P
|
Katalog > |
|
|
P4Rx(rAusdr, qAusdr)ÞAusdruck P4Rx(rListe, qListe)ÞListe P4Rx(rMatrix, qMatrix)ÞMatrix Gibt die äquivalente x-Koordinate des Paars (r, q) zurück. Hinweis: Das q-Argument wird gemäß deraktuellen Winkelmoduseinstellung als Grad, Neugrad oder Bogenmaß interpretiert. Ist das Argument ein Ausdruck, können Sie ¡, g oder R benutzen, um die Winkelmoduseinstellung temporär zu ändern. Hinweis: Sie können diese Funktion über die Tastatur Ihres Computers eingeben, indem Sie P@>Rx(...) eintippen. |
Im Bogenmaß-Modus:
|
|
Katalog > |
|
|
P4Ry(rAusdr, qAusdr)ÞAusdruck P4Ry(rListe, qListe)ÞListe P4Ry(rMatrix, qMatrix)ÞMatrix Gibt die äquivalente y-Koordinate des Paars (r, q) zurück. Hinweis: Das q-Argument wird gemäß deraktuellen Winkelmoduseinstellung als Grad, Neugrad oder Bogenmaß interpretiert. Hinweis: Sie können diese Funktion über die Tastatur Ihres Computers eingeben, indem Sie P@>Ry(...) eintippen. |
Im Bogenmaß-Modus:
|
|
Katalog > |
|
|
PassErr Übergibt einen Fehler an die nächste Stufe. Wenn die Systemvariable Fehlercode (errCode) Null ist, tut PassErr nichts. Das Else im Block Try...Else...EndTry muss ClrErr oder PassErr verwenden. Wenn der Fehler verarbeitet oder ignoriert werden soll, verwenden Sie ClrErr. Wenn nicht bekannt ist, was mit dem Fehler zu tun ist, verwenden Sie PassErr, um ihn an den nächsten Error Handler zu übergeben. Wenn keine weiteren Try...Else...EndTry Error Handler unerledigt sind, wird das Fehlerdialogfeld als normal angezeigt. Hinweis: Siehe auch LöFehler, hier, und Versuche, hier. Hinweis zum Eingeben des Beispiels: Anweisungen für die Eingabe von mehrzeiligen Programm- und Funktionsdefinitionen finden Sie im Abschnitt „Calculator“ des Produkthandbuchs. |
Ein Beispiel zu PassErr finden Sie im Beispiel 2 unter Befehl Versuche (Try), hier. |
|
Katalog > |
|
|
piecewise(Ausdr1 [, Bedingung1 [, Ausdr2 [, Bedingung2 [, … ]]]]) Gibt Definitionen für eine stückweise definierte Funktion in Form einer Liste zurück. Sie können auch mit Hilfe einer Vorlage stückweise Definitionen erstellen. Hinweis: Siehe auch Vorlage Stückweise, hier. |
|
|
Katalog > |
|
|
poissCdf(l,untereGrenze,obereGrenze)ÞZahl, wenn untereGrenze und obereGrenze Zahlen sind, Liste, wenn untereGrenze und obereGrenze Listen sind poissCdf(l,obereGrenze)(für P(0{X{obereGrenze)ÞZahl, wenn obereGrenze eine Zahl ist, Liste, wenn obereGrenze eine Liste ist Berechnet die kumulative Wahrscheinlichkeit für die diskrete Poisson-Verteilung mit dem vorgegebenen Mittelwert l. Für P(X { obereGrenze) setzen Sie untereGrenze = 0 |
|
|
Katalog > |
|
|
poissPdf(l,XWert)ÞZahl, wenn XWert eine Zahl ist, Liste, wenn XWert eine Liste ist Berechnet die Wahrscheinlichkeit für die diskrete Poisson-Verteilung mit dem vorgegebenen Mittelwert l. |
|
|
Katalog > |
|||||||
|
Vektor 4Polar Hinweis: Sie können diesen Operator über die Tastatur Ihres Computers eingeben, indem Sie @>Polar eintippen. Zeigt Vektor in Polarform [r∠θ] an. Der Vektor muss die Dimension 2 besitzen und kann eine Zeile oder eine Spalte sein. Hinweis: 4Polar ist eine Anzeigeformatanweisung, keine Konvertierungsfunktion. Sie können sie nur am Ende einer Eingabezeile benutzen, und sie nimmt keine Aktualisierung von ans vor. Hinweis: Siehe auch 4Rect, hier. |
|
||||||
|
komplexerWert 4Polar Zeigt komplexerVektor in Polarform an.
