C
|
目錄 > |
|
|
ceiling(運算式1)Þ整數 傳回大於 | 引數且最接近的整數。 引數可以是實數也可以是複數。 附註: 另請參考 floor()。 |
|
|
ceiling(列表1)Þ列表 ceiling(矩陣1)Þ矩陣 傳回各元素無條件進入後的列表或矩陣。 |
|
|
目錄 > |
|
|
使用中央差商公式傳回數值導數。 指定值時,此值會取代之前賦值的所有變數,或目前以「|」取代的所有該變數。 Step 代表步階值。如果省略步階,則會以 0.001 為預設值。 使用列表1 或矩陣1 時,運算作業會對應到列表中的值或矩陣元素。 附註: 另請參考 avgRC() |
|
|
目錄 > |
|
|
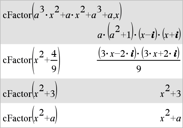
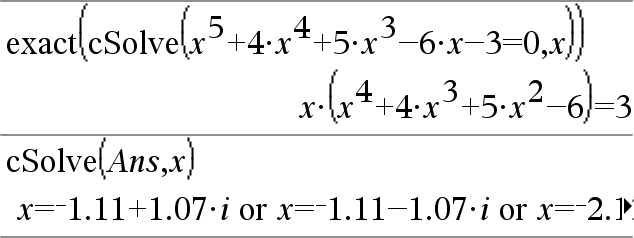
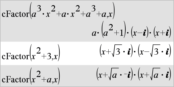
cFactor(運算式1[,Var])Þ運算式 cFactor(列表1[,Var])Þ列表 cFactor(矩陣1[,Var])Þ矩陣
cFactor(運算式1):傳回對所有變數除以公分母進行因式分解的 運算式1。 對 運算式1 進行因式分解時,即使可能導入新的非實數,仍會儘量朝線性有理因式進行。如果您想進行對多個變數的因式分解,即可使用這個選項。 |
|
|
cFactor(運算式1,Var):傳回對 Var 進行因式分解的 運算式1。 對 運算式1 進行因式分解時,即使可能導入無理常數或在其他變數中無理的子運算式,仍會儘量朝在 Var 中線性的因式進行。 因式和其中的項以 Var 為主變數進行排序。系統將匯集各因式中 Var 的類似乘冪。如果只需要對 Var 進行因式分解,而且您可接受其他變數中有無理式,以便增加對 Var 的因式分解,請加入該變數。可能會對其他變數進行偶發因式分解。 |
|
|
如果在自動或近似值模式中設定為自動,則加入 Var 時,也能在無法以內建函數來明確表達簡潔的無理係數時,以浮點係數計算近似值。即使只有一個變數,加入 Var 也可能有更完整的因式分解。 附註: 另請參考 factor()。 |
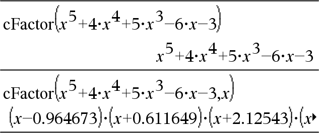
若要看到完整結果,請按 5,然後使用 7 與 8 移動游標。 |
|
目錄 > |
|
|
char(Integer)Þ字元 傳回計算機字元集中屬於 Integer 編號字元的字元字串。Integer 的有效範圍是 0–65535。 |
|
|
目錄 > |
|
|
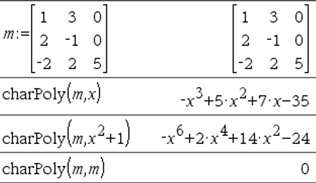
charPoly(方陣,Var)Þ多項式 charPoly(方陣,Expr)Þ多項式 charPoly(方陣1,矩陣2)Þ多項式 傳回方陣的特徵多項式。n×n 矩陣 A 的特徵多項式(以 pA(l) 代表)定義如下: pA(l) = det(l‧ I NA) I 代表 n×n 單位矩陣。 方陣1 和方陣2 的維度必須相同。 |
|
|
目錄 > |
|
|
c22way obsMatrix chi22way obsMatrix 計算 c2 檢定,以用於 obsMatrix 觀察矩陣中計數的雙向交叉表之結合。stat.results 變數會儲存結果摘要(請參閱第 這裡 頁)。 如要了解矩陣中有空元素時的影響,請參考°ß空元素°®,這裡。 |
|
|
輸出變數 |
說明 |
|
stat.c2 |
卡方檢定統計:sum (觀察 - 預期)2/預期 |
|
stat.PVal |
