C
|
Katalog > |
|
|
ceiling(Ausdr1)ÞGanzzahl Gibt die erste ganze Zahl zurück, die | dem Argument ist. Das Argument kann eine reelle oder eine komplexe Zahl sein. Hinweis: Siehe auch floor(). |
|
|
ceiling(Liste1)ÞListe ceiling(Matrix1)ÞMatrix Für jedes Element einer Liste oder Matrix wird die kleinste ganze Zahl, die größer oder gleich dem Element ist, zurückgegeben. |
|
|
Katalog > |
|
|
Gibt die numerische Ableitung unter Verwendung des zentralen Differenzenquotienten zurück. Wenn Wert angegeben ist, setzt er jede vorausgegangene Variablenzuweisung oder jede aktuelle „|“ Ersetzung für die Variable außer Kraft. Schritt ist der Schrittwert. Wird Schritt nicht angegeben, wird als Vorgabewert 0,001 benutzt. Wenn Sie Liste1 oder Matrix1 verwenden, wird die Operation über die Werte in der Liste oder die Matrixelemente abgebildet. Hinweis: Siehe auch |
|
|
Katalog > |
|
|
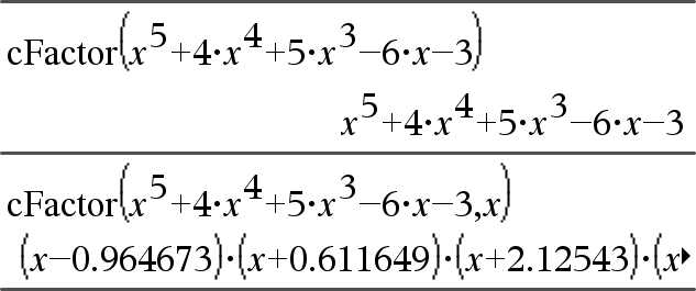
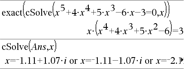
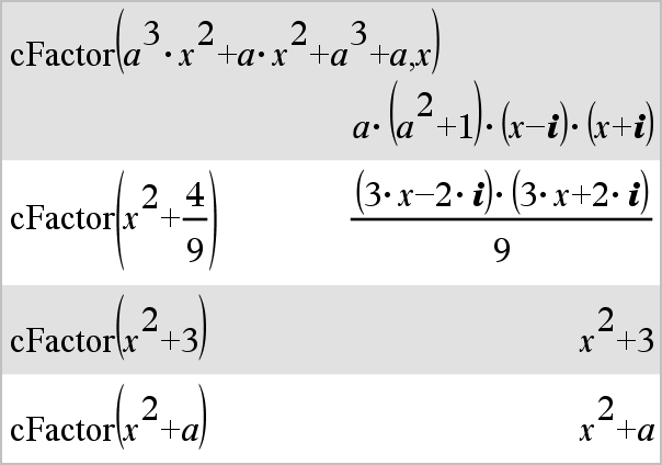
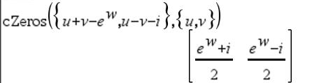
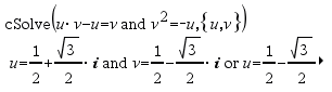
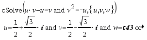
cFactor(Ausdr1[,Var])ÞAusdruck cFactor(Liste1[,Var])ÞListe cFactor(Matrix1[,Var])ÞMatrix
cFactor(Ausdr1) gibt Ausdr1 nach allen seinen Variablen über einem gemeinsamen Nenner faktorisiert zurück. Ausdr1 wird soweit wie möglich in lineare rationale Faktoren zerlegt, selbst wenn dies die Einführung neuer nicht-reeller Zahlen bedeutet. Diese Alternative ist angemessen, wenn Sie die Faktorisierung bezüglich mehr als einer Variablen vornehmen möchten. |
|
|
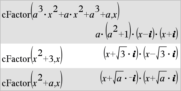
cFactor(Ausdr1,Var) gibt Ausdr1 nach der Variablen Var faktorisiert zurück. Ausdr1 wird soweit wie möglich in Faktoren zerlegt, die linear in Var sind, mit möglicherweise nicht-reellen Konstanten, selbst wenn irrationale Konstanten oder Unterausdrücke, die in anderen Variablen irrational sind, eingeführt werden. Die Faktoren und ihre Terme werden mit Var als Hauptvariable sortiert. Gleichartige Potenzen von Var werden in jedem Faktor zusammengefasst. Beziehen Sie Var ein, wenn die Faktorisierung nur bezüglich dieser Variablen benötigt wird und Sie irrationale Ausdrücke in anderen Variablen akzeptieren möchten, um die Faktorisierung bezüglich Var so weit wie möglich vorzunehmen. Es kann sein, dass als Nebeneffekt in gewissem Umfang eine Faktorisierung nach anderen Variablen auftritt. |
|
|
Bei der Einstellung Auto für den Modus Auto oder Näherung ermöglicht die Einbeziehung von Var auch eine Näherung mit Gleitkommakoeffizienten in Fällen, wo irrationale Koeffizienten nicht explizit bezüglich der integrierten Funktionen ausgedrückt werden können. Selbst wenn es nur eine Variable gibt, kann das Einbeziehen von Var eine vollständigere Faktorisierung ermöglichen. Hinweis: Siehe auch factor(). |
Um das ganze Ergebnis zu sehen, drücken Sie 5 und verwenden dann 7 und 8, um den Cursor zu bewegen. |
|
Katalog > |
|
|
