E
|
u 鍵 |
|
|
e^(運算式1)Þ運算式 傳回以 e 為底,運算式1 為冪的指數值。 附註: 另請參考 e 指數範本,這裡。 附註: 按 u 可顯示 e^(與按鍵盤上的 E 字元不同)。 您可輸入 rei q 極座標式複數。但您只能在弧度角模式採用這種形式。若是在度數角或梯度角模式,則會導致值域錯誤。 |
|
|
e^(列表1)Þ列表 傳回以 e 為底,列表1 各元素為冪的指數值。 |
|
|
e^(方陣1)Þ方陣 傳回方陣1 的矩陣指數。這和計算以 e 為底、以各元素為冪的指數值不同。若要了解計算方式,請參考 cos()。 方陣1 必需可對角化。結果一定會包含浮點數。 |
|
|
目錄 > |
|
|
eff(nominalRate,CpY)Þ值 可將 nominalRate 名目利率轉成實質年利率的財務函數(已知 CpY 是每年複利期數)。 nominalRate 必須是實數,CpY 必須是 > 0 的實數。 附註: 另請參考 nom(),這裡。 |
|
|
目錄 > |
|
|
eigVc(方陣)Þ矩陣 所傳回的矩陣,包含實數或複數方陣的特徵向量。結果中的每一行代表一個特徵值。請注意,特徵向量並非唯一,可隨任何常數因式改變。特徵向量需正規化,亦即若 V = [x1, x2, … , xn],則: x12 + x22 + … + xn2 = 1 方陣首先要經由相似變換法予以平衡,直到列範數與行範數儘量接近同一值為止。接著方陣會簡化成上 Hessenberg 形式,並透過 Schur 因式分解法計算特徵向量。 |
直角複數格式:
若要看到完整結果,請按 5,然後使用 7 與 8 移動游標。 |
|
目錄 > |
|
|
eigVl(方陣)Þ列表 傳回實數或複數方陣的特徵值列表。 方陣首先要經由相似變換法予以平衡,直到列範數與行範數儘量接近同一值為止。接著方陣會簡化成上 Hessenberg 形式,並從上 Hessenberg 矩陣計算特徵值。 |
直角複數格式模式:
若要看到完整結果,請按 5,然後使用 7 與 8 移動游標。 |
|
請參考 If,這裡。 |
|
|
|
|
|
目錄 > |
|
|
If 布林運算式1 Then 輸入 範例的注意事項: 關於輸入多行程式和函數定義的說明,請參閱產品手冊中的「計算工具」章節。 |
|
|
請參考 For,這裡。 |
|
|
|
|
|
請參考 Func,這裡。 |
|
|
|
|
|
請參考 If,這裡。 |
|
|
|
|
|
請參考 Loop,這裡。 |
|
|
|
|
|
請參考 Prgm,這裡。 |
|
|
|
|
|
請參考 Try,這裡。 |
|
|
|
|
|
請參考 While,這裡。 |
|
|
|
|
|
目錄 > |
|
|
使用尤拉方法解出方程組
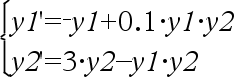
其中,depVar(Var0)=depVar0,區間為 [Var0,VarMax]。傳回一個矩陣,其中第一列定義 Var 輸出值,且第二列定義位於對應 Var 值的第一個求解元素的值,依此類推。 Expr 是在右邊定義常微分方程式 (ODE)。 SystemOfExpr 是在右邊的方程組,定義 ODE 方程組 (對應於 ListOfDepVars 中的因變數順序)。 ListOfExpr 是在右邊的列表,定義 ODE 方程組 (對應於 ListOfDepVars 中的因變數順序)。 Var 是自變數。 ListOfDepVars 是因變數列表。 {Var0, VarMax} 是一個雙元素列表,表示函數從 Var0 積分至 VarMax。 ListOfDepVars0 是因變數初始值的列表。 VarStep 是非零數字,使 eulerStep 是一個正整數 (預設值為 1),定義在輸出值之間的尤拉步階數目。尤拉方法所用的實際步階大小是 VarStepàeulerStep。 |