無效假說被否定之最低意義標準 |
|
stat.df |
卡方檢定統計的自由度 |
|
stat.ExpMat |
預期基本計數表的矩陣,假定無效假說 |
|
stat.CompMat |
基本卡方統計貢獻的矩陣 |
|
目錄 > |
|
|
c2Cdf(下限,上限,df)Þ數字(若下限和上限是數字)或列表(若下限和上限是列表) chi2Cdf(下限,上限,df)Þ數字(若下限和上限是數字)或列表(若下限和上限是列表) 針對指定自由度 df 的下限和上限之間,計算 c2 分布機率。 對於 P(X { 上限),請設定下限=0 如要了解列表中有空元素時的影響,請參考°ß空元素°®,這裡。 |
|
|
目錄 > |
|
|
c2GOF 觀察列表,預期列表,df chi2GOF 觀察列表,預期列表,df 執行檢定,確認資料樣本的確來自符合特定分布的母群體。觀察列表是計數的列表,必須包含整數。stat.results 變數會儲存結果摘要(請參閱第 這裡 頁)。 如要了解列表中有空元素時的影響,請參考°ß空元素°®,這裡。 |
|
|
輸出變數 |
說明 |
|
stat.c2 |
卡方檢定統計:sum (觀察 - 預期)2/預期 |
|
stat.PVal |
無效假說被否定之最低意義標準 |
|
stat.df |
卡方檢定統計的自由度 |
|
stat.CompList |
基本卡方統計貢獻 |
|
目錄 > |
|
|
c2Pdf(XVal,df)Þ數字(若 XVal 是數字)或列表(若 XVal 是列表) chi2Pdf(XVal,df)Þ數字(若 XVal 是數字)或列表(若 XVal 是列表) 針對指定自由度 df,計算 c2 分布在指定 XVal 值的機率密度函數(pdf)。 如要了解列表中有空元素時的影響,請參考°ß空元素°®,這裡。 |
|
|
目錄 > |
|
|
ClearAZ 清除目前問題空間中的所有單字元變數。 如果一個以上的變數已遭鎖定,本指令會顯示錯誤訊息,並只刪除未鎖定的變數。請參考 |
|
|
目錄 > |
|
|
清除錯誤狀態,並將系統變數 errCode 設定成零。 Try...Else...EndTry 段的 Else 子句應該使用 ClrErr 或 PassErr。若要處理或忽略錯誤,請使用 ClrErr。若不知如何處理錯誤,請用 PassErr 送到下一個錯誤處理程式。若已經沒有待處理的 Try...Else...EndTry 錯誤處理程式,則錯誤對話方塊將顯示為正常。 附註: 另請參考第 這裡 頁的 PassErr 和第 這裡 頁的 Try。 輸入 範例的注意事項: 關於輸入多行程式和函數定義的說明,請參閱產品手冊中的「計算工具」章節。 |
若需 ClrErr 的參考範例,請參考第 這裡 頁 Try 指令下的例 2。
|
|
目錄 > |
|
|
colAugment(矩陣1, 矩陣2)Þ矩陣 傳回將矩陣2 加到矩陣1 的新矩陣。矩陣的行數必須相同,並將矩陣2 加到矩陣1 中成為新的列。並不會更改矩陣1 或矩陣2。 |
|
|
目錄 > |
|
|
colDim(矩陣)Þ運算式 傳回矩陣包含的行數。 附註: 另請參考 rowDim()。 |
|
|
目錄 > |
|
|
colNorm(矩陣)Þ運算式 傳回矩陣中各行元素取絕對值後加總之最大值。 附註: 不得有未定義的矩陣元素。另請參考 rowNorm()。 |
|
|
目錄 > |
|
|
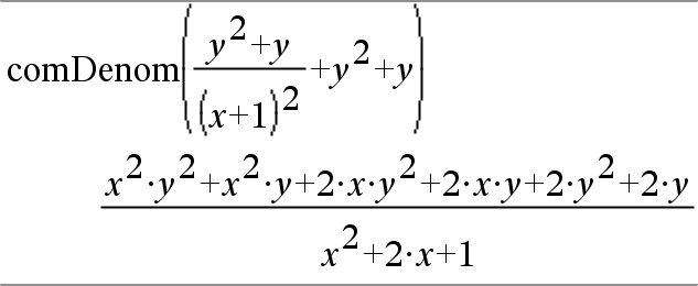
comDenom(運算式1[,Var])Þ運算式 comDenom(列表1[,Var])Þ列表 comDenom(矩陣1[,Var])Þ矩陣