char(Ganzzahl)ÞZeichen Gibt ein Zeichenstring zurück, das das Zeichen mit der Nummer Ganzzahl aus dem Zeichensatz des Handhelds enthält. Der gültige Wertebereich für Ganzzahl ist 0–65535. |
|
|
Katalog > |
|
|
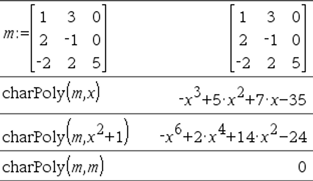
charPoly(Quadratmatrix,Var)ÞPolynomausdruck charPoly(Quadratmatrix, Ausdr)ÞPolynomausdruck charPoly(Quadratmatrix1,Matrix2)ÞPolynomausdruck Gibt das charakteristische Polynom von Quadratmatrix zurück. Das charakteristische Polynom einer n×n Matrix A, gekennzeichnet durch pA(l), ist das durch pA(l) = det(l• I NA) definierte Polynom, wobei I die n×n-Einheitsmatrix kennzeichnet. Quadratmatrix1 und Quadratmatrix2 müssen dieselbe Dimension haben. |
|
|
Katalog > |
|
|
c22way BeobMatrix chi22way BeobMatrix Berechnet eine c2 Testgröße auf Grundlage einer beobachteten Matrix BeobMatrix. Eine Zusammenfassung der Ergebnisse wird in der Variable stat.results gespeichert. (hier.) Informationen zu den Auswirkungen leerer Elemente in einer Matrix finden Sie unter “Leere (ungültige) Elemente” (hier). |
|
|
Ausgabevariable |
Beschreibung |
|
stat.c2 |
Chi-Quadrat-Testgröße: sum(beobachtet - erwartet)2/erwartet |
|
stat.PVal |
Kleinste Signifikanzebene, bei der die Nullhypothese verworfen werden kann |
|
stat.df |
Freiheitsgrade der Chi-Quadrat-Testgröße |
|
stat.ExpMat |
Berechnete Kontingenztafel der erwarteten Häufigkeiten bei Annahme der Nullhypothese |
|
stat.CompMat |
Berechnete Matrix der Chi-Quadrat-Summanden in der Testgröße |
|
Katalog > |
|
|
c2Cdf(untereGrenze,obereGrenze,Freigrad)ÞZahl, wenn untereGrenze und obereGrenze Zahlen sind, Liste, wenn untereGrenze und obereGrenze Listen sind chi2Cdf(untereGrenze,obereGrenze,Freiheitsgrad)ÞZahl, wenn untereGrenze und obereGrenze Zahlen sind, Liste, wenn untereGrenze und obereGrenze Listen sind Berechnet die Verteilungswahrscheinlichkeit c2 zwischen untereGrenze und obereGrenze für die angegebenen Freiheitsgrade FreiGrad. Für P(X { obereGrenze) setzen Sie untereGrenze= 0. Informationen zu den Auswirkungen leerer Elemente in einer Liste finden Sie unter “Leere (ungültige) Elemente” (hier). |
|
|
Katalog > |
|
|
c2GOF BeobListe,expListe,FreiGrad chi2GOF BeobListe,expListe,FreiGrad Berechnet eine Testgröße, um zu überprüfen, ob die Stichprobendaten aus einer Grundgesamtheit stammen, die einer bestimmten Verteilung genügt. obsList ist eine Liste von Zählern und muss Ganzzahlen enthalten. Eine Zusammenfassung der Ergebnisse wird in der Variablen stat.results gespeichert. (hier) Informationen zu den Auswirkungen leerer Elemente in einer Liste finden Sie unter “Leere (ungültige) Elemente” (hier). |
|
|
Ausgabevariable |
Beschreibung |
|
stat.c2 |
Chi-Quadrat-Testgröße: sum((beobachtet - erwartet)2/erwartet |
|
stat.PVal |
Kleinste Signifikanzebene, bei der die Nullhypothese verworfen werden kann |
|
stat.df |
Freiheitsgrade der Chi-Quadrat-Testgröße |
|
stat.CompList |
Liste der Chi-Quadrat-Summanden in der Testgröße |
|
Katalog > |
|
|
