A
|
Katalog > |
|
|
abs(Ausdr1)ÞAusdruck abs(Liste1)ÞListe abs(Matrix1)ÞMatrix Gibt den Absolutwert des Arguments zurück. Hinweis: Siehe auch Vorlage Absolutwert, hier. Ist das Argument eine komplexe Zahl, wird der Betrag der Zahl zurückgegeben. Hinweis: Alle undefinierten Variablen werden als reelle Variablen behandelt. |
|
|
Katalog > |
||||||||||
|
amortTbl(NPmt,N,I,PV, [Pmt], [FV], [PpY], [CpY], [PmtAt], [WertRunden])ÞMatrix Amortisationsfunktion, die eine Matrix als Amortisationstabelle für eine Reihe von TVM-Argumenten zurückgibt. NPmt ist die Anzahl der Zahlungen, die in der Tabelle enthalten sein müssen. Die Tabelle beginnt mit der ersten Zahlung. N, I, PV, Pmt, FV, PpY, CpY und PmtAt werden in der TVM-Argumentetabelle (hier) beschrieben.
WertRunden (roundValue) legt die Anzahl der Dezimalstellen für das Runden fest. Standard=2. Die Spalten werden in der Ergebnismatrix in der folgenden Reihenfolge ausgegeben: Zahlungsnummer, Zinsanteil, Tilgungsanteil, Saldo. Der in Zeile n angezeigte Saldo ist der Saldo nach Zahlung n. Sie können die ausgegebene Matrix als Eingabe für die anderen Amortisationsfunktionen GInt() und GPrn(), hier, und bal(), hier, verwenden. |
|
|
Katalog > |
|
|
Boolescher Ausdr1 and Boolescher Ausdr2ÞBoolescher Ausdruck Boolesche Liste1 and Boolesche Liste2 ÞBoolesche Liste Boolesche Matrix1 and Boolesche Matrix2ÞBoolesche Matrix Gibt „wahr“ oder „falsch“ oder eine vereinfachte Form des ursprünglichen Terms zurück. |
|
|
Ganzzahl1
Vergleicht zwei reelle ganze Zahlen mit Hilfe einer Sie können die ganzen Zahlen in jeder Basis eingeben. Für eine binäre oder hexadezimale Eingabe ist das Präfix 0b bzw. 0h zu verwenden. Ohne Präfix werden ganze Zahlen als dezimal behandelt (Basis 10). Geben Sie eine dezimale ganze Zahl ein, die für eine 32-Bit-Dualform mit Vorzeichen zu groß ist, dann wird eine symmetrische Modulo-Operation ausgeführt, um den Wert in den erforderlichen Bereich zu bringen. |
Im Hex-Modus:
Wichtig: Null, nicht Buchstabe O.
Im Bin-Modus:
Im Dec-Modus:
Hinweis: Eine binäre Eingabe kann bis zu 64 Stellen haben (das Präfix 0b wird nicht mitgezählt). Eine hexadezimale Eingabe kann bis zu 16 Stellen aufweisen. |
|
Katalog > |
|
|
angle(Ausdr1)ÞAusdruck Gibt den Winkel des Arguments zurück, wobei das Argument als komplexe Zahl interpretiert wird.
|
Im Grad-Modus:
Im Neugrad-Modus:
Im Bogenmaß-Modus:
|
|
angle(Liste1)ÞListe angle(Matrix1)ÞMatrix Gibt als Liste oder Matrix die Winkel der Elemente aus Liste1 oder Matrix1 zurück, wobei jedes Element als komplexe Zahl interpretiert wird, die einen zweidimensionalen kartesischen Koordinatenpunkt darstellt. |
|
Katalog > |
|
|
ANOVA Liste1,Liste2[,Liste3,...,Liste20][,Flag] Führt eine einfache Varianzanalyse durch, um die Mittelwerte von zwei bis maximal 20 Grundgesamtheiten zu vergleichen. Eine Zusammenfassung der Ergebnisse wird in der Variable stat.results gespeichert. (hier) Flag=0 für Daten, Flag=1 für Statistik |
|
|
Ausgabevariable |
Beschreibung |
|
stat.F |
Wert der F Statistik |
