C
|
Katalog > |
|
|
ceiling(Værdi1)Þværdi Returnerer det nærmeste heltal, der er | argumentet. Argumentet kan være et reelt eller komplekst tal. Bemærk: Se også floor(). |
|
|
ceiling(Liste)Þliste ceiling(Matrix1)Þmatrix Returnerer en liste eller matrix med oprunding anvendt på hvert element. |
|
|
Katalog > |
|
|
Returnerer den numeriske differentialkvotient udregnet med formlen for den centrale differenskvotient. Når Værdi er angivet, tilsidesætter den alle forudgående variabeltildelinger og alle nuværende “|” substitutioner for variablen. Trin er trinværdien. Hvis Trin udelades, er standardværdien 0,001. Ved anvendelse af Liste1 eller Matrix1 bliver operationen mappet på tværs af værdierne i listen eller på tværs af matrixelementerne. Bemærk: Se også . |
|
|
Katalog > |
|
|
char(Heltal)Þtegn Returnerer en tegnstreng med tegnet nummereret Heltal fra grafregnerens tegnsæt. Det gyldige område for Heltal er 0–65535. |
|
|
Katalog > |
|
|
c22way obsMatrix chi22way obsMatrix Beregner en c2 test til association på tovejstabellen med tællinger i den observerede matrix obsMatrix. En sammenfatning af resultaterne lagres i variablen stat.results. (her.) Oplysninger om effekten af tomme elementer i en matrix findes “Tomme (ugyldige) elementer,” her. |
|
|
Output-variabel |
Beskrivelse |
|
stat.c2 |
Chi-kvadrat stat: sum (observeret - forventet)2/forventet |
|
stat.PVal |
Mindste signifikansniveau, ved hvilket nul-hypotesen kan forkastes |
|
stat.df |
Frihedsgrader for Chi-kvadrat stat |
|
stat.ExpMat |
Matrix med forventet elementtællingstabel, der antager nulhypotese |
|
stat.CompMat |
Matrix med bidrag til chi-kvadrat elementbidrag |
|
Katalog > |
|
|
c2Cdf(nedreGrænse,øvreGrænse,df)Þtal hvis nedreGrænse og øvreGrænse er tal, liste hvis nedreGrænse og øvreGrænse er lister chi2Cdf(nedreGrænse,øvreGrænse,df)Þtal hvis nedreGrænse og øvreGrænse er tal, liste hvis nedreGrænse og øvreGrænse er lister Beregn c2 sandsynlighedsfordelingen mellem nedreGrænse og øvreGrænse for de angivne frihedsgrader df. For P(X { øvreGrænse), sæt nedreGrænse=0. Oplysninger om effekten af tomme elementer i en liste findes “Tomme (ugyldige) elementer,” her. |
|
|
Katalog > |
|
|
c2GOF obsListe,forvListe,fg chi2GOF obsListe,forvListe,fg Udfører en test for at bekræfte, at måledataene er fra en population, der er i overensstemmelse med en angivet distribution. obsList er en liste med antal, og skal indeholde heltal. En sammenfatning af resultaterne lagres i stat.results variable. (her.) Oplysninger om effekten af tomme elementer i en liste findes “Tomme (ugyldige) elementer,” her. |
|
|
Output-variabel |
Beskrivelse |
|
stat.c2 |
Chi-kvadrat stat: sum((observeret - forventet)2/forventet |
|
stat.PVal |
Mindste signifikansniveau, ved hvilket nul-hypotesen kan forkastes |
|
stat.df |
Frihedsgrader for Chi-kvadrat stat |
|
stat.CompList |
Bidrag til chi-kvadrat elementbidrag |
|
Katalog > |
|
|
