(列表1)Þ列表
sinh (列表1):傳回列表1 各元素之雙曲正弦值的列表。 |
|
|
sinh (方陣1)Þ方陣 傳回方陣1 的矩陣雙曲正弦。這和計算各元素的雙曲正弦不同。若要了解計算方式,請參考 cos()。 方陣1 必需可對角化。結果一定會包含浮點數。 |
弧度角模式:
|
|
目錄 > |
|
|
sinh/(運算式1)Þ運算式 sinh/(列表1)Þ列表
sinh/(列表1):傳回列表1 各元素之反雙曲正弦值的列表。 附註: 如果要從鍵盤插入本函數,可輸入 arcsinh(...)。 |
|
|
sinh/(方陣1)Þ方陣 傳回方陣1 的矩陣反雙曲正弦。這和計算各元素的反雙曲正弦不同。若要了解計算方式,請參考 cos()。 方陣1 必需可對角化。結果一定會包含浮點數。 |
弧度角模式:
|
|
目錄 > |
|
|
SinReg X, Y [ , [迭代] ,[ 週期] [, 類別, 包含] ] 計算 X 列表與 Y 列表的正弦迴歸。stat.results 變數會儲存結果摘要(請參閱第 這裡 頁)。 所有列表的維數都必須相同,包含除外。 X、Y 是自變數和因變數列表。 迭代值用於指定求解次數的上限(1 至 16)。若省略,則會採用 8。通常值越大精度越高,但執行時間越久,反之亦然。 週期用於指定預估週期。若省略,則 X 中各值的差應該相等,而且依照順序。若您指定週期,則 x 中各值的差應該不同。 類別是 X、Y 對應資料的類別代號列表。 包含是一個以上類別代號的列表。只有本列表中類別代號所對應的資料項目,才會包含在計算作業中。 無論使用何種角度模式設定,SinReg 輸出都一定是採用弧度角形式。 如要了解列表中有空元素時的影響,請參考°ß空元素°®,這裡。 |
|
|
輸出變數 |
說明 |
|
stat.RegEqn |
迴歸方程式:a·sin(bx+c)+d |
|
stat.a、stat.b、stat.c、stat.d |
迴歸係數 |
|
stat.Resid |
迴歸殘差 |
|
stat.XReg |
實際用於迴歸的已修改 X 列表中的資料點列表(根據 Freq、類別列表、包含類別的限制) |
|
stat.YReg |
實際用於迴歸的已修改 Y 列表中的資料點列表(根據 Freq、類別列表、包含類別的限制) |
|
stat.FreqReg |
stat.XReg 與 stat.YReg 對應的頻率列表 |
|
目錄 > |
|
|
SortA 列表1[, 列表2] [, 列表3] ... SortA 向量1[, 向量2] [, 向量3] ... 以升冪順序排列第一個引數的元素。 若您加入其他引數,則各引數中的元素會重新排列,以便對應第一個引數中各元素的新位置。 所有引數都必須是列表或向量名稱,而且維數必須相同。 系統會把第一個引數中的空元素移到末尾。如需空元素的詳細資訊,請參考第 這裡 頁。 |
|
|
目錄 > |
|
|
SortD 列表1[, 列表2] [, 列表3] ... SortD 向量1[, 向量2] [,向量3] ... 與 SortA 相同,但 SortD 會以降冪順序排列各元素。 系統會把第一個引數中的空元素移到末尾。如需空元素的詳細資訊,請參考第 這裡 頁。 |
|
|
目錄 > |
|
|
向量 4Sphere 附註: 如果要從電腦鍵盤插入本運算子,可輸入 @>Sphere。 以球面座標形式 [r ±q ±f] 顯示列向量或行向量。 向量必須是 3 維,而且可以是列向量也可以是行向量。 附註: 4Sphere 是顯示格式指令,並非轉換函數。本指令只能用於輸入線的末尾。 |
附註: 強迫表示結果近似值, 計算機: 按 / ·。
附註: 強迫表示結果近似值, 計算機: 按 / ·。
按 ·
|
|
目錄 > |
|
|
sqrt(運算式1)Þ運算式 sqrt(列表1)Þ列表 傳回引數的平方根。 若是列表,則傳回列表1 中各元素的平方根。 附註: 另請參考平方根範本,這裡。 |
|
|
目錄 > |
|
|