|
stat.PVal |
Kleinste Signifikanzebene, bei der die Nullhypothese verworfen werden kann |
|
stat.df |
Gruppen-Freiheitsgrade |
|
stat.SS |
Summe der Fehlerquadrate zwischen den Gruppen |
|
stat.MS |
Mittlere Quadrate der Gruppen |
|
stat.dfError |
Fehler-Freiheitsgrade |
|
stat.SSError |
Summe der Fehlerquadrate |
|
stat.MSError |
Mittleres Quadrat für die Fehler |
|
stat.sp |
Verteilte Standardabweichung |
|
stat.xbarlist |
Mittelwerte der Eingabelisten |
|
stat.CLowerList |
95 % Konfidenzintervalle für den Mittelwert jeder Eingabeliste |
|
stat.CUpperList |
95 % Konfidenzintervalle für den Mittelwert jeder Eingabeliste |
|
Katalog > |
|
|
ANOVA2way Liste1,Liste2[,Liste3,…,Liste10][,LevZei] Berechnet eine zweifache Varianzanalyse, um die Mittelwerte von zwei bis maximal 10 Grundgesamtheiten zu vergleichen. Eine Zusammenfassung der Ergebnisse wird in der Variable stat.results gespeichert. (hier) LevZei=0 für Block LevZei=2,3,...,Len-1, für Faktor zwei, wobei Len=length(Liste1)=length(Liste2) = … = length(Liste10) und Len / LevZei Î {2,3,…} |
|
Ausgaben: Block-Design
|
Ausgabevariable |
Beschreibung |
|
stat.F |
F Statistik des Spaltenfaktors |
|
stat.PVal |
Kleinste Signifikanzebene, bei der die Nullhypothese verworfen werden kann |
|
stat.df |
Freiheitsgrade des Spaltenfaktors |
|
stat.SS |
Summe der Fehlerquadrate des Spaltenfaktors |
|
stat.MS |
Mittlere Quadrate für Spaltenfaktor |
|
stat.FBlock |
F Statistik für Faktor |
|
stat.PValBlock |
Kleinste Wahrscheinlichkeit, bei der die Nullhypothese verworfen werden kann |
|
stat.dfBlock |
Freiheitsgrade für Faktor |
|
stat.SSBlock |
Summe der Fehlerquadrate für Faktor |
|
stat.MSBlock |
Mittlere Quadrate für Faktor |
|
stat.dfError |
Fehler-Freiheitsgrade |
|
stat.SSError |
Summe der Fehlerquadrate |
|
stat.MSError |
Mittlere Quadrate für die Fehler |
|
stat.s |
Standardabweichung des Fehlers |
Ausgaben des SPALTENFAKTORS
|
Ausgabevariable |
Beschreibung |
|
stat.Fcol |
F Statistik des Spaltenfaktors |
|
stat.PValCol |
Wahrscheinlichkeitswert des Spaltenfaktors |
|
stat.dfCol |
Freiheitsgrade des Spaltenfaktors |
|
stat.SSCol |
Summe der Fehlerquadrate des Spaltenfaktors |
|
stat.MSCol |
Mittlere Quadrate für Spaltenfaktor |
Ausgaben des ZEILENFAKTORS
|
Ausgabevariable |
Beschreibung |
|
stat.Frow |
F Statistik des Zeilenfaktors |
|
stat.PValRow |
Wahrscheinlichkeitswert des Zeilenfaktors |
|
stat.dfRow |
Freiheitsgrade des Zeilenfaktors |
|
stat.SSRow |
Summe der Fehlerquadrate des Zeilenfaktors |
|
stat.MSRow |
Mittlere Quadrate für Zeilenfaktor |
INTERAKTIONS-Ausgaben
|
Ausgabevariable |
Beschreibung |
|
stat.FInteract |
F Statistik der Interaktion |
|
stat.PValInteract |
Wahrscheinlichkeitswert der Interaktion |
|
stat.dfInteract |
Freiheitsgrade der Interaktion |
|
stat.SSInteract |
Summe der Fehlerquadrate der Interaktion |
|
stat.MSInteract |
Mittlere Quadrate für Interaktion |
FEHLER-Ausgaben
|
Ausgabevariable |
Beschreibung |
|
stat.dfError |
Fehler-Freiheitsgrade |
|
stat.SSError |
