C
|
Katalog > |
|
|
ceiling(Value1)Þvärde Ger det närmaste heltal som är | argumentet. Argumentet kan vara ett reellt eller ett komplext tal. Obs: Se även floor(). |
|
|
ceiling(List1)Þlista ceiling(Matrix1)Þmatris Ger en lista eller matris över taket för varje element. |
|
|
Katalog > |
|
|
Ger den numeriska derivatan genom att använda formeln för symmetrisk differenskvot. När Värde specificeras överstyr detta värde eventuella tidigare variabeltilldelningar eller aktuella ersättningar av typ “|” för variabeln. Steg är stegvärdet. Om Steg utelämnas används förinställningen 0.001. När du använder Lista1 eller Matris1 utförs operationen på värdena i listan eller matriselementen. Obs: Se även avgRC(). |
|
|
Katalog > |
|
|
char(Integer)Þtecken Ger en teckensträng som innehåller tecknet med numret Integer från handenhetens teckenuppsättning. Det giltiga området för Integer är 0–65535. |
|
|
Katalog > |
|
|
c22way ObsMatrix chi22way ObsMatrix Beräknar ett c2-test för association på 2-vägstabellen över antal i den observerade matrisen ObsMatrix. En sammanfattning av resultaten visas i variabeln stat.results. (Se här.) För information om effekten av tomma element i en matris, se “Tomma element” (här). |
|
|
Resultatvariabel |
Beskrivning |
|
stat.c2 |
Chi-kvadratstatistik: summa (observerad - förväntad)2/förväntad |
|
stat.PVal |
Lägsta signifikansnivå vid vilken nollhypotesen kan förkastas |
|
stat.df |
Frihetsgrader hos chi-kvadratstatistiken |
|
stat.ExpMat |
Matris över förväntad elementräknetabell, baserad på nollhypotesen |
|
stat.CompMat |
Matris över elementbidrag till chi-kvadratstatistiken |
|
Katalog > |
|
|
c2Cdf(lowBound,upBound,df)Þtal om lowBound och upBound är tal, lista om lowBound och upBound är listor chi2Cdf(lowBound,upBound,df)Þtal om lowBound och upBound är tal, lista om lowBound och upBound är listor Beräknar sannolikheten för c2-fördelning mellan lowBound och upBound för den specificerade frihetsgraden df. För P(X Å upBound), sätt lowBound = 0. För information om effekten av tomma element i en lista, se “Tomma element” (här). |
|
|
Katalog > |
|
|
c2GOF obsList,expList,df chi2GOF obsList,expList,df Utför ett test för att bekräfta att urvalsdata är från en population som följer en specificerad fördelning. obsList är en lista med data och måste innehålla heltal. En sammanfattning av resultaten visas i variabeln stat.results, här. För information om effekten av tomma element i en lista, se “Tomma element” (här). |
|
|
Resultatvariabel |
Beskrivning |
|
stat.c2 |
Chi-kvadratstatistik: summa (observerad - förväntad)2/förväntad |
|
stat.PVal |
Lägsta signifikansnivå vid vilken nollhypotesen kan förkastas |
|
stat.df |
Frihetsgrader hos chi-kvadratstatistiken |
|
stat.CompList |
Elementbidrag till chi-kvadratstatistiken |
|
Katalog > |
|
|
c2Pdf(XVal,df)Þtal om XVal är ett tal, lista om XVal är en lista chi2Pdf(XVal,df)Þtal om XVal är ett tal, lista om XVal är en lista Beräknar värde hos täthetsfunktionen (pdf) för c2-fördelningen vid ett specificerat XVal-värde för den specificerade frihetsgraden df. För information om effekten av tomma element i en lista, se “Tomma element” (här). |
|
|
Katalog > |
|
|
ClearAZ Rensar alla variabler som har ett enda tecken i det aktuella problemet. Om en eller flera variabler är låsta visar detta kommando ett felmeddelande och tar endast bort olåsta variabler. Se |
|
|
Katalog > |
|
|
Rensar felstatusen och ställer in systemvariabeln errCode på noll. Villkoret Else i blocket Try...Else...EndTry bör använda ClrErr eller PassErr. Om felet skall processas eller ignoreras, använd ClrErr. Om det är okänt hur felet skall hanteras, använd PassErr för att skicka felet vidare till nästa felhanterare. Om det inte finns någon ytterligare felhanterare för Try...Else...EndTry visas feldialogrutan som normal. Obs: Se även PassErr, här och Try, här. Obs för att mata in exemplet: Se avsnittet Räknare i produkthandboken för instruktioner om hur du anger multiline-program och funktionsdefinitioner. |
För ett exempel på ClrErr, se exempel 2 under kommandot Try, här.