comDenom(運算式1):傳回完全展開分子除以完全展開分母的簡化比例。 |
|
|
comDenom(運算式1,Var):傳回依 Var 展開的分子與分母簡化比例。項和其中的因式以 Var 為主變數進行排序。系統將匯集 Var 的類似乘冪。系統可能對匯集的係數進行偶發因式分解。若與省略 Var 相比,此功能通常能節省時間、記憶體和螢幕空間,並使運算式更容易懂。此函數也能讓根據運算結果進行的後續運算作業更快,而且比較不容易用完記憶體。 |
|
|
若 Var 未出現在 運算式1 中,則 comDenom(運算式1,Var):傳回分子與分母皆未展開的簡化比例。這類結果通常可節省更多時間、記憶體和螢幕空間。這類部份因式分解的結果也能讓根據運算結果進行的後續運算作業快得多,而且更不容易用完記憶體。 |
|
|
即使沒有分母,用 comden 函數進行部份因式分解的速度也通常較快(若 factor() 太慢或是會用完記憶體)。 提示: 輸入此 comden() 函數定義,平常即可以此函數當作 comDenom() 與 factor() 以外的其他選擇。 |
|
|
目錄 > |
|
|
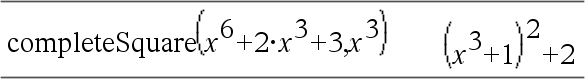
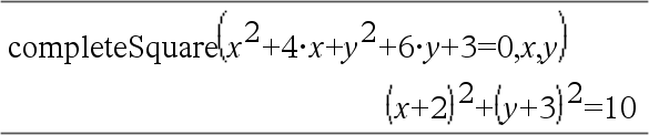
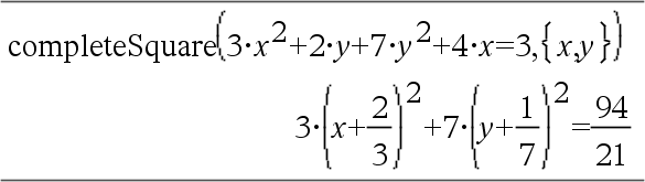
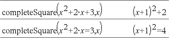
將形式 a·x2+b·x+c 的二次多項式運算式轉換成形式 a·(x-h)2+k - 或 - 將形式 a·x2+b·x+c=d 的二次方程式轉換成形式 a·(x-h)2=k 第一個引數必須是相對於第二個引數而言為標準形式的二次運算式或方程式。 第二個引數必須是單一單變量項或提升至有理數次方的單一單變量項,例如,x、y2 或 z(1/3)。 第三及第四個語法為完成相關變數 Var1, Var2 [,… ]) 的平方。 |
|
|
目錄 > |
|
|
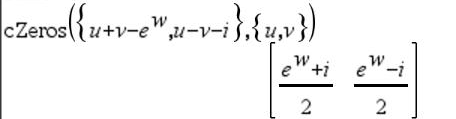
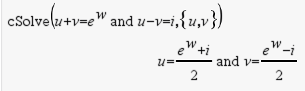
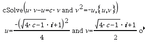
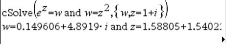
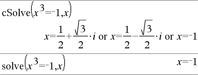
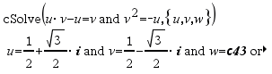
conj(運算式1)Þ運算式 conj(列表1)Þ列表 conj(矩陣1)Þ矩陣 傳回引數的共軛複數。
|
|
|
目錄 > |
|
|
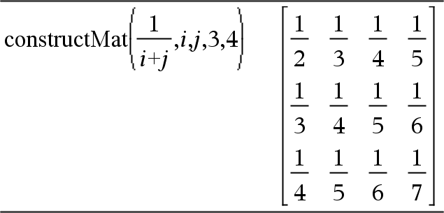
constructMat(Expr,Var1,Var2,numRows,numCols) Þ矩陣 根據引數傳回矩陣。 Expr 代表以 Var1 與 Var2 為變數的運算式。所產生矩陣中的各元素,是由對 Var1 與 Var2 求值的每個增量值之 Expr 而來。 Var1 是自動由第 1 列到第 numRows 列增量而成。Var2 是在每一列中從第 1 行到第 numCols 行增量而成。 |
|
|
目錄 > |
|
|
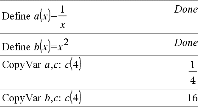