微分方程式: y'=0.001*y*(100-y) 與 y(0)=10
若要看到完整結果,請按 5,然後使用 7 與 8 移動游標。
方程組:
其中,y1(0)=2 及 y2(0)=5
|
|
分享器功能表 |
|
|
eval() 只有效在 TI-Innovator™ Hub 程式設計指令 Get、GetStr 和 Send 的指令引數中才有效。軟體會對運算式 Expr 求值,該結果會將 eval() 語句取代為字元字串。 引數 Expr 必須化簡成實數。 |
將 RGB LED 藍色元素的強度設為一半。
將藍色元素重設為「關閉」。
eval() 引數必須化簡成實數。
讓紅色元素淡入的程式
執行程式。
|
|
雖然 eval() 不會顯示其結果,但您可以在執行指令後,透過檢查以下任一項特殊變數來檢視求出的分享器指令字串。 iostr.SendAns |
|
|
目錄 > |
|
|
exact(運算式1 [, 容許值])Þ運算式 exact(列表1 [, 容許值])Þ列表 exact(矩陣1 [, 容許值])Þ矩陣 以真值模式運算法,儘量傳回與引數等值的有理數。 容許值用於指定轉換容許值,預設值是 0(零)。 |
|
|
目錄 > |
|
|
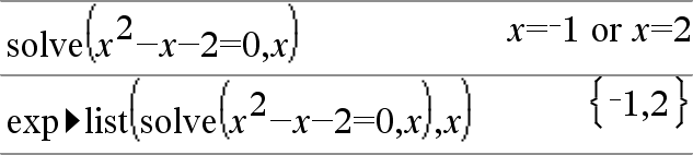
Exit 結束目前的 For、While 或 Loop 區段。 Exit 不可用於三種迴圈結構以外(For、While 或 Loop)。 輸入 範例的注意事項: 關於輸入多行程式和函數定義的說明,請參閱產品手冊中的「計算工具」章節。 |
函數列表:
|
|
目錄 > |
|
|
Expr 4exp 以自然指數 e 表現 Expr。這是顯示方式轉換運算子,只能用於輸入線末尾。 附註: 如果要從電腦鍵盤插入本運算子,可輸入 @>exp。 |
|
|
u 鍵 |
|
|
exp(運算式1)Þ運算式 傳回以 e 為底,運算式1 為冪的指數值。 附註: 另請參考 e 指數範本,這裡。 您可輸入 rei q 極座標式複數。但您只能在弧度角模式採用這種形式。若是在度數角或梯度角模式,則會導致值域錯誤。 |
|
|
exp(列表1)Þ列表 傳回以 e 為底,列表1 各元素為冪的指數值。 |
|
|
exp(方陣1)Þ方陣 傳回方陣1 的矩陣指數。這和計算以 e 為底、以各元素為冪的指數值不同。若要了解計算方式,請參考 cos()。 方陣1 必需可對角化。結果一定會包含浮點數。 |
|
|
目錄 > |
|
|
exp4list(Expr,Var)Þ列表 檢查 Expr 中以「 附註: zeros 和 cZeros() 函數不需要 exp4list(),因為這些函數會直接傳回求解值的列表。 如果要從鍵盤插入本函數,可輸入 exp@>list(...)。 |
|
|
目錄 > |
|
|
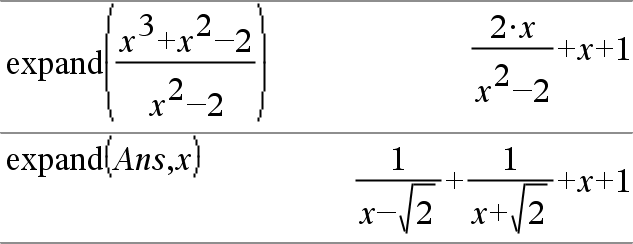