komplexerWert kann jede komplexe Form haben. Eine reiθ-Eingabe verursacht jedoch im Winkelmodus Grad einen Fehler. Hinweis: Für eine Eingabe in Polarform müssen Klammern (r∠θ) verwendet werden. |
Im Bogenmaß-Modus:
Im Neugrad-Modus:
Im Grad-Modus:
|
|
Katalog > |
|
|
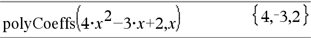
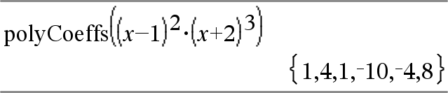
polyCoeffs(Poly [,Var])ÞListe Gibt eine Liste der Koeffizienten des Polynoms Poly mit Bezug auf die Variable Var zurück. Poly muss ein Polynomausdruck in Var sein. Wir empfehlen, Var nicht wegzulassen, außer wenn Poly ein Ausdruck in einer einzelnen Variablen ist. |
Entwickelt das Polynom und wählt x für die weggelassene Variable Var.
|
|
Katalog > |
|
|
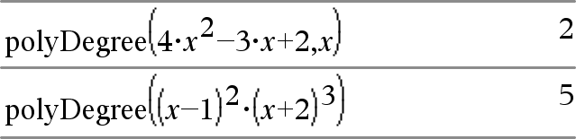
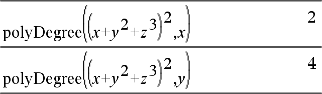
polyDegree(Poly [,Var])ÞWert Gibt den Grad eines Polynomausdrucks Poly in Bezug auf die Variable Var zurück. Wenn Sie Var weglassen, wählt die Funktion polyDegree() einen Standardwert aus den im Polynom Poly enthaltenen Variablen aus. Poly muss ein Polynomausdruck in Var sein. Wir empfehlen, Var nicht wegzulassen, außer wenn Poly ein Ausdruck in einer einzelnen Variablen ist.
|
Konstante Polynome
Der Grad kann auch extrahiert werden, wenn dies für die Koeffizienten nicht möglich ist. Dies liegt daran, dass der Grad extrahiert werden kann, ohne das Polynom zu entwickeln. |
|
Katalog > |
|
|
polyEval(Liste1, Ausdr1)ÞAusdruck polyEval(Liste1, Liste2)ÞAusdruck Interpretiert das erste Argument als Koeffizienten eines nach fallenden Potenzen geordneten Polynoms und gibt das Polynom bezüglich des zweiten Arguments zurück. |
|
|
Katalog > |
|
|
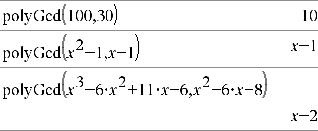
polyGcd(Ausdr1,Ausdr2)ÞAusdruck Gibt den größten gemeinsamen Teiler der beiden Argumente zurück. Ausdr1 und Ausdr2 müssen Polynomausdrücke sein. Listen-, Matrix- und Boolesche Argumente sind nicht zulässig. |
|
|
Katalog > |
|
|
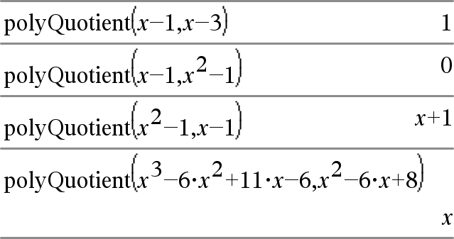
polyQuotient(Poly1,Poly2 [,Var])ÞAusdruck Gibt den Polynomquotienten von Poly1 geteilt durch Polynom Poly2 bezüglich der angegebenen Variable Var zurück. Poly1 und Poly2 müssen Polynomausdrücke in Var sein. Wir empfehlen, Var nicht wegzulassen, außer wenn Poly1 und Poly2 Ausdrücke in derselben einzelnen Variablen sind. |
|
|
Katalog > |
|
|
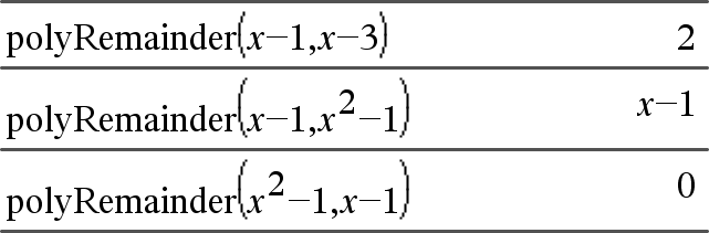
polyRemainder(Poly1,Poly2 [,Var])ÞAusdruck Gibt den Rest des Polynoms Poly1 geteilt durch Polynom Poly2 bezüglich der angegebenen Variablen Var zurück. Poly1 und Poly2 müssen Polynomausdrücke in Var sein. Wir empfehlen, Var nicht wegzulassen, außer wenn Poly1 und Poly2 Ausdrücke in derselben einzelnen Variablen sind. |
|
|
Katalog > |
|
|
Die erste Syntax
Die zweite Syntax Hinweis: Siehe auch |
|
|
Katalog > |
|
|
PowerReg X,Y [, Häuf] [, Kategorie, Mit]] Berechnet die Potenzregressiony = (a·(x)b)auf Listen X und Y mit der Häufigkeit Häuf. Eine Zusammenfassung der Ergebnisse wird in der Variablen stat.results gespeichert. (hier.) Alle Listen außer Mit müssen die gleiche Dimension besitzen. X und Y sind Listen von unabhängigen und abhängigen Variablen. Häuf ist eine optionale Liste von Häufigkeitswerten. Jedes Element in Häuf gibt die Häufigkeit für jeden entsprechenden X- und Y-Datenpunkt an. Der Standardwert ist 1. Alle Elemente müssen Ganzzahlen | 0 sein. Kategorie ist eine Liste von Kategoriecodes für die entsprechenden X und Y Daten. Mit ist eine Liste von einem oder mehreren Kategoriecodes. Nur solche Datenelemente, deren Kategoriecode in dieser Liste enthalten ist, sind in der Berechnung enthalten. Informationen zu den Auswirkungen leerer Elemente in einer Liste finden Sie unter “Leere (ungültige) Elemente” (hier). |