|
|
Katalog > |
|
|
colAugment(Matrix1, Matrix2)Þmatris Ger en ny matris med Matrix2 fogad till Matrix1. Matriserna måste ha samma kolumndimensioner och Matrix2 fogas till Matrix1 som nya rader. Ändrar inte Matrix1 eller Matrix2. |
|
|
Katalog > |
|
|
colDim(Matrix)Þuttryck Ger antalet kolumner i Matrix. Obs: Se även rowDim(). |
|
|
Katalog > |
|
|
colNorm(Matrix)Þuttryck Ger maximum av summorna av absolutbeloppen på elementen i kolumnerna i Matrix. Obs: Odefinierade matriselement är ej tillåtna. Se även rowNorm(). |
|
|
Katalog > |
|
|
conj(Value1)Þvärde conj(List1)Þlista conj(Matrix1)Þmatris Ger argumentets komplexkonjugat. Obs: Alla odefinierade variabler behandlas som reella variabler. |
|
|
Katalog > |
|
|
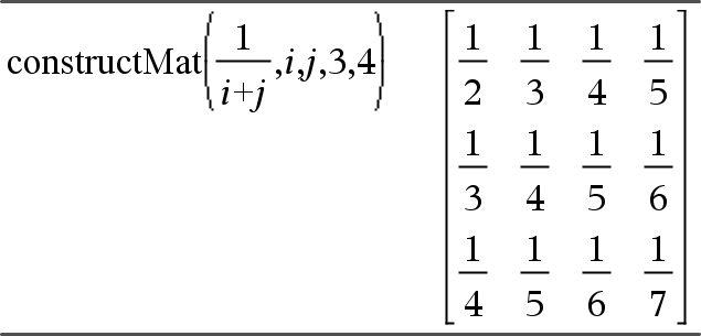
constructMat(Expr,Var1,Var2,numRows,numCols) Þmatris Ger en matris baserad på argumenten. Expr är ett uttryck i variablerna Var1 och Var2. Element i den resulterande matrisen skapas genom att utvärdera Expr för varje ökat värde på Var1 och Var2. Var1 ökas automatiskt från 1 till och med numRows. Inom varje rad ökas Var2 från 1 till och med numCols. |
|
|
Katalog > |
|
|
CopyVar Var1, Var2 CopyVar Var1., Var2. CopyVar Var1, Var2 kopierar värdet på variabel Var1 till variabel Var2, och skapar Var2 vid behov. Variabeln Var1 måste ha ett värde. Om Var1 är namnet på en befintlig användardefinierad funktion kopieras definitionen på denna funktion till funktionen Var2. Funktionen Var1 måste vara definierad. Var1 måste uppfylla kraven för namngivning av variabler eller måste vara ett indirection-uttryck som förenklas till ett variabelnamn som uppfyller kraven. |
|
|
CopyVar Var1., Var2. kopierar alla led i variabelgruppen Var1. till gruppen Var2. och skapar Var2. vid behov. Var1. måste vara namnet på en befintlig variabelgrupp, till exempel, den statistiska stat.nn-resultat eller variabler skapade med funktionen |
|
|
Katalog > |
|
|
corrMat(List1,List2[,…[,List20]]) Beräknar korrelationsmatrisen för den sammanfogade matrisen [List1, List2, ..., List20]. |
|
|
µ tangent |
|
|
cos(Value1)Þvärde cos(List1)Þlista
cos(List1) ger en lista på cosinus för alla element i List1. Obs: Argumentet tolkas som en vinkel i grader, nygrader eller radianer enligt det inställda vinkelläget. Du kan använda ¡, G eller R för att tillfälligt överstyra vinkelläget. |
I vinkelläget Grader:
I vinkelläget Nygrader:
I vinkelläget Radianer:
|
|
cos(squareMatrix1)ÞkvadratMatris Ger matrisen med cosinus för squareMatrix1. Detta är inte detsamma som att beräkna cosinus för varje element. När en skalär funktion f(A) används på squareMatrix1 (A) beräknas resultatet med algoritmen: Beräkna egenvärdena (li) och egenvektorerna (Vi) för A. squareMatrix1 måste vara möjlig att diagonalisera. Den får inte heller ha symboliska variabler som inte har tilldelats ett värde. Forma matriserna:
Då är A = X B X/och f(A) = X f(B) X/. Exempelvis cos(A) = X cos(B) X/ där: cos(B) =
Alla beräkningar utförs med flyttalsaritmetik. |
I vinkelläget Radianer:
|
|
µ tangent |
|
|
cos/(Value1)Þvärde cos/(List1)Þlista
cos/(List1) ger en lista på invers cosinus för varje element i List1. Obs: Resultatet erhålls som en vinkel i grader, nygrader eller radianer beroende på det aktuella vinkelläget. Obs: Du kan infoga denna funktion med datorns tangentbord genom att skriva arccos(...). |
I vinkelläget Grader:
I vinkelläget Nygrader:
I vinkelläget Radianer:
|
|
cos/(squareMatrix1)ÞsquareMatrix Ger matrisen med invers cosinus för squareMatrix1. Detta är inte detsamma som att beräkna invers cosinus för varje element. Se cos() för information om beräkningsmetoden. squareMatrix1 måste vara möjlig att diagonalisera. Resultatet visas alltid i flyttalsform. |
