R
|
Katalog > |
|
|
Ger den ekvivalenta θ-koordinaten för Obs: Resultatet erhålls som en vinkel i grader, nygrader eller radianer för respektive inställning av vinkelenhet. Obs: Du kan infoga denna funktion med datorns tangentbord genom att skriva R@Ptheta(...). |
Med vinkelmått Grader:
|
|
Katalog > |
|
|
Ger den ekvivalenta r-koordinaten för argumentparen (x,y). Obs: Du kan infoga denna funktion med datorns tangentbord genom att skriva R@Pr(...). |
Med vinkelenhet Radianer:
|
|
Katalog > |
|
|
Konverterar argumentet till en vinkel i radianer. Obs: Du kan infoga denna operator med datorns tangentbord genom att skriva @>Rad. |
Med vinkelmått Grader:
|
|
Katalog > |
|
|
rand( ) ⇒ uttryck rand( ) ger ett slumpvärde mellan 0 och 1. rand(#Trials) ger en lista med #Trials slumpvärden mellan 0 och 1. |
Bestämmer slumptalsfröet.
|
|
Katalog > |
|
|
randBin(n, p) ⇒ uttryck randBin(n, p) ger ett reellt slumptal från en specificerad binomialfördelning. randBin(n, p, #Trials) ger en lista med #Trials reella slumptal från en specificerad binomialfördelning. |
|
|
Katalog > |
|
|
randInt(lowBound,upBound) ⇒ uttryck randInt(lowBound,upBound) ger ett slumptal med heltalsvärde inom det område som specificeras av heltalsgränserna lowBound och upBound. randInt(lowBound,upBound,#Trials) ger en lista med #Trials slumptal med heltalsvärden inom det specificerade området. |
|
|
Katalog > |
|
|
randMat(numRows, numColumns) ⇒ matris Ger en matris med heltal mellan -9 och 9 med specificerad dimension. Båda argumenten måste förenklas till heltal. |
Obs: Värdena i denna matris ändras varje gång du trycker på ·. |
|
Katalog > |
|
|
randNorm(μ, σ) ⇒ uttryck randNorm(μ, σ) ger ett decimalt tal från den specificerade normalfördelningen. Det kan vara ett reellt tal vilket som helst, men det blir kraftigt koncentrerat i intervallet [μ−3•σ, μ+3•σ]. randNorm(μ, σ, #Trials) ger en lista med #Trials decimaltal från den specificerade normalfördelningen. |
|
|
Katalog > |
|
|
randPoly(Var, Order) ⇒ uttryck Ger ett polynom i Var i specificerad Order. Koefficienterna är slumpmässiga heltal i intervallet −9 till 9. Den första koefficienten kommer inte att vara noll. Order måste vara 0–99. |
|
|
Katalog > |
|
|
randSamp(List,#Trials[,noRepl])⇒ lista Ger en lista på ett slumpmässigt urval av #Trials försök från List med ett alternativ för återläggning (noRepl=0) eller ingen återläggning(noRepl=1). Förinställningen är med urvalsutbyte. |
|
|
Katalog > |
|
|
RandSeed Tal Om Number = 0 ställs fröna in på fabriksinställningarna för slumptalsgeneratorn. Om Number ≠0, används det för att generera två frön, vilka lagras i systemvariablerna seed1 och seed2. |
|
|
Katalog > |
|
|
real(Value1) ⇒ värde Ger argumentets reella del. |
|
|
real(List1) ⇒ lista Ger de reella delarna av alla element. |
|
|
real(Matrix1) ⇒ matris Ger de reella delarna av alla element. |
|
|
Katalog > |
|
|
Vector ►Rect Obs: Du kan infoga denna operator med datorns tangentbord genom att skriva @Rect. Visar Vector i rektangulär form [x, y, z]. Vektorn måste ha dimensionen 2 eller 3 och kan vara en rad eller en kolumn. Obs: ►Rect är en visa format-instruktion, inte en konverteringsfunktion. Du kan endast använda den i slutet av en inmatningsrad, och den uppdaterar inte ans. Obs: Se även ►Polar, här. |
|
|
complexValue ►Rect Visar complexValue i rektangulär form a+bi. complexValue kan ha valfri komplex form. En inmatning av reiθ orsakar dock ett fel i vinkelläget Grader. Obs: Du måste använda parenteserna för en (r∠θ) polär inmatning. |
Med vinkelenhet Radianer:
Obs: För att skriva in tecknet ∠, välj det från symbollistan i Katalog. |
|
Katalog > |
|||||||
|
ref(Matrix1[, Tol]) ⇒ matris Ger radtrappstegsformen av Matrix1. Alternativt behandlas varje matriselement som noll om dess absolutvärde är mindre än Tol. Denna tolerans används endast om matrisen har inmatning i flyttalsform och inte innehåller några symboliska variabler som inte har tilldelats ett värde. Annars ignoreras Tol.
