A
|
目錄 > |
|
|
abs(運算式1)Þ運算式 abs(列表1)Þ列表 abs(矩陣1)Þ矩陣 傳回引數的絕對值。 附註: 另請參考絕對值範本,這裡。 如果引數是複數,則傳回數字的模數。
|
|
|
目錄 > |
||||||||||
|
amortTbl(NPmt,N,I,PV, [Pmt], [FV], [PpY], [CpY], [PmtAt], [四捨五入值])Þ矩陣 根據一組貨幣時間價值引數,傳回攤銷表矩陣的攤銷函數。 NPmt 是要加入表中的付款期數。表格以第一期付款開始。 N,I,PV,Pmt,FV,PpY,CpY,PmtAt 的說明位於貨幣時間價值引數表(第 這裡 頁)。
四捨五入值用於指定四捨五入的小數位數。預設值 = 2。 所產生的矩陣行順序為:付款期數、支付利息金額、支付本金金額和結算餘額。 第 n 列顯示的餘額是付款 n 次後的餘額。 您可使用輸出矩陣當作其他攤銷函數的輸入,包括 GInt() 和 GPrn()(第 這裡 頁)與 bal()(第 這裡 頁)。 |
|
|
目錄 > |
|
|
布林運算式1 and 布林運算式2Þ布林運算式 布林列表1 and 布林列表2Þ布林列表 布林矩陣1 and 布林矩陣2Þ布林矩陣 傳回真偽值或原始輸入的化簡形式。 |
|
|
利用 您可以用任何整數做為基底。如果要輸入二進位或十六進位數字,則必須在前面分別加上 0b 或 0h 字首。如果沒有加上字首,就會把整數視為十進位(以 10 為底)。
|
十六進位基底模式:
重要訊息: 數字零,而非英文字母 O。
二進位基底模式:
十進位基底模式:
附註: 您可輸入最長 64 位的二進位數字(不含 0b 字首)。您可輸入最長 16 位的十六進位數字。 |
|
目錄 > |
|
|
angle(運算式1)Þ運算式 傳回引數的角度,並將引數解譯成複數。
|
度數角模式:
梯度角模式:
弧度角模式:
|
|
angle(列表1)Þ列表 angle(列表1)Þ矩陣 傳回列表1 或矩陣1 中各元素的角度列表或矩陣,將每個元素解譯成複數,代表二維直角座標點。 |
|
目錄 > |
|
|
ANOVA 列表1,列表2[,列表3,...,列表20][,旗標] 執行單因子變異數分析,比較二至 20 個母群體的平均值。stat.results 變數會儲存結果摘要(請參閱第 這裡 頁)。 旗標=0 時用於資料,旗標=1 時用於統計 |
|
|
輸出變數 |
說明 |
|
stat.F |
F 統計值 |
|
stat.PVal |
無效假說被否定之最低意義標準 |
|
stat.df |
群組自由度 |
|
stat.SS |
群組的平方和 |
|
stat.MS |
群組的均方 |
|
stat.dfError |
誤差的自由度 |
|
stat.SSError |
誤差的平方和 |
|
stat.MSError |
誤差的均方 |
|
stat.sp |
合併標準差 |
|
stat.xbarlist |
所輸入列表的平均值 |
|
stat.CLowerList |
每個輸入列表平均值的 95% 信賴區間 |
|
stat.CUpperList |
每個輸入列表平均值的 95% 信賴區間 |
|
目錄 > |
|
|
ANOVA2way 列表1,列表2[,列表3,...,列表10][,levRow] 計算雙因子變異數分析,比較二至 10 個母群體的平均值。stat.results 變數會儲存結果摘要(請參閱第 這裡 頁)。 LevRow=0 時用於區集 LevRow=2,3,...,Len-1 時用於雙因子,其中 Len=長度(列表1)=長度(列表2) = … =長度(列表10) 與 Len / LevRow Î {2,3,…} |
|
輸出:區集設計 (Block Design)
|
輸出變數 |
說明 |
|
stat.F |
F 統計量 |
|
stat.PVal |
無效假說被否定之最低意義標準 |
|
stat.df |
行因子的自由度 |
|
stat.SS |
行因子的平方和 |
|
stat.MS |
行因子的均方 |
|
stat.FBlock |
F 統計量 |
|
stat.PValBlock |
無效假說被否定之最低機率 |
|
stat.dfBlock |
因子的自由度 |
|
stat.SSBlock |
因子的平方和 |
|
stat.MSBlock |
因子的均方 |
|
stat.dfError |
誤差的自由度 |
|
stat.SSError |
誤差的平方和 |
|
stat.MSError |
誤差的均方 |
|
stat.s |
誤差的標準差 |
行因子輸出