c2Pdf(XVal,df)Þtal hvis XVal er et tal, liste hvis XVal er en liste chi2Pdf(XVal,df)Þtal hvis XVal er et tal, liste, hvis XVal er en liste Beregner tæthedsfunktionen (pdf) for c2 fordelingen ved en angivet XVal-værdi for den angivne frihedsgrad df. Oplysninger om effekten af tomme elementer i en liste findes “Tomme (ugyldige) elementer,” her. |
|
|
Katalog > |
|
|
ClearAZ Sletter alle enkelttegnsvariable i det aktuelle opgaverum. Hvis en eller flere af variablene er låst, viser denne kommando en fejlmeddelelse og sletter kun de ulåste variable. Se |
|
|
Katalog |
|
|
Sletter fejlstatus og indstiller systemvariabel errCode til nul. Else betingelsen i Try...Else...EndTry-blokken bør anvende ClrErr eller PassErr. Brug ClrErr, hvis fejlen skal behandles eller ignoreres. Brug PassErr, hvis det ikke er kendt, hvad der skal gøres ved fejlen, for at sende den til den næste fejlhåndtering. Hvis der ikke er flere ventende Try...Else...EndTry-fejlhåndteringer, vises fejldialogboksen som normalt. Bemærk: Se også PassErr, her, og Try, her. Bemærk indtastning af eksemplet: For instruktioner til at indtaste programmer over flere linjer og definering af funktioner se Beregninger-afsnittet i din produktvejledning. |
Se et eksempel på ClrErr, i Eksempel 2 under Try-kommandoen, her. |
|
Katalog > |
|
|
colAugment(Matrix1, Matrix2)Þmatrix Returnerer en ny matrix, der er Matrix2 føjet til Matrix1. Matricerne skal have lige store kolonnedimensioner, og Matrix2 føjes til Matrix1 som nye rækker. Ændrer ikke Matrix1 eller Matrix2. |
|
|
Katalog > |
|
|
colDim(Matrix)Þudtryk Returnerer antallet af kolonner i Matrix. Bemærk: Se også rowDim(). |
|
|
Katalog > |
|
|
colNorm(Matrix)Þudtryk Returnerer maksimum for summerne af de absolutte værdier for elementerne i kolonnerne i Matrix. Bemærk: Udefinerede matrixelementer er ikke tilladt. Se også rowNorm(). |
|
|
Katalog > |
|
|
conj(Værdi1)Þværdi conj(Liste1)Þliste conj(Matrix1)Þmatrix Returnerer kompleks konjugerede af argumentet. Bemærk: Alle udefinerede variable behandles som reelle variable. |
|
|
Katalog > |
|
|
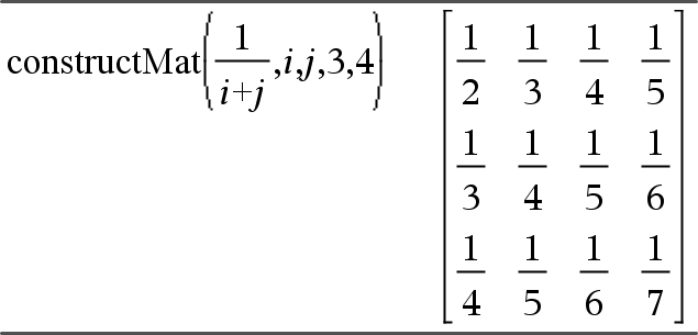
constructMat(Udtr,Var1,Var2,antalRækker,antalKol) Þmatrix Returnerer en matrix baseret på argumenter. Udtr er et udtryk i variablerne Var1 og Var2. Elementer i den resulterende matrix er dannet ved beregning af Udtr for hver forøget værdi af Var1 og Var2. Var1 er automatisk forøget fra 1 til antalRækker. Inden for hver række, Var2 er forøget fra 1 til antalKol. |
|
|
Katalog > |
|
|
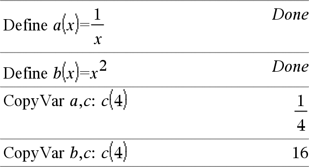
CopyVar Var1, Var2 CopyVar Var1., Var2. CopyVar Var1, Var2 kopierer værdien af variablen Var1 til variabelen Var2, og opretter Var2 hvis nødvendigt. Variablen Var1 skal have en værdi Hvis Var1 er navnet på en eksisterende brugerdefineret funktion, kopieres definitionen af denne funktion til funktionen Var2. Funktionen Var1 skal defineres. Var1 skal opfylde kravene til navngivning af variable, eller være et indirekte udtryk, der kan reduceres til et variabelnavn, der opfylder betingelserne. |
|
|