stat.results 顯示統計計算結果。 系統會將結果顯示為一組成對的「名稱/值」。所顯示的特定名稱,要看最近求值的統計函數或指令而定。 您可複製名稱或值,然後貼到其他位置。
附註: 定義變數時,請避免讓名稱和統計分析變數相同,否則有時可能出現錯誤。下表列出統計分析時所用的變數名稱。 |
|
|
stat.a stat.AdjR² stat.b stat.b0 stat.b1 stat.b2 stat.b3 stat.b4 stat.b5 stat.b6 stat.b7 stat.b8 stat.b9 stat.b10 stat.bList stat.c² stat.c stat.CLower stat.CLowerList stat.CompList stat.CompMatrix stat.CookDist stat.CUpper stat.CUpperList stat.d |
stat.dfDenom stat.dfBlock stat.dfCol stat.dfError stat.dfInteract stat.dfReg stat.dfNumer stat.dfRow stat.DW stat.e stat.ExpMatrix stat.F stat.FBlock stat.Fcol stat.FInteract stat.FreqReg stat.Frow stat.Leverage stat.LowerPred stat.LowerVal stat.m stat.MaxX stat.MaxY stat.ME stat.MedianX |
stat.MedianY stat.MEPred stat.MinX stat.MinY stat.MS stat.MSBlock stat.MSCol stat.MSError stat.MSInteract stat.MSReg stat.MSRow stat.n stat.Ç stat.Ç1 stat.Ç2 stat.ÇDiff stat.PList stat.PVal stat.PValBlock stat.PValCol stat.PValInteract stat.PValRow stat.Q1X stat.Q1Y |
stat.Q3X stat.Q3Y stat.r stat.r² stat.RegEqn stat.Resid stat.ResidTrans stat.sx stat.sy stat.sx1 stat.sx2 stat.Gx stat.Gx² stat.Gxy stat.Gy stat.Gy² stat.s stat.SE stat.SEList stat.SEPred stat.sResid stat.SEslope stat.sp stat.SS |
stat.SSBlock stat.SSCol stat.SSX stat.SSY stat.SSError stat.SSInteract stat.SSReg stat.SSRow stat.tList stat.UpperPred stat.UpperVal stat.v stat.v1 stat.v 2 stat.v Diff stat.vList stat.XReg stat.XVal stat.XValList stat.w stat.w stat.wList stat.YReg |
|
附註: Lists & Spreadsheet 應用程式每次計算統計結果時,就會將「stat.」群組變數複製到「stat#.」群組。# 代表自動增量值。本功能讓您保留以前的結果,同時執行多次計算。 |
|
目錄 > |
|
|
stat.values 針對最近求值的統計函數或指令,顯示計算出來的數值矩陣。 stat.values 會省略數值的對應名稱,這一點與 stat.results 不同。 您可複製數值,然後貼到其他位置。 |
請參考 stat.results 範例。 |
|
目錄 > |
|
|
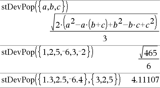