Summe der Fehlerquadrate |
|
stat.MSError |
Mittlere Quadrate für die Fehler |
|
s |
Standardabweichung des Fehlers |
|
/v Taste |
|
|
AnsÞWert Gibt das Ergebnis des zuletzt ausgewerteten Ausdrucks zurück. |
|
|
Katalog > |
|
|
approx(Ausdr1)ÞAusdruck Gibt die Auswertung des Arguments ungeachtet der aktuellen Einstellung des Modus Auto oder Näherung als Dezimalwert zurück, sofern möglich. Gleichwertig damit ist die Eingabe des Arguments und Drücken von /·. |
|
|
approx(Liste1)ÞListe approx(Matrix1)ÞMatrix Gibt, sofern möglich, eine Liste oder Matrix zurück, in der jedes Element dezimal ausgewertet wurde. |
|
|
Katalog > |
|
|
Liste 4approxFraction([Tol])ÞListe Matrix 4approxFraction([Tol])ÞMatrix Gibt die Eingabe als Bruch mit der Toleranz Tol zurück. Wird tol weggelassen, so wird die Toleranz 5.E-14 verwendet. Hinweis: Sie können diese Funktion über die Tastatur Ihres Computers eingeben, indem Sie @>approxFraction(...) eintippen. |
|
|
Katalog > |
|
|
approxRational(Ausdr[, Tol])ÞAusdruck approxRational(Liste[, Tol])ÞListe approxRational(Matrix[, Tol])ÞMatrix Gibt das Argument als Bruch mit der Toleranz Tol zurück. Wird tol weggelassen, so wird die Toleranz 5.E-14 verwendet. |
|
|
Siehe cos/(), hier |
|
|
|
|
|
Siehe cosh/(), hier. |
|
|
|
|
|
Siehe cot/(), hier. |
|
|
|
|
|
Siehe coth/(), hier. |
|
|
|
|
|
Siehe csc/(), hier. |
|
|
|
|
|
Siehe csch/(), hier. |
|
|
|
|
|
Katalog > |
|
|
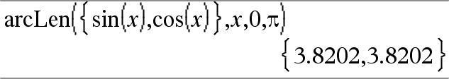
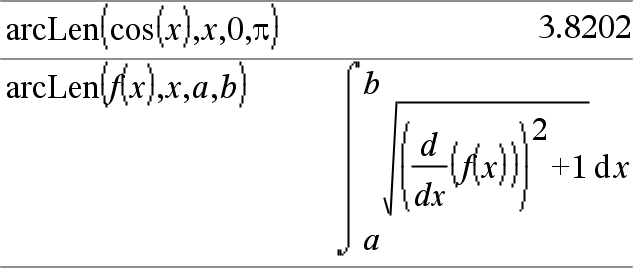
arcLen(Ausdr1,Var,Start,Ende) ÞAusdruck Gibt die Bogenlänge von Ausdr1 von Start bis Ende bezüglich der Variablen Var zurück. Die Bogenlänge wird als Integral unter Annahme einer Definition im Modus Funktion berechnet. |
|
|
arcLen(Liste1,Var,Start,Ende)ÞListe Gibt eine Liste der Bogenlängen für jedes Element von Liste1 zwischen Start und Ende bezüglich der Variablen Var zurück. |
|
|
Siehe sec/(), hier. |
|
|
|
|
|
Siehe sech/(), hier. |
|
|
|
|
|
Siehe sin/(), hier. |
|
|
|
|
|
Siehe sinh/(), hier. |
|
|
|
|
|
Siehe tan/(), hier. |
|
|
|
|
|
Siehe tanh/(), hier. |
|
|
|
|
|
Katalog > |
|
|
augment(Liste1, Liste2)ÞListe Gibt eine neue Liste zurück, die durch Anfügen von Liste2 ans Ende von Liste1 erzeugt wurde. |
|
|
augment(Matrix1, Matrix2)ÞMatrix Gibt eine neue Matrix zurück, die durch Anfügen von Matrix2 an Matrix1 erzeugt wurde. Wenn das Zeichen “,” verwendet wird, müssen die Matrizen gleiche Zeilendimensionen besitzen, und Matrix2 wird spaltenweise an Matrix1 angefügt. Verändert weder Matrix1 noch Matrix2. |
|
|
Katalog > |
|
|
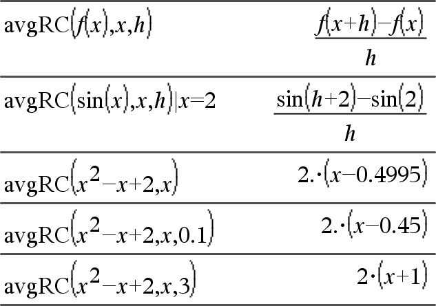
Gibt den rechtsseitigen Differenzenquotienten zurück (durchschnittliche Änderungsrate). Ausdr1 kann eine benutzerdefinierte Funktion sein (siehe Func). Wenn Wert angegeben ist, setzt er jede vorausgegangene Variablenzuweisung oder jede aktuelle „|“ Ersetzung für die Variable außer Kraft. Schritt ist der Schrittwert. Wird Schritt nicht angegeben, wird als Vorgabewert 0,001 benutzt. Beachten Sie, dass die ähnliche Funktion |
|