CopyVar Var1, Var2 CopyVar Var1., Var2. CopyVar Var1, Var2 會把 Var1 變數的值複製到 Var2 變數,必要時會建立 Var2。Var1 變數必須有值。 若 Var1 是既有使用者定義函數的名稱,則將該函數的定義複製到 Var2 函數。您必須定義 Var1 函數。 Var1 必須符合變數命名規則,或必須是能化簡成符合規則之變數名稱的間接取值運算式。 |
|
|
CopyVar Var1., Var2.可把 Var1.變數群組的所有成員複製到 Var2.群組,必要時會建立 Var2.。 Var1.必須是既有變數群組的名稱(例如 stat.nn 統計結果),或是用 |
|
|
目錄 > |
|
|
corrMat(列表1,列表2[,...[,列表20]]) 計算擴增矩陣 [列表1, 列表2, ..., 列表20] 的相關矩陣。 |
|
|
目錄 > |
|
|
Expr 4cos 附註: 如果要從電腦鍵盤插入本運算子,可輸入 @>cos。 以餘弦表示 Expr。這是顯示方式轉換運算子,只能用於輸入線末尾。 4cos 會約化以下所有乘冪 sin(...)modulo 1Ncos(...)^2 讓 cos(...)剩餘乘冪的指數都在 (0, 2) 範圍內。因此若且唯若 sin(...)出現在指定運算式且是偶數乘冪時,結果才會沒有 sin(...)。 附註: 度數角或梯度角模式不支援本轉換運算子。使用前請確認是否已將角度模式設成弧度角,而且 Expr 中並無明確參照度數角或梯度角。 |
|
|
µ 鍵 |
|
|
cos(運算式1)Þ運算式 cos(列表1)Þ列表
cos(列表1):傳回列表1 中各元素之餘弦的列表。 附註: 系統會根據目前的角度模式設定,將引數解譯為度數角、梯度角或弧度角。您可使用 ¡、 G 或 R來暫時覆寫角度模式。 |
度數角模式:
梯度角模式:
弧度角模式:
|
|
cos(方陣1)Þ方陣 傳回方陣1 的矩陣餘弦。這和計算各元素的餘弦不同。 純量函數 f(A) 對方陣1 (A) 進行運算時,計算結果時所用的算法如下: 計算 A 的特徵值 (li) 和特徵向量 (Vi)。 方陣1 必需可對角化。另外不能有尚未賦值的符號變數。 建立矩陣:
則 A = X B X/且 f(A) = X f(B) X/。例如 cos(A) = X cos(B) X/,其中: cos(B) =
執行所有計算作業時,都使用浮點運算法。 |
弧度角模式:
|
|
µ 鍵 |
|
|
cos/(運算式1)Þ運算式 cos/(列表1)Þ列表
cos/(列表1):傳回列表1 各元素之反餘弦的列表。 附註: 系統會根據目前的角度模式設定,將結果傳回為度數角、梯度角或弧度角。 附註: 如果要從鍵盤插入本函數,可輸入 arccos(...)。 |
度數角模式:
梯度角模式:
弧度角模式:
|
|
cos/(方陣1)Þ方陣 傳回方陣1 的矩陣反餘弦。這和計算各元素的反餘弦不同。若要了解計算方式,請參考 cos()。 方陣1 必需可對角化。結果一定會包含浮點數。 |
弧度角模式與直角複數格式:
若要看到完整結果,請按 5,然後使用 7 與 8 移動游標。 |
|
目錄 > |
|
|
cosh(運算式1)Þ運算式 cosh(列表1)Þ列表
cosh(列表1):傳回列表1 各元素之雙曲餘弦的列表。 |
度數角模式:
|
|
cosh(方陣1)Þ方陣 傳回方陣1 的矩陣雙曲餘弦。這和計算各元素的雙曲餘弦不同。若要了解計算方式,請參考 cos()。 方陣1 必需可對角化。結果一定會包含浮點數。 |
弧度角模式:
|
|
目錄 > |
|
|
cosh/(運算式1)Þ運算式 cosh/(列表1)Þ列表