c2Pdf(XWert,FreiGrad)ÞZahl, wenn Xwert eine Zahl ist, Liste, wenn XWert eine Liste ist chi2Pdf(XWert,FreiGrad)ÞZahl, wenn XWert eine Zahl ist, Liste, wenn XWert eine Liste ist Berechnet die Wahrscheinlichkeitsdichtefunktion (Pdf) einer c2-Verteilung an einem bestimmten XWert für die vorgegebenen Freiheitsgrade FreiGrad. Informationen zu den Auswirkungen leerer Elemente in einer Liste finden Sie unter “Leere (ungültige) Elemente” (hier). |
|
|
Katalog > |
|
|
ClearAZ Löscht alle Variablen mit einem Zeichen im aktuellen Problembereich. Wenn eine oder mehrere Variablen gesperrt sind, wird bei diesem Befehl eine Fehlermeldung angezeigt und es werden nur die nicht gesperrten Variablen gelöscht. Siehe |
|
|
Katalog > |
|
|
Löscht den Fehlerstatus und setzt die Systemvariable FehlerCode (errCode) auf Null. Das Else im Block Try...Else...EndTry muss ClrErr oder PassErr (ÜbgebFehler) verwenden. Wenn der Fehler verarbeitet oder ignoriert werden soll, verwenden Sie ClrErr. Wenn nicht bekannt ist, was mit dem Fehler zu tun ist, verwenden Sie PassErr, um ihn an den nächsten Error Handler zu übergeben. Wenn keine weiteren Try...Else...EndTry Error Handler unerledigt sind, wird das Fehlerdialogfeld als normal angezeigt. Hinweis: Siehe auch PassErr, hier, und Try, hier. Hinweis zum Eingeben des Beispiels: Anweisungen für die Eingabe von mehrzeiligen Programm- und Funktionsdefinitionen finden Sie im Abschnitt „Calculator“ des Produkthandbuchs. |
Ein Beispiel für ClrErr finden Sie als Beispiel 2 im Abschnitt zum Befehl Versuche (Try), hier.
|
|
Katalog > |
|
|
colAugment(Matrix1, Matrix2)ÞMatrix Gibt eine neue Matrix zurück, die durch Anfügen von Matrix2 an Matrix1 erzeugt wurde. Die Matrizen müssen gleiche Spaltendimensionen haben, und Matrix2 wird zeilenweise an Matrix1 angefügt. Verändert weder Matrix1 noch Matrix2. |
|
|
Katalog > |
|
|
colDim(Matrix)ÞAusdruck Gibt die Anzahl der Spalten von Matrix zurück. Hinweis: Siehe auch rowDim(). |
|
|
Katalog > |
|
|
colNorm(Matrix)ÞAusdruck Gibt das Maximum der Summen der absoluten Elementwerte der Spalten von Matrix zurück. Hinweis: Undefinierte Matrixelemente sind nicht zulässig. Siehe auch rowNorm(). |
|
|
Katalog > |
|
|
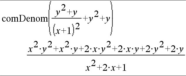
comDenom(Ausdr1[,Var])ÞAusdruck comDenom(Liste1[,Var])ÞListe comDenom(Matrix1[,Var])ÞMatrix
comDenom(Ausdr1) gibt den gekürzten Quotienten aus einem vollständig entwickelten Zähler und einem vollständig entwickelten Nenner zurück. |
|
|
comDenom(Ausdr1,Var) gibt einen gekürzten Quotienten von Zähler und Nenner zurück, der bezüglich Var entwickelt wurde. Die Terme und Faktoren werden mit Var als der Hauptvariablen sortiert. Gleichartige Potenzen von Var werden zusammengefasst. Es kann sein, dass als Nebeneffekt eine Faktorisierung der zusammengefassten Koeffizienten auftritt. Verglichen mit dem Weglassen von Var spart dies häufig Zeit, Speicherplatz und Platz auf dem Bildschirm und macht den Ausdruck verständlicher. Außerdem werden anschließende Operationen an diesem Ergebnis schneller, und es wird weniger wahrscheinlich, dass der Speicherplatz ausgeht. |
|
|
