A
|
Catalogus > |
|
|
abs(Uitdr1)Þuitdrukking abs(Lijst1)Þlijst abs(Matrix1)Þmatrix Geeft de absolute waarde van het argument. Opmerking: zie ook Absolute waarde-template, hier. Als het argument een complex getal is, dan wordt de modulus van dat getal gegeven. Opmerking: alle onbepaalde variabelen worden behandeld als reële variabelen. |
|
|
Catalogus > |
||||||||||
|
amortTbl(NPmt,N,I,PV, [Pmt], [FV], [PpY], [CpY], [PmtAt], [afgerondeWaarde])Þmatrix Aflossingsfunctie die een matrix als aflossingstabel genereert voor een serie TVM-argumenten. NPmt is het aantal betalingen dat in de tabel moet worden opgenomen. De tabel begint met de eerste betaling. N, I, PV, Pmt, FV, PpY, CpY en PmtAt worden beschreven in de tabel met TVM-argumenten, hier.
afgerondeWaarde specificeert het aantal decimalen voor afronding. Standaardwaarde=2. De kolommen in de resulterende matrix zijn in de volgorde: Aantal betalingen, bedrag betaald aan rente, bedrag betaald aan de hoofdsom (aflossing) en balans. De balans die getoond wordt in rij n is de balans na betaling n. U kunt de uitvoermatrix gebruiken als invoer voor de andere aflossingsfuncties GInt() en GPrn(), hier, en bal(), hier. |
|
|
Catalogus > |
|
|
BooleaanseUitdr1 and BooleaanseUitdr2ÞBooleaanse uitdrukking BooleaanseLijst1 and BooleaanseLijst2ÞBooleaanse lijst BooleaanseMatrix1 and BooleaanseMatrix2ÞBooleaanse matrix Geeft waar of onwaar of een vereenvoudigde vorm van de oorspronkelijke invoer. |
|
|
Geheel getal1
Vergelijkt twee reële gehele getallen bit-voor-bit met behulp van een U kunt de gehele getallen invoeren in elk grondtal. Voor een binaire of hexadecimale invoer moet u respectievelijk het prefix 0b of 0h gebruiken. Zonder prefix worden gehele getallen behandeld als decimaal (grondtal 10). Als u een decimaal geheel getal invoert dat te groot is voor een 64-bits binaire vorm met een teken (positief of negatief), dan wordt er een symmetrische modulo-bewerking gebruikt om de waarde binnen het betreffende bereik te brengen. |
In de Hex-grondtalmodus:
Belangrijk: nul, niet de letter O.
In de Bin-grondtalmodus:
In de Dec-grondtalmodus:
Opmerking: een binaire invoer kan maximaal 64 cijfers hebben (het prefix 0b niet meegeteld). Een hexadecimale invoer kan maximaal 16 cijfers hebben. |
|
Catalogus > |
|
|
angle(Uitdr1)Þuitdrukking Geeft de hoek van het argument, waarbij het argument als een complex getal wordt geïnterpreteerd.