CopyVar Var1., Var2. kopierer alle elementer af Var1. variabelgruppen til Var2. gruppen, og opretter Var2. hvis nødvendigt. Var1. skal være navnet på en eksisterende variabelgruppe, så som statistikken stat.nn resultater eller variable dannet ved brug af |
|
|
Katalog > |
|
|
corrMat(Liste1,Liste2[,…[,Liste20]]) Beregner korrelationsmatricen for den udvidede matrix [Liste1 Liste2 . . . Liste20]. |
|
|
µ-tast |
|
|
udtryk cos(Værdi1)Þværdi cos(Liste1)Þlist
cos(Liste1) returnerer en liste med cosinus til alle elementer i Liste1. Bemærk: Argumentet fortolkes som en vinkel målt i grader, nygrader eller radianer afhængigt af den aktuelt indstillede vinkeltilstand. Du kan bruge ¡, G eller Rtil midlertidigt at ignorere vinkeltilstanden. |
I vinkeltilstanden Grader:
I vinkeltilstanden Nygrader:
I vinkeltilstanden Radian:
|
|
cos(kvadratMatrix1)ÞkvadratMatrix Returnerer matrixcosinus af kvadratMatrix1. Dette er ikke det samme som at beregne cosinus for hvert element. Når en skalær funktion f(A) opererer på kvadratMatrix1 (A), beregnes resultatet efter algoritmen: Beregn egenværdierne (li) og egenvektorer (Vi) af A. KvadratMatrix1 skal være diagonaliserbar. Den må heller ikke have symbolske variable, der ikke er tildelt en værdi. Dan matricerne:
Derefter A = X B X/og f(A) = X f(B) X/. For eksempel cos(A) = X cos(B) X/, hvor: cos (B) =
Alle beregninger udføres aritmetisk med flydende komma. |
I vinkeltilstanden Radian:
|
|
µ-tast |
|
|
cos/(Værdi1)Þværdi cos/(Liste1)Þliste
cos/(Liste1) returnerer en liste med de inverse cosinusværdier for hvert element af Liste1. Bemærk: Resultatet returneres som en vinkel i grader eller radianer afhængigt af den aktuelle vinkeltilstand. Bemærk: Du kan indsætte denne funktion fra computerens tastatur ved at skrive arccos(...). |
I vinkeltilstanden Grader:
I vinkeltilstanden Nygrader:
I vinkeltilstanden Radian:
|
|
cos/(kvadratMatrix1)ÞkvadratMatrix Returnerer den matrixinverse cosinus af kvadratMatrix1. Dette er ikke det samme som at beregne den inverse cosinus for hvert element. Oplysninger om beregningsmetoden findes i cos(). KvadratMatrix1 skal være diagonaliserbar. Resultatet indeholder altid tal med flydende decimaler. |
I vinkeltilstanden radian og rektangulært komplekst format:
Du kan se hele resultatet ved at trykke på 5 og derefter bruge 7 og 8 til at bevæge markøren. |
|
Katalog > |
|
|
cosh(Værdi1)Þværdi cosh(Liste1)Þliste
cosh(Liste1) returnerer en liste med hyperbolsk cosinus for hvert element i Liste1. |
I vinkeltilstanden Grader:
|
|
cosh(kvadratMatrix1)ÞkvadratMatrix Returnerer matrix hyperbolsk cosinus af kvadratMatrix1. Dette er ikke det samme som at beregne den hyperbolske cosinus for hvert element. Oplysninger om beregningsmetoden findes i cos(). KvadratMatrix1 skal være diagonaliserbar. Resultatet indeholder altid tal med flydende decimaler. |
I vinkeltilstanden Radian:
|
|
Katalog > |
|
|
cosh/(Værdi1)Þværdi cosh/(Liste1)Þliste
cosh/(Liste1) returnerer en liste med de inverse hyperbolske cosinusværdier for hvert element i Liste1. Bemærk: Du kan indsætte denne funktion fra computerens tastatur ved at skrive arccosh(...). |