Wenn Var nicht in Ausdr1 vorkommt, gibt comDenom(Ausdr1,Var) einen gekürzten Quotienten eines nicht entwickelten Zählers und eines nicht entwickelten Nenners zurück. Solche Ergebnisse sparen meist sogar noch mehr Zeit, Speicherplatz und Platz auf dem Bildschirm. Solche partiell faktorisierten Ergebnisse machen ebenfalls anschließende Operationen mit dem Ergebnis schneller und das Erschöpfen des Speicherplatzes weniger wahrscheinlich. |
|
|
Sogar wenn kein Nenner vorhanden ist, ist die Funktion comden häufig ein gutes Mittel für das partielle Faktorisieren, wenn factor() zu langsam ist oder den Speicherplatz erschöpft. Tipp: Geben Sie diese Funktionsdefinition comden() ein, und verwenden Sie sie regelmäßig als Alternative zu comDenom() und factor(). |
|
|
Katalog > |
|
|
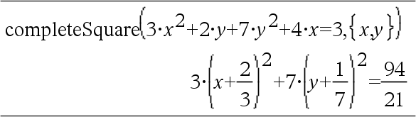
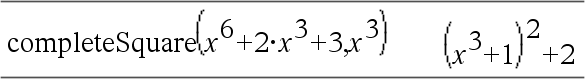
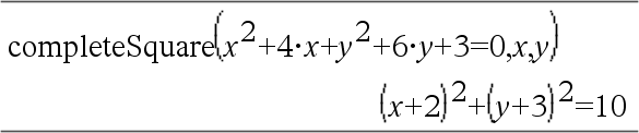
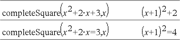
Konvertiert einen quadratischen Polynomausdruck der Form a·x2+b·x+c in die Form a·(x-h)2+k - oder - Konvertiert eine quadratische Gleichung der Form a·x2+b·x+c=d in die Form a·(x-h)2=k Das erste Argument muss ein quadratischer Ausdruck oder eine Gleichung im Standardformat bezüglich des zweiten Arguments sein. Das zweite Argument muss ein einzelner univariater Term bzw. ein einzelner univariater Term hoch einer rationalen Potenz sein, z. B. x, y2 oder z(1/3). Die dritte und vierte Syntax versuchen, das Quadrat mit Bezug auf Var1, Var2 [,… ]) zu vervollständigen. |
|
|
Katalog > |
|
|
conj(Ausdr1)ÞAusdruck conj(Liste1)ÞListe conj(Matrix1)ÞMatrix Gibt das komplex Konjugierte des Arguments zurück. Hinweis: Alle undefinierten Variablen werden als reelle Variablen behandelt. |
|
|
Katalog > |
|
|
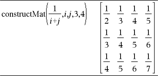
constructMat(Ausdr,Var1,Var2,AnzZeilen,AnzSpalten) ÞMatrix Gibt eine Matrix auf der Basis der Argumente zurück. Ausdr ist ein Ausdruck in Variablen Var1 und Var2. Die Elemente in der resultierenden Matrix ergeben sich durch Berechnung von Ausdr für jeden inkrementierten Wert von Var1 und Var2. Var1 wird automatisch von 1 bis AnzZeilen inkrementiert. In jeder Zeile wird Var2 inkrementiert von 1 bis AnzSpalten. |
|
|
Katalog > |
|
|
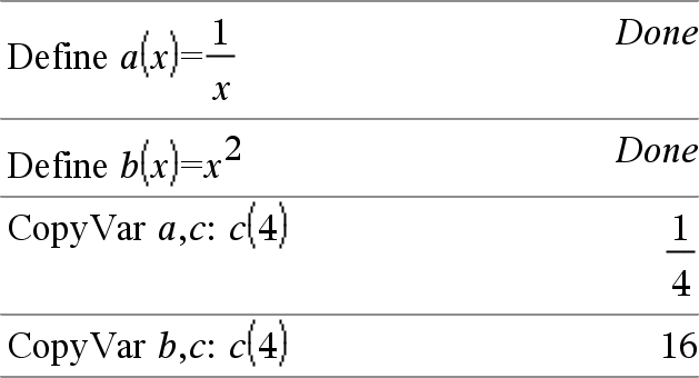
CopyVar Var1, Var2 CopyVar Var1., Var2. CopyVar Var1, Var2 kopiert den Wert der Variablen Var1 auf die Variable Var2 und erstellt ggf. Var2. Variable Var1 muss einen Wert haben. Wenn Var1 der Name einer vorhandenen benutzerdefinierten Funktion ist, wird die Definition dieser Funktion nach Funktion Var2 kopiert. Funktion Var1 muss definiert sein. Var1 muss die Benennungsregeln für Variablen erfüllen oder muss ein indirekter Ausdruck sein, der sich zu einem Variablennamen vereinfachen lässt, der den Regeln entspricht. |
|
|
CopyVar Var1., Var2. kopiert alle Mitglieder der Var1. -Variablengruppe auf die Var2. -Gruppe und erstellt ggf. Var2.. Var1. muss der Name einer bestehenden Variablengruppe sein, wie die Statistikergebnisse stat. nn oder Variablen, die mit der Funktion |
|
|
Katalog > |
|
|
corrMat(Liste1,Liste2[,…[,Liste20]]) Berechnet die Korrelationsmatrix für die erweiterte Matrix [Liste1 Liste2 . . . Liste20]. |