|
In de hoekmodus Graden:
In de hoekmodus Decimale graden:
In de hoekmodus Radialen:
|
|
angle(Lijst1)Þlijst angle(Matrix1)Þmatrix Geeft een lijst of matrix met de hoeken van de elementen in Lijst1 of Matrix1, waarbij elk element geïnterpreteerd wordt als een complex getal dat een punt in een rechthoekig twee-dimensionaal assenstelsel voorstelt. |
|
Catalogus > |
|
|
ANOVA Lijst1,Lijst2[,Lijst3,...,Lijst20][,Vlag] Voert een eenwegs-variantieanalyse uit voor het vergelijken van de gemiddelden van twee tot 20 populaties. Een samenvatting van de resultaten wordt opgeslagen in de variabele stat.results (hier). Vlag=0 voor gegevens, Vlag=1 voor statistieken |
|
|
Uitvoervariabele |
Beschrijving |
|
stat.F |
Waarde van de F-statistiek |
|
stat.PVal |
Kleinste significantieniveau waarbij de nulhypothese verworpen kan worden |
|
stat.df |
Vrijheidsgraden van de groepen |
|
stat.SS |
Som van de kwadraten van de groepen |
|
stat.MS |
Gemiddelde van de kwadraten van de groepen |
|
stat.dfError |
Vrijheidsgraden van de fouten |
|
stat.SSError |
Som van de kwadraten van de fouten |
|
stat.MSError |
Gemiddelde kwadraat van de fouten |
|
stat.sp |
Gepoolde standaarddeviatie |
|
stat.xbarlist |
Gemiddelde van de invoer van de lijsten |
|
stat.CLowerList |
95% betrouwbaarheidsintervallen voor het gemiddelde van elke invoerlijst |
|
stat.CUpperList |
95% betrouwbaarheidsintervallen voor het gemiddelde van elke invoerlijst |
|
Catalogus > |
|
|
ANOVA2way Lijst1,Lijst2[,Lijst3,…,Lijst10][,NivRij] Berekent een tweewegs variantieanalyse voor het vergelijken van de gemiddelden van twee tot 10 populaties. Een samenvatting van de resultaten wordt opgeslagen in de variabele stat.results (hier). NivRij=0 voor blok NivRij=2,3,...,Len-1, voor tweeweg, waarbij Len=lengte(Lijst1)=lengte(Lijst2) = … = lengte(Lijst10) en Len / NivRij Î {2,3,…} |
|
Uitvoer: Blokopmaak
|
Uitvoervariabele |
Beschrijving |
|
stat.F |
F-statistiek van de kolomfactor |
|
stat.PVal |
Kleinste significantieniveau waarbij de nulhypothese verworpen kan worden |
|
stat.df |
Vrijheidsgraden van de kolomfactor |
|
stat.SS |
Som van de kwadraten van de kolomfactor |
|
stat.MS |
Gemiddelde van de kwadraten van de kolomfactor |
|
stat.FBlock |
F-statistiek voor de factor |
|
stat.PValBlock |
Kleinste kans waarbij de nulhypothese verworpen kan worden |
|
stat.dfBlock |
Vrijheidsgraden van de factor |
|
stat.SSBlock |
Som van de kwadraten van de factor |
|
stat.MSBlock |
Gemiddelde van de kwadraten van de factor |
|
stat.dfError |
Vrijheidsgraden van de fouten |
|
stat.SSError |
Som van de kwadraten van de fouten |
|
stat.MSError |
Gemiddelde van de kwadraten van de fouten |
|
stat.s |
Standaarddeviatie van de fout |
Uitvoer van KOLOMFACTOR
|
Uitvoervariabele |
Beschrijving |
|
stat.Fcol |
F-statistiek van de kolomfactor |
|
stat.PValCol |
Kanswaarde van de kolomfactor |
|
stat.dfCol |
Vrijheidsgraden van de kolomfactor |
|
stat.SSCol |
Som van de kwadraten van de kolomfactor |
|
stat.MSCol |
Gemiddelde van de kwadraten van de kolomfactor |
Uitvoer van RIJFACTOR
|
Uitvoervariabele |
Beschrijving |
|
stat.FRow |
F-statistiek van de rijfactor |
|
stat.PValRow |
Kanswaarde van de rijfactor |
|
stat.dfRow |
Vrijheidsgraden van de rijfactor |
|
stat.SSRow |
Som van de kwadraten van de rijfactor |
|
stat.MSRow |
Gemiddelde van de kwadraten van de rijfactor |
Uitvoer van INTERACTIE
|
Uitvoervariabele |
Beschrijving |
