Symbolen
|
+-toets |
|
|
Geeft de som van de twee argumenten. |
|
|
Lijst1 + Lijst2Þlijst Matrix1 + Matrix2Þmatrix Geeft een lijst (of matrix) met de som van de overeenkomstige elementen in Lijst1 en Lijst2 (of Matrix1 en Matrix2). De afmetingen van de argumenten moeten gelijk zijn. |
|
|
Uitdr + Lijst1Þlijst Lijst1 + UitdrÞlijst Geeft een lijst met de som van Uitdr en elk element in Lijst1. |
|
|
Uitdr + Matrix1Þmatrix Matrix1 + UitdrÞmatrix Geeft een matrix met Uitdr opgeteld bij elk element op de diagonaal van Matrix1. Matrix1 moet vierkant zijn. Opmerking: gebruik .+ (punt plus) om een uitdrukking bij elk element op te tellen. |
|
|
--toets |
|
|
Geeft Uitdr1 min Uitdr2. |
|
|
Lijst1 N Lijst2Þlijst Matrix1 N Matrix2Þmatrix Trekt elk element in Lijst2 (of Matrix2) af van het overeenkomstige element in Lijst1 (of Matrix1), en geeft de uitkomsten. De afmetingen van de argumenten moeten gelijk zijn. |
|
|
Lijst1 N UitdrÞlijst Trekt elk Lijst1-element af van Uitdr of trekt Uitdr af van elk Lijst1-element, en geeft een lijst met de uitkomsten. |
|
|
Matrix1 N UitdrÞmatrix Uitdr N Matrix1 geeft een matrix van Uitdr keer de eenheidsmatrix min Matrix1. Matrix1 moet vierkant zijn. Matrix1 N Uitdr geeft een matrix van Uitdr keer de identiteitsmatrix afgetrokken van Matrix1. Matrix1 moet vierkant zijn. Opmerking: gebruik .N (punt min) om een uitdrukking van elk element af te trekken. |
|
|
r-toets |
|
|
Geeft het product van de twee argumenten. |
|
|
Lijst1 • Lijst2Þlijst Geeft een lijst met de producten van de overeenkomstige elementen in Lijst1 en Lijst2. De afmetingen van de lijsten moeten gelijk zijn. |
|
|
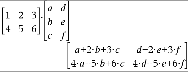
Matrix1•Matrix2Þmatrix Geeft het matrixproduct van Matrix1 en Matrix2. Het aantal kolommen in Matrix1 moet gelijk zijn aan het aantal rijen in Matrix2. |
|
|
Uitdr • Lijst1Þlijst Lijst1 • UitdrÞlijst Geeft een lijst met de producten van Uitdr en elk element in Lijst1. |
|
|
Matrix1 • UitdrÞmatrix Geeft een matrix met de producten van Uitdr en elk element in Matrix1. Opmerking: gebruik .·(punt vermenigvuldigen) om een uitdrukking met elk element te vermenigvuldigen. |
|
|
p-toets |
|
|
Geeft het quotiënt van Uitdr1 gedeeld door Uitdr2. Opmerking: zie ook Breuk-template, hier. |
|
|
Lijst1 à Lijst2Þlijst Geeft een lijst met de quotiënten van Lijst1 gedeeld door Lijst2. De afmetingen van de lijsten moeten gelijk zijn. |
|
|
Uitdr à Lijst1 Þ lijst Lijst1 à Uitdr Þ lijst Geeft een lijst met de quotiënten van Uitdr gedeeld door Lijst1 ofLijst1 gedeeld door Uitdr. |
|
|
Geeft een matrix met de quotiënten van Matrix1àUitdr. Opmerking: gebruik . / (punt gedeeld door) om een uitdrukking door elk element te delen. |
|
|
l-toets |
|
|
Lijst1 ^ Lijst2 Þ lijst Geeft het eerste argument, verheven tot de macht van het twee argument. Opmerking: zie ook Exponent-template, hier. Geeft bij een lijst de elementen in Lijst1 verheven tot de macht van de overeenkomstige elementen in Lijst2. In het reële domein gebruiken gebroken machten die te vereenvoudigen zijn tot exponenten met oneven noemers de reële tak, versus de principaaltak voor de complexe modus. |
|
|
Geeft Uitdr verheven tot de macht van de elementen in Lijst1. |
|
|
Geeft de elementen in Lijst1 verheven tot de macht van Uitdr. |
|
|
vierkanteMatrix1 ^ geheel getal Þ matrix Geeft vierkanteMatrix1 verheven tot de gehele macht. vierkanteMatrix1 moet een vierkante matrix zijn. Als geheel getal = L1 berekent dit commando de inverse matrix. Als geheel getal < L1 berekent dit commando de inverse matrix tot de passende positieve macht. |
|
|
q -toets |
|
|
Geeft het kwadraat van het argument. Lijst12 Þ lijst Geeft een lijst met de kwadraten van de elementen in Lijst1. vierkanteMatrix12 Þ matrix Geeft het matrixkwadraat van vierkanteMatrix1. Dit is niet hetzelfde als het berekenen van het kwadraat van elk element. Gebruik .^2 om het kwadraat van elk element te berekenen. |
|
|
^+-toetsen |
|
|
Matrix1 .+ Matrix2 Þ matrix
Matrix1 .+ Matrix2 geeft een matrix met de som van elk paar overeenkomstige elementen in Matrix1 en Matrix2.