|
|
Katalog > |
|
|
Ausdr 4cos Hinweis: Sie können diesen Operator über die Tastatur Ihres Computers eingeben, indem Sie @>cos eintippen. Drückt Ausdr durch Kosinus aus. Dies ist ein Anzeigeumwandlungsoperator. Er kann nur am Ende der Eingabezeile verwendet werden. 4cos reduziert alle Potenzen von sin(...) modulo 1Ncos(...)^2, so dass alle verbleibenden Potenzen von cos(...) Exponenten im Bereich (0, 2) haben. Deshalb enthält das Ergebnis dann und nur dann kein sin(...), wenn sin(...) im gegebenen Ausdruck nur bei geraden Potenzen auftritt. Hinweis: Dieser Umrechnungsoperator wird im Winkelmodus Grad oder Neugrad (Gon) nicht unterstützt. Bevor Sie ihn verwenden, müssen Sie sicherstellen, dass der Winkelmodus auf Radian eingestellt ist und Ausdr keine expliziten Verweise auf Winkel in Grad oder Neugrad enthält. |
|
|
µ Taste |
|
|
cos(Ausdr1)ÞAusdruck cos(Liste1)ÞListe
cos(Liste1) gibt in Form einer Liste für jedes Element in Liste1 den Kosinus zurück. Hinweis: Der als Argument angegebene Winkel wird gemäß der aktuellen Winkelmoduseinstellung als Grad, Neugrad oder Bogenmaß interpretiert. Sie können ¡, G oder R benutzen, um den Winkelmodus vorübergend aufzuheben. |
Im Grad-Modus:
Im Neugrad-Modus:
Im Bogenmaß-Modus:
|
|
cos(Quadratmatrix1)ÞQuadratmatrix Gibt den Matrix-Kosinus von Quadratmatrix1 zurück. Dies ist nicht gleichbedeutend mit der Berechnung des Kosinus jedes einzelnen Elements. Wenn eine skalare Funktion f(A) auf Quadratmatrix1 (A) angewendet wird, erfolgt die Berechnung des Ergebnisses durch den Algorithmus: Berechnung der Eigenwerte (li) und Eigenvektoren (Vi) von A. Quadratmatrix1 muss diagonalisierbar sein. Sie darf auch keine symbolischen Variablen ohne zugewiesene Werte enthalten. Bildung der Matrizen:
Dann ist A = X B X/und f(A) = X f(B) X/. Beispiel: cos(A) = X cos(B) X/, wobei: cos (B) =
Alle Berechnungen werden unter Verwendung von Fließkomma-Operationen ausgeführt. |
Im Bogenmaß-Modus:
|
|
µ Taste |
|
|
cos/(Ausdr1)ÞAusdruck cos/(Liste1)ÞListe
cos/(Liste1) gibt in Form einer Liste für jedes Element aus Liste1 den inversen Kosinus zurück. Hinweis: Das Ergebnis wird gemäß der aktuellen Winkelmoduseinstellung in Grad, in Neugrad oder im Bogenmaß zurückgegeben. Hinweis: Sie können diese Funktion über die Tastatur Ihres Computers eingeben, indem Sie arccos(...) eintippen. |
Im Grad-Modus:
Im Neugrad-Modus:
Im Bogenmaß-Modus:
|
|
cos/(Quadratmatrix1)ÞQuadratmatrix Gibt den inversen Matrix-Kosinus von Quadratmatrix1 zurück. Dies ist nicht gleichbedeutend mit der Berechnung des inversen Kosinus jedes einzelnen Elements. Näheres zur Berechnungsmethode finden Sie im Abschnitt cos(). Quadratmatrix1 muss diagonalisierbar sein. Das Ergebnis enthält immer Fließkommazahlen. |
Im Winkelmodus Bogenmaß und Komplex-Formatmodus “kartesisch”:
Um das ganze Ergebnis zu sehen, drücken Sie 5 und verwenden dann 7 und 8, um den Cursor zu bewegen. |
|
Katalog > |
|
|
cosh(Ausdr1)ÞAusdruck cosh(Liste1)ÞListe
cosh(Liste1) gibt in Form einer Liste für jedes Element aus Liste1 den Cosinus hyperbolicus zurück. |