cosh/(列表1):傳回列表1 各元素之反雙曲餘弦的列表。 附註: 如果要從鍵盤插入本函數,可輸入 arccosh(...)。 |
|
|
cosh/(方陣1)Þ方陣 傳回方陣1 的矩陣反雙曲餘弦。這和計算各元素的反雙曲餘弦不同。若要了解計算方式,請參考 cos()。 方陣1 必需可對角化。結果一定會包含浮點數。 |
弧度角模式與直角複數格式:
若要看到完整結果,請按 5,然後使用 7 與 8 移動游標。 |
|
µ 鍵 |
|
|
cot(運算式1) Þ 運算式 cot(列表1) Þ 列表 傳回 運算式1 的餘切,或傳回列表1 中各元素之餘切的列表。 附註: 系統會根據目前的角度模式設定,將引數解譯為度數角、梯度角或弧度角。您可使用 ¡、 G 或 R來暫時覆寫角度模式。 |
度數角模式:
梯度角模式:
弧度角模式:
|
|
µ 鍵 |
|
|
cot/(運算式1)Þ運算式 cot/(列表1)Þ列表 傳回餘切是 運算式1 的角度,或傳回包含列表1 中各元素之反餘切的列表。 附註: 系統會根據目前的角度模式設定,將結果傳回為度數角、梯度角或弧度角。 附註: 如果要從鍵盤插入本函數,可輸入 arccot(...)。 |
度數角模式:
梯度角模式:
弧度角模式:
|
|
目錄 > |
|
|
coth(運算式1)Þ運算式 coth(列表1)Þ列表 傳回 運算式1 的雙曲餘切,或傳回列表1 中各元素之雙曲餘切的列表。 |
|
|
目錄 > |
|
|
coth/(運算式1)Þ運算式 coth/(列表1)Þ列表 傳回 運算式1 的反雙曲餘切,或傳回包含列表1 中各元素之反雙曲餘切的列表。 附註: 如果要從鍵盤插入本函數,可輸入 arccoth(...)。 |
|
|
目錄 > |
|
|
count(值1或列表1 [,值2或列表2 [,...]])Þ值 傳回引數(會求值成數值)中所有元素的累積個數。 每個引數都可以是運算式、值、列表或矩陣。您可混合資料類型,並使用不同長度的引數。 系統會對列表、矩陣或儲存格範圍的各元素求值,判斷是否應該加入個數之計算。 您可在 Lists & Spreadsheet 應用程式中用儲存格範圍取代任何引數。 空元素會被忽略。如需空元素的詳細資訊,請參考第 這裡 頁。
|
在最後一例中只會計入 1/2 和 3+4*i。系統並不會把剩下的引數(假設未定義 x)求值成數值。 |
|
目錄 > |
|||||||
|
countif(列表,準則)Þ值 傳回列表中符合指定準則之所有元素的累積個數。 準則可以有以下形式:
您可在 Lists & Spreadsheet 應用程式中用儲存格範圍取代列表。 列表中的空元素會遭到忽略。如需空元素的詳細資訊,請參考第 這裡 頁。 |
計算等於 3 的元素之個數。
計算等於「def」的元素之個數。
計算等於 x 的元素之個數;本例假設您未定義 x 變數。
計算 1 和 3 的個數。
計算 3、5、7 的個數。
計算 1、3、7、9 的個數。 |
|
目錄 > |
|
|
第一個語法
第二個語法 附註: 另請參考 |
|
|
目錄 > |
|
|
crossP(列表1, 列表2)Þ列表 將列表1 和列表2 的向量外積傳回為列表。 列表1 和列表2 的維數必須相同,且必須是 2 維或 3 維。 |
|
|
crossP(向量1, 向量2)Þ向量 所傳回的列向量或行向量(依引數而定),是向量1 和向量2 的向量外積(叉積)。 向量1 和向量2 必須同為列向量或同為行向量。兩個向量的維數必須相同,且必須是 2 維或 3 維。 |
|
|
µ 鍵 |
|
|
csc(運算式1)Þ運算式 csc(列表1)Þ列表 傳回 運算式1 的餘割,或傳回包含列表1 中各元素之餘割的列表。 |