stDevPop(列表[, 頻率列表])Þ運算式 傳回列表元素的母群體標準差。 頻率列表的每個元素,代表列表中對應元素的連續出現次數。 附註: 列表至少必須有兩個元素。空元素會被忽略。如需空元素的詳細資訊,請參考第 這裡 頁。 |
弧度角與自動模式:
|
|
stDevPop(矩陣1[, 頻率矩陣])Þ矩陣 傳回矩陣1 中各行母群體標準差的列向量。 頻率矩陣的每個元素,代表矩陣1 中對應元素的連續出現次數。 附註: 矩陣1 至少必須有兩列。空元素會被忽略。如需空元素的詳細資訊,請參考第 這裡 頁。 |
|
|
目錄 > |
|
|
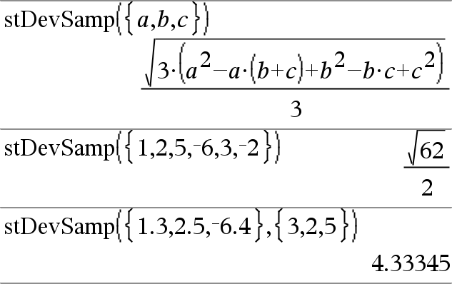
stDevSamp(列表[, 頻率列表])Þ運算式 傳回列表元素的樣本標準差。 頻率列表的每個元素,代表列表中對應元素的連續出現次數。 附註: 列表至少必須有兩個元素。空元素會被忽略。如需空元素的詳細資訊,請參考第 這裡 頁。 |
|
|
stDevSamp(矩陣1[, 頻率矩陣])Þ矩陣 傳回矩陣1 中各行樣本標準差的列向量。 頻率矩陣的每個元素,代表矩陣1 中對應元素的連續出現次數。 附註: 矩陣1 至少必須有兩列。空元素會被忽略。如需空元素的詳細資訊,請參考第 這裡 頁。 |
|
|
目錄 > |
|
|
Stop 程式設計指令:中止程式。 Stop 不得用於函數中。 輸入 範例的注意事項: 關於輸入多行程式和函數定義的說明,請參閱產品手冊中的「計算工具」章節。 |
|
|
請參考 & (store),這裡。 |
|
|
|
|
|
目錄 > |
|
|
string(Expr)Þ字串 化簡 Expr 並將結果傳回為字元字串。 |
|
|
目錄 > |
|
|
subMat(矩陣1[, 起始列] [, 起始行] [, 結束列] [, 結束行]) Þ矩陣 傳回矩陣1 的指定子矩陣。 預設值:起始列=1、起始行=1、結束列=最後一列、結束行=最後一行。 |
|
|
請參考 G(),這裡。 |
|
|
|
|
|
目錄 > |
|
|
sum(列表[, 起點[, 終點]])Þ運算式 傳回列表中各元素的和。 起點和終點可選擇性輸入,用於指定元素範圍。 若有任何空引數,都會求出空結果。列表中的空元素會遭到忽略。如需空元素的詳細資訊,請參考第 這裡 頁。 |
|
|
sum(矩陣1[, 起點[, 終點]])Þ矩陣 傳回包含矩陣1 中各行所有元素和的列向量。 起點和終點可選擇性輸入,用於指定列範圍。 若有任何空引數,都會求出空結果。矩陣1 中的空元素會遭到忽略。如需空元素的詳細資訊,請參考第 這裡 頁。 |
|
|
目錄 > |
|||||||
|
sumIf(列表,準則[, 總和表])Þ值 傳回列表中符合指定準則之所有元素的累積總和。您也可以指定另一個列表(總和表),以提供要累加的元素。 列表可以是運算式、列表或矩陣。總和表(若有指定)與列表的維數必須相同。 準則可以有以下形式:
列表中的某元素若符合準則,就會將該元素計入累積總和。若您加入總和表,則會改而將總和表中的對應元素計入總和。 您可在 Lists & Spreadsheet 應用程式中用儲存格範圍取代列表與總和表。 空元素會被忽略。如需空元素的詳細資訊,請參考第 這裡 頁。 附註: 另請參考 countIf(),這裡。 |
|
|
請參考 G(),這裡。 |
|
|
|
|
|
目錄 > |
|
|
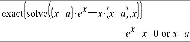
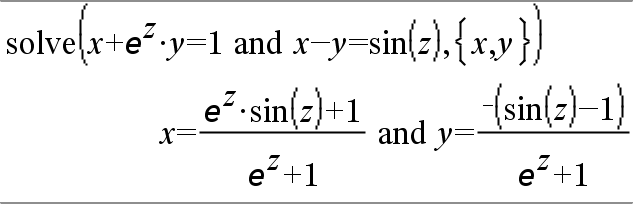
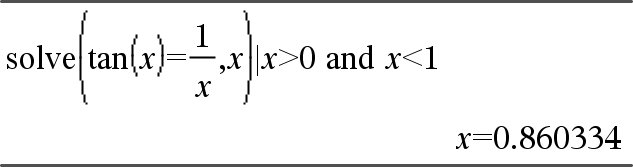
system(Eqn1 [, Eqn2 [, Eqn3 [, ...]]]) system(運算式1 [, 運算式2 [, 運算式3 [, ...]]]) 傳回列表格式的聯立方程式。您也可以利用範本建立聯立方程式。
|
|

。