|
輸出變數 |
說明 |
|
stat.Fcol |
F 統計量 |
|
stat.PValCol |
行因子的機率值 |
|
stat.dfCol |
行因子的自由度 |
|
stat.SSCol |
行因子的平方和 |
|
stat.MSCol |
行因子的均方 |
列因子輸出
|
輸出變數 |
說明 |
|
stat.FRow |
F 統計量 |
|
stat.PValRow |
列因子的機率值 |
|
stat.dfRow |
列因子的自由度 |
|
stat.SSRow |
列因子的平方和 |
|
stat.MSRow |
列因子的均方 |
相互影響的輸出
|
輸出變數 |
說明 |
|
stat.FInteract |
F 統計量 |
|
stat.PValInteract |
相互影響的機率值 |
|
stat.dfInteract |
相互影響的自由度 |
|
stat.SSInteract |
相互影響的平方和 |
|
stat.MSInteract |
相互影響的均方 |
誤差的輸出
|
輸出變數 |
說明 |
|
stat.dfError |
誤差的自由度 |
|
stat.SSError |
誤差的平方和 |
|
stat.MSError |
誤差的均方 |
|
s |
誤差的標準差 |
|
/v 鍵 |
|
|
AnsÞ值 傳回最近的運算式求值的結果。 |
|
|
目錄 > |
|
|
approx(運算式1)Þ運算式 若可能則以包含十進位值的運算式,傳回引數的求值,不管目前的自動或近似值模式。 相當於輸入引數並按 /·。 |
|
|
approx(列表1)Þ列表 approx(矩陣1)Þ矩陣 傳回列表或矩陣,若可能則將所有元素都求值成十進位值。 |
|
|
目錄 > |
|
|
列表 4approxFraction([Tol])Þ列表 矩陣 4approxFraction([Tol])Þ矩陣 使用 Tol 為容許值,傳回輸入量的分數值。如果省略 Tol 設定,則使用 5.E-14 為容許值。 附註: 如果要從電腦鍵盤插入本函數,可輸入 @>approxFraction(...)。 |
|
|
目錄 > |
|
|
approxRational(Expr[, Tol])Þ運算式 approxRational(列表[, Tol])Þ列表 approxRational(矩陣[, Tol])Þ矩陣 使用 Tol 為容許值,傳回引數的分數值。如果省略 Tol 設定,則使用 5.E-14 為容許值。 |
|
|
請參考 cos/(),這裡。 |
|
|
|
|
|
請參考 cosh/(),這裡。 |
|
|
|
|
|
請參考 cot/(),這裡。 |
|
|
|
|
|
請參考 coth/(),這裡。 |
|
|
|
|
|
請參考 csc/(),這裡。 |
|
|
|
|
|
請參考 csch/(),這裡。 |
|
|
|
|
|
目錄 > |
|
|
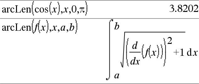
arcLen(運算式1,Var,起點,終點) Þ運算式 傳回 運算式1 從起點到終點的弧長(對 Var 變數)。 計算弧長時,將以用函數模式定義的積分計算。 |
|
|
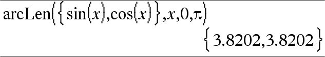
arcLen(列表1,Var,起點,終點)Þ列表 傳回列表1 中每個元素從起點到終點(對於 Var)的弧長列表。 |
|
|
請參考 sec/(),這裡。 |
|
|
|
|
|
請參考 sech/(),這裡。 |
|
|
|
|
|
請參考 sin/(),這裡。 |
|
|
|
|
|
請參考 sinh/(),這裡。 |
|
|
|
|
|
請參考 tan/(),這裡。 |
|
|
|
|
|
請參考 tanh/(),這裡。 |
|
|
|
|
|
目錄 > |
|
|
augment(列表1, 列表2)Þ列表 傳回將列表2 接到列表1 結尾的新列表。 |
|
|
augment(矩陣1, 矩陣2)Þ矩陣 傳回將矩陣2 加到矩陣1 的新矩陣。使用「,」字元時,矩陣的列數必須相同,並將矩陣2 加到矩陣1 中成為新的行。並不會更改矩陣1 或矩陣2。 |
|
|
目錄 > |
|
|
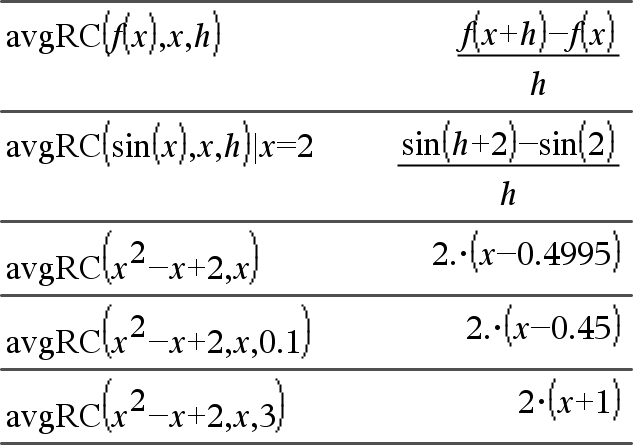
傳回向前差商(平均變化率)。 運算式1 可以是使用者定義的函數名稱(請參考 指定值時,此值會取代之前賦值的所有變數,或目前以「|」取代的所有該變數。 Step 代表步階值。如果省略步階,則會以 0.001 為預設值。 請注意,類似函數 |
|