Undvik odefinierade element i Matrix1. De kan leda till oväntade resultat. Om till exempel a är odefinierat i följande uttryck visas ett varningsmeddelande och resultatet ges som:
Varningen visas på grund av att det generaliserade elementet 1/a inte skulle vara giltigt för a=0. Du kan undvika detta genom att i förväg lagra ett värde i a eller genom att använda (“|”)-operatorn begränsning för att ersätta ett värde såsom visas i följande exempel.
Obs: Se även rref( ), här. |
|
|
Katalog > |
|||||||||||
|
RefreshProbeVars Låter dig visa sensordata från alla anslutna sensorer via TI-grundprogrammet.
|
Exempel
Obs: Detta kan även användas med TI-Innovator™ hubb. |
|
Katalog > |
|
|
Ger resten på det första argumentet med avseende på det andra argumentet definierat av identiteterna: remain(x,0) x |
|
|
Som en följd av detta, observera att remain(−x,y) − remain(x,y). Resultatet är antingen noll eller har samma tecken som det första argumentet. Obs: Se även mod( ), här. |
|
|
Katalog > |
|||||||||||||||||||
|
Programmeringskommando: Pausar programmet och visar en dialogruta med meddelandet promptString och en svarsruta där användaren ska skriva in svaret. När användaren skriver in svaret och klickar på OK tilldelas variabeln vardet värde som står i svarsrutan. Om användaren klickar på Cancel (Avbryt) fortsätter programmet utan att acceptera någon inmatning. Programmet använder det tidigare värdet på var om var redan var definierad. Det valfria argumentet DispFlag kan vara ett valfritt uttryck.
|
Definiera ett program: Definiera begär_demo()=Prgm
Kör programmet och skriv in ett svar: request_demo( )
Resultat efter tryckning på OK: Radie: 6/2 |
||||||||||||||||||
|
Det valfria argumentet statusVar ger programmet ett sätt att bestämma hur användaren lämnade dialogrutan. Observera att statusVar är beroende av argumentet DispFlag.
Med argumentet funk( ) kan programmet lagra användarens svar som en funktionsdefinition. Denna syntax fungerar som om användaren exekverade kommandot: Definiera funk(arg1, ...argn) = användarens svar Programmet kan sedan använda den definierade funktionen func(). Strängen promptString bör vägleda användaren till att skriva in ett lämpligt användarsvar som fullbordar funktionsdefinitionen. Obs: Du kan använda För att stoppa ett program som innehåller ett Request-kommando inne i en oändlig slinga:
Obs: Se även |
Definiera ett program: Definiera polynom()=Prgm
Kör programmet och skriv in ett svar: polynom()
Resultat efter inmatning av x^3+3x+1 och tryckning på OK: Reella rötter är: {-0,322185} |
|
Katalog > |
|||||||||||||
|
Programmeringskommando: Fungerar på precis samma sätt som den första syntaxen i kommandot Request, förutom att användarens svar alltid tolkas som en sträng. Kommandot Request tolkar svaret som ett uttryck såvida inte användaren omger det med citationstecken (""). Obs: Kommandot RequestStr kan användas inom ett användardefinierat program, men inte inom en funktion. Att stoppa ett program som innehåller ett
Obs: Se även |
Definiera ett program: Definiera requestStr_demo()=Prgm
Kör programmet och skriv in ett svar: begärStr_demo()
Resultat efter tryckning på OK (observera att argumentet DispFlag för 0 förbiser prompten och svarar från historiken):
begärStr_demo() Svaret har 5 tecken. |
|
Katalog > |
|
|
Return [Expr] Ger Expr som resultatet av funktionen. Använd inom ett Func...EndFunc-block. Obs: Använd Return utan ett argument inom ett Prgm...EndPrgm-block för att gå ur ett program. Obs för att mata in exemplet: Se avsnittet Räknare i produkthandboken för instruktioner om hur du anger multiline-program och funktionsdefinitioner. |
|
|
Katalog > |
|
|
right(List1[, Num]) ⇒ lista Ger Num-elementen längst till höger i List1. Om du utelämnar Num erhålls alla i List1. |
|
|
right(sourceString[, Num]) ⇒ sträng Ger Num-tecknen längst till höger i teckensträngen sourceString. Om du utelämnar Num erhålls alla i sourceString. |
|
|
right(Comparison) ⇒ uttryck Ger den högra sidan av en ekvation eller olikhet. |
|
Katalog > |
|
|
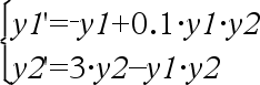