|
|
cosh/(kvadratMatrix1)ÞkvadratMatrix Returnerer den matrixinverse hyperbolske cosinus af kvadratMatrix1. Dette er ikke det samme som at beregne den inverse hyperbolske cosinus for hvert element. Oplysninger om beregningsmetoden findes i cos(). KvadratMatrix1 skal være diagonaliserbar. Resultatet indeholder altid tal med flydende decimaler. |
I vinkeltilstanden Radian og i rektangulært komplekst format:
Du kan se hele resultatet ved at trykke på 5 og derefter bruge 7 og 8 til at bevæge markøren. |
|
µ-tast |
|
|
cot(Værdi1) Þ værdi cot(Liste1) Þ liste Returnerer cotangens af Værdi1 eller returnerer en liste med cotangens til alle elementer i Liste1. Bemærk: Argumentet fortolkes som en vinkel målt i grader, nygrader eller radianer afhængigt af den aktuelt indstillede vinkeltilstand. Du kan bruge ¡, G eller Rtil midlertidigt at ignorere vinkeltilstanden. |
I vinkeltilstanden Grader:
I vinkeltilstanden Nygrader:
I vinkeltilstanden Radian:
|
|
µ-tast |
|
|
cot/(Værdi1)Þværdi cot/(Liste1)Þliste Returnerer den vinkel, hvis cotangens er Værdi1 eller returnerer en liste med den inverse cotangens til hvert element i Liste1. Bemærk: Resultatet returneres som en vinkel i grader eller radianer afhængigt af den aktuelle vinkeltilstand. Bemærk: Du kan indsætte denne funktion fra computerens tastatur ved at skrive arccot(...). |
I vinkeltilstanden Grader:
I vinkeltilstanden Nygrader:
I vinkeltilstanden Radian:
|
|
Katalog > |
|
|
coth(Værdi1)Þværdi coth(Liste1)Þliste
|
|
|
Katalog > |
|
|
coth/(Værdi1)Þværdi coth/(Liste1)Þliste Returnerer den inverse hyperbolske cotangens til Værdi1 eller returnerer en liste med den inverse hyperbolske cotangens til hvert element i Liste1. Bemærk: Du kan indsætte denne funktion fra computerens tastatur ved at skrive arccoth(...). |
|
|
Katalog > |
|
|
count(Værdi1ellerListe1 [,Værdi2ellerListe2 [,...]])Þværdi Returnerer det akkumulerede antal af alle elementer i argumenterne, der evalueres til numeriske værdier. Hvert argument kan være et udtryk, en værdi, en liste eller en matrix. Du kan blande datatyper og anvende argumenter med forskellige dimensioner. For lister, matricer eller celleområder evalueres hvert element for at bestemme, om det skal inkluderes i tællingen. I applikationen Lister og regneark kan du anvende et celleområde i stedet for ethvert argument. Tomme (ugyldige) elementer ignoreres. Yderligere oplysninger om tomme elementer findes på her. |
|
|
Katalog > |
|||||||
|
countif(Liste,Kriterie)Þværdi Returnerer det akkumulerede antal af alle elementer i Liste, der opfylder de angivne Kriterie. Kriterie kan være:
I applikationen Lister og regneark kan du anvende et celleområde i stedet for Liste. Tomme (ugyldige) elementer i listen ignoreres. Yderligere oplysninger om tomme elementer findes på her. |
Tæller antallet af elementer lig med 3.
Tæller antallet af elementer lig med “def.”
Tæller 1 og 3.
Tæller 3, 5 og 7.