I vinkelläget Radianer och i Rektangulärt komplext format:
För att se hela resultatet, tryck på 5 och använd sedan 7 och 8 för att flytta markören. |
|
Katalog > |
|
|
cosh(Value1)Þvärde cosh(List1)Þlista
cosh(List1) ger en lista på hyperbolisk cosinus för varje element i List1. |
I vinkelläget Grader:
|
|
cosh(squareMatrix1)ÞkvadratMatris Ger matrisen med hyperbolisk cosinus för squareMatrix1. Detta är inte detsamma som att beräkna hyperbolisk cosinus för varje element. Se cos() för information om beräkningsmetoden. squareMatrix1 måste vara möjlig att diagonalisera. Resultatet visas alltid i flyttalsform. |
I vinkelläget Radianer:
|
|
Katalog > |
|
|
cosh/(Value1)Þvärde cosh/(List1)Þlista
cosh/(List1) ger en lista på invers hyperbolisk cosinus för varje element i List1. Obs: Du kan infoga denna funktion med datorns tangentbord genom att skriva arccosh(...). |
|
|
cosh/(squareMatrix1)ÞkvadratMatris Ger matrisen med invers hyperbolisk cosinus för squareMatrix1. Detta är inte detsamma som att beräkna invers hyperbolisk cosinus för varje element. Se cos() för information om beräkningsmetoden. squareMatrix1 måste vara möjlig att diagonalisera. Resultatet visas alltid i flyttalsform. |
I vinkelläget Radianer och i Rektangulärt komplext format:
För att se hela resultatet, tryck på 5 och använd sedan 7 och 8 för att flytta markören. |
|
µ tangent |
|
|
cot(Value1) Þ värde cot(List1) Þ lista Ger cotangens för Value1 eller en lista på cotangens för alla element i List1. Obs: Argumentet tolkas som en vinkel i grader, nygrader eller radianer enligt det inställda vinkelläget. Du kan använda ¡, G eller R för att tillfälligt överstyra vinkelläget. |
I vinkelläget Grader:
I vinkelläget Nygrader:
I vinkelläget Radianer:
|
|
µ tangent |
|
|
cot/(Value1)Þvärde cot/(List1)Þlista Ger den vinkel vars cotangens är Value1 eller en lista på invers cotangens för varje element i List1. Obs: Resultatet erhålls som en vinkel i grader, nygrader eller radianer beroende på det aktuella vinkelläget. Obs: Du kan infoga denna funktion med datorns tangentbord genom att skriva arccot(...). |
I vinkelläget Grader:
I vinkelläget Nygrader:
I vinkelläget Radianer:
|
|
Katalog > |
|
|
coth(Value1)Þvärde coth(List1)Þlista
|
|
|
Katalog > |
|
|
coth/(Value1)Þvärde coth/(List1)Þlista Ger den inversa hyperboliska cotangensen för Value1 eller en lista på invers hyperbolisk cotangens för alla element i List1. Obs: Du kan infoga denna funktion med datorns tangentbord genom att skriva arccoth(...). |
|
|
Katalog > |
|
|
count(Value1orList1 [,Value2orList2 [,...]])Þvärde Ger det totala ackumulerade antalet element i argumenten som utvärderas till numeriska värden. Varje argument kan vara ett uttryck, ett värde, en lista eller en matris. Du kan blanda datatyper och använda argument med olika dimensioner. För en lista, en matris, eller ett område av celler, utvärderas varje element för att bestämma om det skall inkluderas i räkningen. I applikationen Listor och kalkylblad kan du använda ett område av celler i stället för ett argument. Tomma element ignoreras. För mer information om tomma element, se här. |
|
|
Katalog > |
|||||||
|
countif(List,Criteria)Þvärde Ger det totala ackumulerade antalet element i List som uppfyller specificerade Criteria. Criteria kan vara:
I applikationen Listor och kalkylblad kan du använda ett område av celler i stället för List. Tomma element i listan ignoreras. För mer information om tomma element, se här. |
Räknar antalet element som är lika med 3.
Räknar antalet element som är lika med “def.”
Räknar 1 och 3.
Räknar 3, 5 och 7.