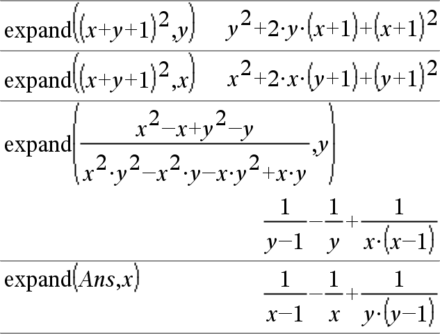
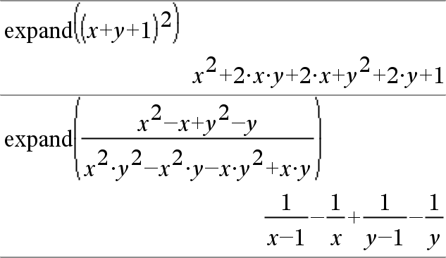
expand(運算式1 [, Var])Þ運算式 expand(列表1 [,Var])Þ列表 expand(矩陣1 [,Var])Þ矩陣 expand(運算式1):傳回對其所有變數展開的 運算式1。若是多項式,則為多項式展開;若是有理式,則為部份分數式展開。 expand() 的目標是把 運算式1 轉成簡單項的和或是差。反之,factor() 的目標是把 運算式1 轉成簡單因式的積或商。 |
|
|
expand(運算式1,Var):傳回對 Var 展開的運算式1。系統將匯集 Var 的類似乘冪。各項及其因式以 Var 為主變數進行排序。系統可能對匯集的係數進行偶發因式分解或展開。若與省略 Var 相比,此功能通常能節省時間、記憶體和螢幕空間,並使運算式更容易懂。 |
|
|
即使只有一個變數,使用 Var 也可能讓用於部份分數式展開的分母因式分解結果更完整。 提示:若是有理式,則 propFrac() 是 expand() 以外速度較快且較不極端的其他選擇。 附註: 另請參考 comDenom() 中分子與分母皆展開的形式。 |
|
|
expand(運算式1,[Var]) 也會分配對數和分數冪而忽略 Var。若是分配更徹底的對數和分數冪,可能需要不等式約束條件,才能確保某些因式不是負值。 expand(運算式1, [Var]) 也會分配絕對值、sign() 和指數,而忽略 Var。 附註: 另請參考 tExpand() 一節的三角形內角和以及多角度展開。 |
|
|
目錄 > |
|
|
expr(字串)Þ運算式 將字串包含的字元字串傳回為運算式,並且立刻執行。 |
|
|
目錄 > |
|
|
ExpReg X, Y [, [Freq] [, 類別, 包含]] 計算 X 列表與 Y 列表的 y = a·(b)x指數迴歸(頻率為 Freq)。stat.results 變數會儲存結果摘要(請參閱第 這裡 頁)。 所有列表的維數都必須相同,包含除外。 X、Y 是自變數和因變數列表。 Freq 是頻率值列表(非必要)。Freq 的每個元素,可用於指定各 X、Y 對應資料點的出現頻率。預設值是 1。所有元素都必須是 | 0 的整數。 類別是 X、Y 對應資料的類別代號列表。 包含是一個以上類別代號的列表。只有本列表中類別代號所對應的資料項目,才會包含在計算作業中。 如要了解列表中有空元素時的影響,請參考°ß空元素°®,這裡。 |
|
|
輸出變數 |
說明 |
|
stat.RegEqn |
迴歸方程式:a·(b)x |
|
stat.a°Bstat.b |
迴歸係數 |
|
stat.r2 |
所轉換資料之線性判定的係數 |
|
stat.r |
所轉換資料 (x, ln(y)) 的相關係數 |
|
stat.Resid |
與指數模型相關的殘差 |
|
stat.ResidTrans |
與所轉換資料之線性擬合相關的殘差 |
|
stat.XReg |
實際用於迴歸的已修改 X 列表中的資料點列表(根據 Freq、類別列表、包含類別的限制) |
|
stat.YReg |
實際用於迴歸的已修改 Y 列表中的資料點列表(根據 Freq、類別列表、包含類別的限制) |
|
stat.FreqReg |
stat.XReg 與 stat.YReg 對應的頻率列表 |