Tæller 1, 3, 7 og 9. |
|
Katalog > |
|
|
Den første syntaks, Den anden syntaks, Bemærk: Se også |
|
|
Katalog > |
|
|
crossP(Liste1, Liste2)Þliste Returnerer vektorproduktet af Liste1 og liste2 som en liste. Liste1 og Liste2 skal have ens dimension, og dimensionen skal være 2 eller 3. |
|
|
crossP(Vektor1, Vektor2)Þvektor Returnerer en række eller kolonnevektor (afhængigt af argumenterne), der er vektorproduktet af Vektor1 og Vektor2. Både Vektor1 og Vektor2 skal være rækkevektorer, eller begge skal være kolonnevektorer. Begge vektorer skal have ens dimension, og dimensionen skal være enten 2 eller 3. |
|
|
µ-tast |
|
|
csc(Værdi1)Þværdi csc(Liste1)Þliste
|
I vinkeltilstanden Grader:
I vinkeltilstanden Nygrader:
I vinkeltilstanden Radian:
|
|
µ-tast |
|
|
csc/(Værdi1) Þ værdi csc/(Liste1) Þ liste Returnerer den vinkel, hvis cosecans er Værdi1 eller returnerer en liste med den inverse cosecans til hvert element i Liste1. Bemærk: Resultatet returneres som en vinkel i nygrader eller radianer afhængigt af den aktuelle vinkeltilstand. Bemærk: Du kan indsætte denne funktion fra computerens tastatur ved at skrive arccsc(...). |
I vinkeltilstanden Grader:
I vinkeltilstanden Nygrader:
I vinkeltilstanden Radian:
|
|
Katalog > |
|
|
csch(Værdi1) Þ værdi csch(Liste1) Þ liste
|
|
|
Katalog > |
|
|
csch/(Tal) Þ værdi csch/(Liste1) Þ liste Returnerer den inverse hyperbolske cosecans til Værdi1 eller returnerer en liste med den inverse hyperbolske cosecans til hvert element i Liste1. Bemærk: Du kan indsætte denne funktion fra computerens tastatur ved at skrive arccsch(...). |
|
|
Katalog > |
|
|
CubicReg X, Y[, [Frekv] [, Kategori, Medtag]] Beregner polynomiel tredjegradsregression y = a·x3+b· x2+c·x+dpå listerne X og Y med frekvens Frekv. En sammenfatning af resultaterne lagres i stat.resultat variable. (her.) Alle lister skal have samme dimension med undtagelse af Medtag. X og Y er lister med uafhængige og afhængige variable. Frekv er en valgfri liste med hyppigheder. Hvert element i Frekv angiver hyppigheden af hvert tilsvarende X og Y datapunkt. Standardværdien er 1. Alle elementer skal være heltal | 0. Kategory er en liste, der indeholder Medtag er en liste med en eller flere af kategorikoderne. Kun de dataelementer hvis kategorikode er medtaget i denne liste, er medtaget i beregningen. Oplysninger om effekten af tomme elementer i en liste findes “Tomme (ugyldige) elementer,” her. |
|
|
Output-variabel |
Beskrivelse |
|
stat.RegEqn |
Regressionsligning: a·x3+b·x2+c·x+d |
|
stat.a, stat.b, stat.c, stat.d |
Regressionskoefficienter |
|
stat.r2 |
Forklaringsgraden |
|
stat.Resid |
Residualer fra regressionen |
|
stat.XReg |
Liste af datapunkter i den modificerede X-liste, der faktisk bruges i regressionen ud fra begrænsninger af Hyppighed, Kategoriliste, og Medtag kategorier |
|
stat.YReg |
Liste af datapunkter i den modificerede Y-liste, der faktisk bruges i regressionen ud fra begrænsninger af Hyppighed, Kategoriliste, og Medtag kategorier |
|
stat.FreqReg |
Liste med hyppigheder, der svarer til stat.XReg og stat.YReg |
|
Katalog > |
|
|
cumulativeSum(Liste1)Þliste Returnerer en liste med de kumulerede summer af elementerne i Liste1, startende ved element 1. |
|
|
cumulativeSum(Matrix1)Þmatrix Returnerer en matrix af de kumulerede summer af elementerne i Matrix1. Hvert element er den kumulerede sum af kolonnen fra top til bund. Et tomt (ugyldigt) element i Liste1 eller Matrix1 giver et ugyldigt element i den resulterende liste eller matrix. Yderligere oplysninger om tomme elementer findes på her. |
|
|
Katalog > |
|
|
Cyklus Overfører kontrol direkte til næste iteration i den aktuelle løkke (For, While eller Loop). Cycle må ikke ikke benyttes uden for (For, While eller Loop). Bemærk indtastning af eksemplet: For instruktioner til at indtaste programmer over flere linjer og definering af funktioner se Beregninger-afsnittet i din produktvejledning. |
Funktionsliste, der adderer heltallene fra 1 til 100 og udelader 50.
|
|
Katalog > |
|
|
Vektor 4Cylind Bemærk: Du kan indsætte denne operator fra computerens tastatur ved at skrive @>Cylind. Viser række- eller kolonnevektoren i cylindrisk form [r±q, z]. Vektor skal have nøjagtig tre elementer. Det kan være en række eller en kolonne. |
|