Im Grad-Modus:
|
|
cosh(Quadratmatrix1)ÞQuadratmatrix Gibt den Matrix-Cosinus hyperbolicus von Quadratmatrix1 zurück. Dies ist nicht gleichbedeutend mit der Berechnung des Cosinus hyperbolicus jedes einzelnen Elements. Näheres zur Berechnungsmethode finden Sie im Abschnitt cos(). Quadratmatrix1 muss diagonalisierbar sein. Das Ergebnis enthält immer Fließkommazahlen. |
Im Bogenmaß-Modus:
|
|
Katalog > |
|
|
cosh/(Ausdr1)ÞAusdruck cosh/(Liste1)ÞListe
cosh/(Liste1) gibt in Form einer Liste für jedes Element aus Liste1 den inversen Cosinus hyperbolicus zurück. |
|
|
Hinweis: Sie können diese Funktion über die Tastatur Ihres Computers eingeben, indem Sie arccosh(...) eintippen. cosh/(Quadratmatrix1)ÞQuadratmatrix Gibt den inversen Matrix-Cosinus hyperbolicus von Quadratmatrix1 zurück. Dies ist nicht gleichbedeutend mit der Berechnung des inversen Cosinus hyperbolicus jedes einzelnen Elements. Näheres zur Berechnungsmethode finden Sie im Abschnitt cos(). Quadratmatrix1 muss diagonalisierbar sein. Das Ergebnis enthält immer Fließkommazahlen. |
Im Winkelmodus Bogenmaß und Komplex-Formatmodus “kartesisch”:
Um das ganze Ergebnis zu sehen, drücken Sie 5 und verwenden dann 7 und 8, um den Cursor zu bewegen. |
|
µ Taste |
|
|
cot(Ausdr1) Þ Ausdruck cot(Liste1) Þ Liste Gibt den Kotangens von Ausdr1 oder eine Liste der Kotangens aller Elemente in Liste1 zurück. Hinweis: Der als Argument angegebene Winkel wird gemäß der aktuellen Winkelmoduseinstellung als Grad, Neugrad oder Bogenmaß interpretiert. Sie können ¡, G oder R benutzen, um den Winkelmodus vorübergend aufzuheben. |
Im Grad-Modus:
Im Neugrad-Modus:
Im Bogenmaß-Modus:
|
|
µ Taste |
|
|
cot/(Ausdr1)ÞAusdruck cot/(Liste1)ÞListe Gibt entweder den Winkel, dessen Kotangens Ausdr1 ist, oder eine Liste der inversen Kotangens aller Elemente in Liste1 zurück. Hinweis: Das Ergebnis wird gemäß der aktuellen Winkelmoduseinstellung in Grad, in Neugrad oder im Bogenmaß zurückgegeben. Hinweis: Sie können diese Funktion über die Tastatur Ihres Computers eingeben, indem Sie arccot(...) eintippen. |
Im Grad-Modus:
Im Neugrad-Modus:
Im Bogenmaß-Modus:
|
|
Katalog > |
|
|
coth(Ausdr1)ÞAusdruck coth(Liste1)ÞListe Gibt den hyperbolischen Kotangens von Ausdr1 oder eine Liste der hyperbolischen Kotangens aller Elemente in Liste1 zurück. |
|
|
Katalog > |
|
|
coth/(Ausdr1)ÞAusdruck coth/(Liste1)ÞListe Gibt den inversen hyperbolischen Kotangens von Ausdr1 oder eine Liste der inversen hyperbolischen Kotangens aller Elemente in Liste1 zurück. Hinweis: Sie können diese Funktion über die Tastatur Ihres Computers eingeben, indem Sie arccoth(...) eintippen. |
|
|
Katalog > |
|
|
count(Wert1oderListe1 [,Wert2oderListe2 [,...]])ÞWert Gibt die kumulierte Anzahl aller Elemente in den Argumenten zurück, deren Auswertungsergebnisse numerische Werte sind. Jedes Argument kann ein Ausdruck, ein Wert, eine Liste oder eine Matrix sein. Sie können Datenarten mischen und Argumente unterschiedlicher Dimensionen verwenden. Für eine Liste, eine Matrix oder einen Zellenbereich wird jedes Element daraufhin ausgewertet, ob es in die Zählung eingeschlossen werden soll. Innerhalb der Lists & Spreadsheet Applikation können Sie anstelle eines beliebigen Arguments auch einen Zellenbereich verwenden. Leere (ungültige) Elemente werden ignoriert. Weitere Informationen zu leeren Elementen finden Sie (hier). |