Räknar 1, 3, 7 och 9. |
|
Katalog > |
|
|
Den första syntaxen,
Den andra syntaxen, Obs: Se även |
|
|
Katalog > |
|
|
crossP(List1, List2)Þlista Ger vektorprodukten av List1 och List2 som en lista. List1 och List2 måste ha samma dimension och dimensionen måste vara antingen 2 eller 3. |
|
|
crossP(Vector1, Vector2)Þvektor Ger en rad- eller kolumnvektor (beroende på argumenten) som är vektorprodukten av Vector1 och Vector2. Både Vector1 och Vector2 måste vara radvektorer eller båda måste vara kolumnvektorer. Båda vektorerna måste ha samma dimension och dimensionen måste vara antingen 2 eller 3. |
|
|
µ tangent |
|
|
csc(Value1)Þvärde csc(List1)Þlista
|
I vinkelläget Grader:
I vinkelläget Nygrader:
I vinkelläget Radianer:
|
|
µ tangent |
|
|
csc/(Value1) Þ värde csc/(List1) Þ lista Ger den vinkel vars cosekant är Value1 eller en lista på den inversa cosekanten för varje element i List1. Obs: Resultatet erhålls som en vinkel i grader, nygrader eller radianer beroende på det aktuella vinkelläget. Obs: Du kan infoga denna funktion med datorns tangentbord genom att skriva arccsc(...). |
I vinkelläget Grader:
I vinkelläget Nygrader:
I vinkelläget Radianer:
|
|
Katalog > |
|
|
csch(Value1) Þ värde csch(List1) Þ lista
|
|
|
Katalog > |
|
|
csch/(Value) Þ värde csch/(List1) Þ lista Ger den inversa hyperboliska cosekanten för Value1 eller en lista på den inversa hyperboliska cosekanten för alla element i List1. Obs: Du kan infoga denna funktion med datorns tangentbord genom att skriva arccsch(...). |
|
|
Katalog > |
|
|
CubicReg X, Y[, [Freq] [, Category, Include]] Utför en tredjegrads regressionsanalysy = a·x3+b· x2+c·x+dpå listorna X och Y med frekvensen Freq. En sammanfattning av resultaten visas i variabeln stat.results, här. Alla listor utom Include måste ha samma dimensioner. X och Y är listor på oberoende och beroende variabler. Freq är en frivillig lista på frekvensvärden. Varje element i Freq specificerar frekvensen för varje motsvarande X- och Y-datapunkt. Det förinställda värdet är 1. Alla element måste vara heltal | 0. Category är en lista på Include är en lista på en eller flera av kategorikoderna. Endast de dataobjekt vars kategorikod är med på listan tas med i beräkningen. För information om effekten av tomma element i en lista, se “Tomma element” (här). |
|
|
Resultatvariabel |
Beskrivning |
|
stat.RegEqn |
Regressionsekvation: a·x3+b·x2+c·x+d |
|
stat.a, stat.b, stat.c, stat.d |
Regressionskoefficienter |
|
stat.R2 |
Determinationskoefficient |
|
stat.Resid |
Residualer från regressionsanalysen |
|
stat.XReg |
Lista på datapunkter i den modifierade X List som används i regressionen baserat på begränsningar i Freq, Category List och Include Categories |
|
stat.YReg |
Lista på datapunkter i den modifierade Y List som används i regressionen baserat på begränsningar i Freq, Category List och Include Categories |
|
stat.FreqReg |
Lista på frekvenser som motsvarar stat.XReg och stat.YReg |
|
Katalog > |
|
|
cumulativeSum(List1)Þlista Ger en lista på de kumulativa summorna av elementen i List1 och börjar med element 1. |
|
|
cumulativeSum(Matrix1)Þmatris Ger en matris över de kumulativa summorna av elementen i Matrix1. Varje element är den kumulativa summan i kolumnen räknat uppifrån och ned. Ett tomt element i List1 eller Matrix1 ger ett tomt element i den resulterande listan eller matrisen. För mer information om tomma element, se här. |
|
|
Katalog > |
|
|
Cycle Överför omedelbart kontroll till nästa iteration i den aktuella slingan (For, While eller Loop). Cycle tillåts inte utanför de tre slingstrukturerna (For, While eller Loop). Obs för att mata in exemplet: Se avsnittet Räknare i produkthandboken för instruktioner om hur du anger multiline-program och funktionsdefinitioner. |
Funktion som listar heltal från 1 till 100 utom 50.
|
|
Katalog > |
|
|
Vector 4Cylind Obs: Du kan infoga denna operator med datorns tangentbord genom att skriva @>Cylind. Visar rad- eller kolumnvektorn i cylindrisk form [r,±q, z]. Vector måste ha exakt tre element. Den kan vara antingen en rad eller en kolumn. |
|