度數角模式:
梯度角模式:
弧度角模式:
|
|
µ 鍵 |
|
|
csc/(運算式1) Þ 運算式 csc/(列表1) Þ 列表 傳回餘割是 運算式1 的角度,或傳回包含列表1 中各元素之反餘割的列表。 附註: 系統會根據目前的角度模式設定,將結果傳回為度數角、梯度角或弧度角。 附註: 如果要從鍵盤插入本函數,可輸入 arccsc(...)。 |
度數角模式:
梯度角模式:
弧度角模式:
|
|
目錄 > |
|
|
csch(運算式1) Þ 運算式 csch(列表1) Þ 列表 傳回 運算式1 的雙曲餘割,或傳回列表1 中各元素之雙曲餘割的列表。 |
|
|
目錄 > |
|
|
csch/(運算式1) Þ 運算式 csch/(列表1) Þ 列表 傳回 運算式1 的雙曲餘割,或傳回列表1 中各元素之雙曲餘割的列表。 附註: 如果要從鍵盤插入本函數,可輸入 arccsch(...)。 |
|
|
目錄 > |
|
|
CubicReg X, Y[, [Freq] [, 類別, 包含]] 計算 X 列表與 Y 列表的 y = a·x3+b·x2+c·x+d 三次多項式迴歸(頻率為 Freq)。stat.results 變數會儲存結果摘要(請參閱第 這裡 頁)。 所有列表的維數都必須相同,包含除外。 X、Y 是自變數和因變數列表。 Freq 是頻率值列表(非必要)。Freq 的每個元素,可用於指定各 X、Y 對應資料點的出現頻率。預設值是 1。所有元素都必須是 | 0 的整數。 類別是 X、Y 對應資料的類別代號列表。 包含是一個以上類別代號的列表。只有本列表中類別代號所對應的資料項目,才會包含在計算作業中。 如要了解列表中有空元素時的影響,請參考°ß空元素°®,這裡。 |
|
|
輸出變數 |
說明 |
|
stat.RegEqn |
迴歸方程式:a·x3+b·x2+c·x+d |
|
stat.a、stat.b、stat.c、stat.d |
迴歸係數 |
|
stat.R2 |
判定係數 |
|
stat.Resid |
迴歸殘差 |
|
stat.XReg |
實際用於迴歸的已修改 X 列表中的資料點列表(根據 Freq、類別列表、包含類別的限制) |
|
stat.YReg |
實際用於迴歸的已修改 Y 列表中的資料點列表(根據 Freq、類別列表、包含類別的限制) |
|
stat.FreqReg |
stat.XReg 與 stat.YReg 對應的頻率列表 |
|
目錄 > |
|
|
cumulativeSum(列表1)Þ列表 傳回列表1(從 1 元素開始)中各元素的累積總和列表。 |
|
|
cumulativeSum(矩陣1)Þ矩陣 傳回矩陣1 中各元素的累積總和矩陣。每個元素都是該行從上到下的累積總和。 列表1 或矩陣1 若有空元素,則會在得出的列表或矩陣中產生空元素。如需空元素的詳細資訊,請參考第 這裡 頁。 |
|
|
目錄 > |
|
|
Cycle 立刻把控制權轉到目前迴圈的下一輪迴圈(For、While、Loop)。 Cycle 不可用於三種迴圈結構以外(For、While、Loop)。 輸入 範例的注意事項: 關於輸入多行程式和函數定義的說明,請參閱產品手冊中的「計算工具」章節。 |
以下函數列出從 1 到 100 但略過 50 的整數總和。
|
|
目錄 > |
|
|
向量 4Cylind 附註: 如果要從電腦鍵盤插入本運算子,可輸入 @>Cylind。 以圓柱座標形式 [r,±q, z] 顯示列向量或行向量。 向量必須剛好包含三個元素,可以是行向量也可以是列向量。 |
|