Im letzten Beispiel werden nur 1/2 und 3+4*i gezählt. Die übrigen Argumente ergeben unter der Annahme, dass x nicht definiert ist, keine numerischen Werte. |
|
Katalog > |
|||||||
|
countIf(Liste,Kriterien)ÞWert Gibt die kumulierte Anzahl aller Elemente in der Liste zurück, die die festgelegten Kriterien erfüllen. Kriterien können sein:
Innerhalb der Lists & Spreadsheet Applikation können Sie anstelle der Liste auch einen Zellenbereich verwenden. Leere (ungültige) Elemente in der Liste werden ignoriert. Weitere Informationen zu leeren Elementen finden Sie (hier). |
Zählt die Anzahl der Elemente, die 3 entsprechen.
Zählt die Anzahl der Elemente, die “def.” entsprechen
Zählt die Anzahl der Elemente, die x entsprechen; dieses Beispiel nimmt an, dass die Variable x nicht definiert ist.
Zählt 1 und 3.
Zählt 3, 5 und 7.
Zählt 1, 3, 7 und 9. |
|
Katalog > |
|
|
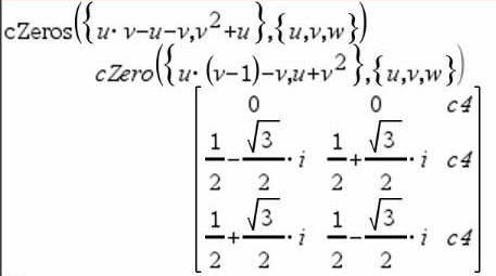
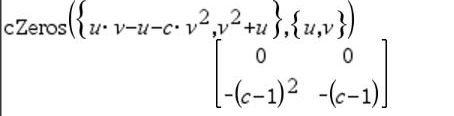
Die erste Syntax
Die zweite Syntax Hinweis: Siehe auch |
|
|
Katalog > |
|
|
crossP(Liste1, Liste2)ÞListe Gibt das Kreuzprodukt von Liste1 und Liste2 als Liste zurück. Liste1 und Liste2 müssen die gleiche Dimension besitzen, die entweder 2 oder 3 sein muss. |
|
|
crossP(Vektor1, Vektor2)ÞVektor Gibt einen Zeilen- oder Spaltenvektor zurück (je nach den Argumenten), der das Kreuzprodukt von Vektor1 und Vektor2 ist. Entweder müssen Vektor1 und Vektor2 beide Zeilenvektoren oder beide Spaltenvektoren sein. Beide Vektoren müssen die gleiche Dimension besitzen, die entweder 2 oder 3 sein muss. |
|
|
µ Taste |
|
|
csc(Ausdr1)ÞAusdruck csc(Liste1)ÞListe Gibt den Kosekans von Ausdr1 oder eine Liste der Konsekans aller Elemente in Liste1 zurück. |
Im Grad-Modus:
Im Neugrad-Modus:
Im Bogenmaß-Modus:
|
|
µ Taste |
|
|
csc/(Ausdr1) Þ Ausdruck csc/(Liste1) Þ Liste Gibt entweder den Winkel, dessen Kosekans Ausdr1 entspricht, oder eine Liste der inversen Kosekans aller Elemente in Liste1 zurück. Hinweis: Das Ergebnis wird gemäß der aktuellen Winkelmoduseinstellung in Grad, in Neugrad oder im Bogenmaß zurückgegeben. Hinweis: Sie können diese Funktion über die Tastatur Ihres Computers eingeben, indem Sie arccsc(...) eintippen. |
Im Grad-Modus:
Im Neugrad-Modus:
Im Bogenmaß-Modus:
|
|
Katalog > |
|
|
csch(Ausdr1) Þ Ausdruck csch(Liste1) Þ Liste Gibt den hyperbolischen Kosekans von Ausdr1 oder eine Liste der hyperbolischen Kosekans aller Elemente in Liste1 zurück. |
|
|
Katalog > |
|
|
csch/(Ausdr1) Þ Ausdruck csch/(Liste1) Þ Liste Gibt den inversen hyperbolischen Kosekans von Ausdr1 oder eine Liste der inversen hyperbolischen Kosekans aller Elemente in Liste1 zurück. Hinweis: Sie können diese Funktion über die Tastatur Ihres Computers eingeben, indem Sie arccsch(...) eintippen. |