Använder Runge-Kuttas metod för att lösa systemet Expr är det högra ledet som definierar den ordinära differentialekvationen (ODE). SystemOfExpr är ett system av högerled som definierar systemet av ODE:er (motsvarar ordningen av oberoende variabler i ListOfDepVars). ListOfExpr är en lista på högerled som definierar systemet av ODE:er (motsvarar ordningen av oberoende variabler i ListOfDepVars). Var är den oberoende variabeln. ListOfDepVars är en lista på oberoende variabler. {Var0, VarMax} är en lista med två element som instruerar funktionen att integrera från Var0 till VarMax. ListOfDepVars0 är en lista på startvärden för oberoende variabler. Om VarStep utvärderas till ett tal skilt från noll ges sign(VarStep) = sign(VarMax-Var0) och lösningar vid Var0+i*VarStep för alla i=0,1,2,… sådana att Var0+i*VarStep är i intervallet [var0,VarMax] (kanske inte ger ett lösningsvärde vid VarMax). Om VarStep utvärderas till noll ges lösningar vid "Runge-Kutta"-värdena för Var. diftol är feltoleransen (förinställs på 0,001). |
Differentialekvation: y'=0,001*y*(100-y) och y(0)=10 För att se hela resultatet, tryck på 5 och använd sedan 7 och 8 för att flytta markören. Samma ekvation med diftol inställd på 1.E−6 Ekvationssystem:
med y1(0)=2 och y2(0)=5
|
|
Katalog > |
|
|
root(Value) ⇒ root
root(Value1, Value2) ger Value2-roten ur Value1. Value1 kan vara en reell eller komplex konstant i flyttalsform, ett heltal eller komplex rationell konstant. Obs: Se även Nth root template, här. |
|
|
Katalog > |
|
|
rotate(Integer1[,#ofRotations]) ⇒ heltal Roterar bitarna i ett binärt heltal. Integer1 kan anges i valfri talbas. Det omvandlas automatiskt till 64 positioners binär form. Om storleken på Integer1 är alltför stor för denna form, för en symmetrisk modulooperation talet inom området. För mer information, se ►Base2, här. |
I binärt basläge:
För att se hela resultatet, tryck på 5 och använd sedan 7 och 8 för att flytta markören. |
|
Om #ofRotations är positiv sker rotationen åt vänster. Om #ofRotations är negativ sker rotationen åt höger. Förinställningen är −1 (rotera en position åt höger). Vid exempelvis rotation åt höger: |
I hexadecimalt basläge:
|
|
Varje bit roteras åt höger. 0b00000000000001111010110000110101 Biten längst till höger roteras till positionen längst till vänster. ger: 0b10000000000000111101011000011010 Resultatet visas enligt det inställda basläget. |
Viktigt: För att skriva in ett binärt eller hexadecimalt tal, använd alltid prefixet 0b eller 0h (noll, inte bokstaven O). |
|
rotate(List1[,#ofRotations]) ⇒ lista Ger en kopia av List1 roterad åt höger eller vänster av #ofRotations-elementen. Ändrar inte List1. Om #ofRotations är positiv sker rotationen åt vänster. Om #ofRotations är negativ sker rotationen åt höger. Förinställningen är −1 (rotera ett element åt höger). |
I decimalt basläge:
|
|
rotate(String1[,#ofRotations]) ⇒ sträng Ger en kopia av String1 roterad åt höger eller vänster av #ofRotations-tecknen. Ändrar inte String1. Om #ofRotations är positiv sker rotationen åt vänster. Om #ofRotations är negativ sker rotationen åt höger. Förinställningen är −1 (rotera ett tecken åt höger). |
|
|
Katalog > |
|
|
round(Value1[, digits]) ⇒ värde Ger argumentet avrundat till det specificerade antalet siffror efter decimalpunkten. digits måste vara ett heltal i intervallet 0–12. Om digits inte ingår, ges argumentet avrundat till 12 signifikanta siffror. Obs: Läget Display digits (Visa siffror) kan påverka hur detta visas. |
|
|
round(List1[, digits]) ⇒ lista Ger en lista på elementen avrundade till det specificerade antalet siffror. |
|
|
round(Matrix1[, digits]) ⇒ matris Ger en matris över elementen avrundade till det specificerade antalet siffror. |
|
|
Katalog > |
|
|
rowAdd(Matrix1, rIndex1, rIndex2) ⇒ matris Ger en kopia av Matrix1 med rad rIndex2 ersatt av summan av raderna rIndex1 och rIndex2. |
|
|
Katalog > |
|
|
rowDim(Matrix) ⇒ uttryck Ger antalet rader i Matrix. Obs: Se även colDim(), här. |
|
|
Katalog > |
|
|
rowNorm(Matrix) ⇒ uttryck Ger maximum av summorna av absolutbeloppen på elementen i raderna i Matrix. Obs: Alla matriselement måste förenklas till tal. Se även colNorm(), här. |
|
|
Katalog > |
|
|
rowSwap(Matrix1, rIndex1, rIndex2) ⇒ matris Ger Matrix1 med raderna rIndex1 och rIndex2 växlade. |
|
|
Katalog > |
|||||||
|
rref(Matrix1[, Tol]) ⇒ matris Ger den reducerade radtrappstegsformen av Matrix1. |
|
||||||
|
Alternativt behandlas varje matriselement som noll om dess absolutvärde är mindre än Tol. Denna tolerans används endast om matrisen har inmatning i flyttalsform och inte innehåller några symboliska variabler som inte har tilldelats ett värde. Annars ignoreras Tol.
Obs: Se även ref( ), här. |