|
stat.FInteract |
F-statistiek van de interactie |
|
stat.PValInteract |
Kanswaarde van de interactie |
|
stat.dfInteract |
Vrijheidsgraden van de interactie |
|
stat.SSInteract |
Som van de kwadraten van de interactie |
|
stat.MSInteract |
Gemiddelde van de kwadraten van de interactie |
Uitvoer van FOUT
|
Uitvoervariabele |
Beschrijving |
|
stat.dfError |
Vrijheidsgraden van de fouten |
|
stat.SSError |
Som van de kwadraten van de fouten |
|
stat.MSError |
Gemiddelde van de kwadraten van de fouten |
|
s |
Standaarddeviatie van de fout |
|
/v-toetsen |
|
|
AnsÞwaarde Geeft het resultaat van de meest recent uitgewerkte uitdrukking. |
|
|
Catalogus > |
|
|
approx(Uitdr1)Þuitdrukking Geeft de uitwerking van het argument als een uitdrukking met decimale waarden, indien mogelijk, ongeacht de huidige Automatische of Benaderende modus. Dit is hetzelfde als het argument invoeren en op /· drukken. |
|
|
approx(Lijst1)Þlijst approx(Matrix1)Þmatrix Geeft een lijst of matrix waarin elk element uitgewerkt is naar een decimale waarde, indien mogelijk. |
|
|
Catalogus > |
|
|
Lijst 4approxFraction([Tol])Þlijst Matrix 4approxFraction([Tol])Þmatrix Geeft de invoer weer als een breuk, gebruikt een tolerantie van Tol. Als tol wordt weggelaten, wordt er een tolerantie van 5.E-14 gebruikt. Opmerking: u kunt deze functie vanaf het toetsenbord van de computer invoeren door @>approxFraction(...) in te typen. |
|
|
Catalogus > |
|
|
approxRational(Uitdr[, tol])Þuitdrukking approxRational(Lijst[, tol])Þlijst approxRational(Matrix[, Tol])Þmatrix Geeft het argument als een breuk met een tolerantie van tol. Als tol wordt weggelaten, wordt er een tolerantie van 5.E-14 gebruikt. |
|
|
Zie cos/(), hier. |
|
|
|
|
|
Zie cosh/(), hier. |
|
|
|
|
|
Zie cot/(), hier. |
|
|
|
|
|
Zie coth/(), hier. |
|
|
|
|
|
Zie csc/(), hier. |
|
|
|
|
|
Zie csch/(), hier. |
|
|
|
|
|
Catalogus > |
|
|
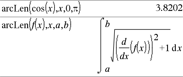
arcLen(Uitdr1,Var,Start,Eind) Þuitdrukking Geeft de booglengte van Uitdr1 van Start tot Eind ten opzichte van variabele Var. Booglengte wordt berekend als een integraal, waarbij een functiemodusdefinitie wordt verondersteld. |
|
|
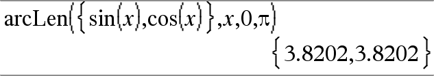
arcLen(Lijst1,Var,Start,Eind)Þlijst Geeft een lijst van de booglengtes van elk element van Lijst1 van Start tot Eind ten opzichte van Var. |
|
|
Zie sec/(), hier. |
|
|
|
|
|
Zie sech/(), hier. |
|
|
|
|
|
Zie sin/(), hier. |
|
|
|
|
|
Zie sinh/(), hier. |
|
|
|
|
|
Zie tan/(), hier. |
|
|
|
|
|
Zie tanh/(), hier. |
|
|
|
|
|
Catalogus > |
|
|
augment(Lijst1, Lijst2)Þlijst Geeft een nieuwe lijst die bestaat uit Lijst2 aan het eind van Lijst1. |
|
|
augment(Matrix1, Matrix2)Þmatrix Geeft een nieuwe matrix die bestaat uit Matrix2 toevoegd aan Matrix1. Wanneer het teken “,” wordt gebruikt, moeten de matrices gelijke rijafmetingen hebben, en wordt Matrix2 toegevoegd aan Matrix1 als nieuwe kolommen. Augment verandert Matrix1 en Matrix2 niet. |
|
|
Catalogus > |
|
|
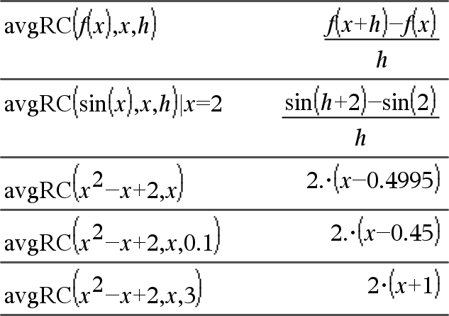
Geeft het differentiequotiënt (gemiddelde veranderingssnelheid). Uitdr1 kan een door de gebruiker gedefinieerde functienaam zijn (zie Func). Wanneer Waarde gespecificeerd is, wordt elke eerdere variabeletoekenning of elke huidige “|”-substitutie voor de variabele onderdrukt. Stap is de stapgrootte. Als Stap wordt weggelaten, is de standaardwaarde 0,001. Merk op dat de soortgelijke functie |
|