|
|
Ausgabevariable |
Beschreibung |
|
stat.RegEqn |
Regressionsgleichung: a·(x)b |
|
stat.a, stat.b |
Regressionskoeffizienten |
|
stat.r2 |
Koeffizient der linearen Bestimmtheit für transformierte Daten |
|
stat.r |
Korrelationskoeffizient für transformierte Daten (ln(x), ln(y)) |
|
stat.Resid |
Mit dem Potenzmodell verknüpfte Residuen |
|
stat.ResidTrans |
Residuen für die lineare Anpassung transformierter Daten |
|
stat.XReg |
Liste der Datenpunkte in der modifizierten X-Liste, die in der Regression mit den Beschränkungen für Häuf, Kategorieliste und Mit-Kategorien verwendet wurde |
|
stat.YReg |
Liste der Datenpunkte in der modifizierten Y-Liste, die schließlich in der Regression mit den Beschränkungen für Häuf, Kategorieliste und Mit-Kategorien verwendet wurde |
|
stat.FreqReg |
Liste der Häufigkeiten für stat.XReg und stat.YReg |
|
Katalog > |
|
|
Prgm Vorlage zum Erstellen eines benutzerdefinierten Programms. Muss mit dem Befehl Definiere (Define), Definiere LibPub (Define LibPub) oder Definiere LibPriv (Define LibPriv) verwendet werden. Block kann eine einzelne Anweisung, eine Reihe von durch das Zeichen “:” voneinander getrennten Anweisungen oder eine Reihe von Anweisungen in separaten Zeilen sein. Hinweis zum Eingeben des Beispiels: Anweisungen für die Eingabe von mehrzeiligen Programm- und Funktionsdefinitionen finden Sie im Abschnitt „Calculator“ des Produkthandbuchs. |
GCD berechnen und Zwischenergebnisse anzeigen.
|
|
Siehe P(), hier. |
|
|
|
|
|
Siehe P(), hier. |
|
|
|
|
|
Katalog > |
|
|
product(Liste[, Start[, Ende]])ÞAusdruck Gibt das Produkt der Elemente von Liste zurück. Start und Ende sind optional. Sie geben einen Elementebereich an. |
|
|
product(Matrix1[, Start[, Ende]])ÞMatrix Gibt einen Zeilenvektor zurück, der die Produkte der Elemente aus den Spalten von Matrix1 enthält. Start und Ende sind optional. Sie geben einen Zeilenbereich an. Leere (ungültige) Elemente werden ignoriert. Weitere Informationen zu leeren Elementen finden Sie (hier). |
|
|
Katalog > |
|
|
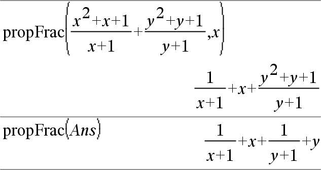
propFrac(Ausdr1[, Var])ÞAusdruck propFrac(rationale_Wert) gibt rationale_Wert als Summe einer ganzen Zahl und eines Bruchs zurück, der das gleiche Vorzeichen besitzt und dessen Nenner größer ist als der Zähler. |
|
|
propFrac(rationaler_Ausdruck,Var) gibt die Summe der echten Brüche und ein Polynom bezüglich Var zurück. Der Grad von Var im Nenner übersteigt in jedem echten Bruch den Grad von Var im Zähler. Gleichartige Potenzen von Var werden zusammengefasst. Die Terme und Faktoren werden mit Var als der Hauptvariablen sortiert. Wird Var weggelassen, wird eine Entwicklung des echten Bruchs bezüglich der wichtigsten Hauptvariablen vorgenommen. Die Koeffizienten des Polynomteils werden dann zuerst bezüglich der wichtigsten Hauptvariablen entwickelt usw.
|
|
|
Mit der Funktion propFrac() können Sie gemischte Brüche darstellen und die Addition und Subtraktion bei gemischten Brüchen demonstrieren. |
|