|
|
Katalog > |
|
|
CubicReg X, Y[, [Häuf] [, Kategorie, Mit]] Berechnet die kubische polynomiale Regressiony = a·x3+b· x2+c·x+dauf Listen X und Y mit der Häufigkeit Häuf. Eine Zusammenfassung der Ergebnisse wird in der Variablen stat.results gespeichert. (hier.) Alle Listen außer Mit müssen die gleiche Dimension besitzen. X und Y sind Listen von unabhängigen und abhängigen Variablen. Häuf ist eine optionale Liste von Häufigkeitswerten. Jedes Element in Häuf gibt die Häufigkeit für jeden entsprechenden Datenpunkt X und Y an. Der Standardwert ist 1. Alle Elemente müssen Ganzzahlen | 0 sein. Kategorie ist eine Liste von Kategoriecodes für die entsprechenden X und Y Daten. Mit ist eine Liste von einem oder mehreren Kategoriecodes. Nur solche Datenelemente, deren Kategoriecode in dieser Liste enthalten ist, sind in der Berechnung enthalten. Informationen zu den Auswirkungen leerer Elemente in einer Liste finden Sie unter “Leere (ungültige) Elemente” (hier). |
|
|
Ausgabevariable |
Beschreibung |
|
stat.RegEqn |
Regressionsgleichung: a·x3+b·x2+c·x+d |
|
stat.a, stat.b, stat.c, stat.d |
Regressionskoeffizienten |
|
stat.R2 |
Bestimmungskoeffizient |
|
stat.Resid |
Residuen von der Regression |
|
stat.XReg |
Liste der Datenpunkte in der modifizierten X List, die schließlich in der Regression mit den Beschränkungen für Häufigkeit, Kategorieliste und Mit Kategorien verwendet wurde |
|
stat.YReg |
Liste der Datenpunkte in der modifizierten Y List, die schließlich in der Regression mit den Beschränkungen für Häufigkeit, Kategorieliste und Mit Kategorien verwendet wurde |
|
stat.FreqReg |
Liste der Häufigkeiten für stat.XReg und stat.YReg |
|
Katalog > |
|
|
cumulativeSum(Liste1)ÞListe Gibt eine Liste der kumulierten Summen der Elemente aus Liste1 zurück, wobei bei Element 1 begonnen wird. |
|
|
cumulativeSum(Matrix1)ÞMatrix Gibt eine Matrix der kumulierten Summen der Elemente aus Matrix1 zurück. Jedes Element ist die kumulierte Summe der Spalte von oben nach unten. Ein leeres (ungültiges) Element in Liste1 oder Matrix1 erzeugt ein ungültiges Element in der resultierenden Liste oder Matrix. Weitere Informationen zu leeren Elementen finden Sie (hier). |
|
|
Katalog > |
|
|
Cycle (Zyklus) Übergibt die Programmsteuerung sofort an die nächste Wiederholung der aktuellen Schleife (For, While oder Loop). Cycle ist außerhalb dieser drei Schleifenstrukturen (For, While oder Loop) nicht zulässig. Hinweis zum Eingeben des Beispiels: Anweisungen für die Eingabe von mehrzeiligen Programm- und Funktionsdefinitionen finden Sie im Abschnitt „Calculator“ des Produkthandbuchs. |
Funktionslisting, das die ganzen Zahlen von 1 bis 100 summiert und dabei 50 überspringt.
|
|
Katalog > |
|
|
Vektor 4Cylind Hinweis: Sie können diesen Operator über die Tastatur Ihres Computers eingeben, indem Sie @>Cylind eintippen. Zeigt den Zeilen- oder Spaltenvektor in Zylinderkoordinaten [r,±q, z] an. Vektor muss genau drei Elemente besitzen. Er kann entweder ein Zeilen- oder Spaltenvektor sein. |
|