|
|
|
^--toetsen |
|
|
Matrix1 .N Matrix2 Þ matrix Matrix1 .NMatrix2 geeft een matrix met het verschil tussen elk paar overeenkomstige elementen in Matrix1 en Matrix2.
|
|
|
^r-toetsen |
|
|
Matrix1 .· Matrix2 Þ matrix
Matrix1 .· Matrix2 geeft een matrix met het product van elk paar overeenkomstige elementen in Matrix1 en Matrix2.
|
|
|
^p-toetsen |
|
|
Matrix1 . / Matrix2 Þ matrix
Matrix1 . / Matrix2 geeft een matrix met het quotiënt van elk paar overeenkomstige elementen in Matrix1 en Matrix2.
|
|
|
^l-toetsen |
|
|
Matrix1 .^ Matrix2 Þ matrix
Matrix1 .^ Matrix2 geeft een matrix waarbij elk element in Matrix2 de exponent voor het overeenkomstige element in Matrix1 is.
|
|
|
v -toets |
|
|
LLijst1 Þ lijst LMatrix1 Þ matrix Geeft het tegengestelde van het argument. Geeft bij een lijst of matrix het tegengestelde van elk element. Als het argument een binair of hexadecimaal geheel getal is, geeft de negatie het twee-complement. |
In de Bin-grondtalmodus: Belangrijk: nul, niet de letter O.
Om het hele resultaat te zien drukt u op 5 en gebruikt u vervolgens 7 en 8 om de cursor te verplaatsen. |
|
/k-toetsen |
|
|
Lijst1 % Þ lijst Matrix1 % Þ matrix Geeft Geeft bij een lijst of matrix een lijst of matrix met elk element gedeeld door 100. |
Opmerking: Om een decimale benaderende uitkomst te forceren, Rekenmachine: Druk op / ·.
|
|
= -toets |
|
|
Uitdr1 = Uitdr2ÞBooleaanse uitdrukking Lijst1 = Lijst2Þ Booleaanse lijst Matrix1 = Matrix2Þ Booleaanse matrix Geeft waar als vastgesteld is dat Uitdr1 gelijk is aan Uitdr2. Geeft onwaar als vastgesteld is dat Uitdr1 niet gelijk is aan Uitdr2. Elke andere invoer geeft een vereenvoudigde vorm van de vergelijking. Bij lijsten en matrices vergelijkt dit commando element voor element. Opmerking bij het invoeren van het voorbeeld: Instructies over het invoeren van programma's met meerdere regels en functiedefinities vindt u in het hoofdstuk Rekenmachine van de handleiding van uw product. |
Voorbeeldfunctie waarin wiskundige test-symbolen worden gebruikt: =, ƒ, <, {, >, |
Resultaat van het tekenen van de grafiek g(x)
|
|
/=-toetsen |
|
|
Uitdr1 ƒ Uitdr2 Þ Booleaanse uitdrukking Lijst1 ƒ Lijst2 Þ Booleaanse lijst Matrix1 ƒ Matrix2 Þ Booleaanse matrix Geeft waar als vastgesteld is dat Uitdr1 niet gelijk is aan Uitdr2. Geeft onwaar als vastgesteld is dat Uitdr1 gelijk is aan Uitdr2. Elke andere invoer geeft een vereenvoudigde vorm van de vergelijking. Bij lijsten en matrices vergelijkt dit commando element voor element. Opmerking: u kunt deze operator vanaf het toetsenbord van de computer invoeren door /= in te typen |
Zie het voorbeeld voor “=” (is gelijk). |
|
/= toetsen |
|
|
Uitdr1 < Uitdr2 Þ Booleaanse uitdrukking Lijst1 < Lijst2 Þ Booleaanse lijst Matrix1 < Matrix2 Þ Booleaanse matrix Geeft waar als vastgesteld is dat Uitdr1 kleiner is dan Uitdr2. Geeft onwaar als vastgesteld is dat Uitdr1 groter dan of gelijk is aan Uitdr2. Elke andere invoer geeft een vereenvoudigde vorm van de vergelijking. Bij lijsten en matrices vergelijkt dit commando element voor element. |
Zie het voorbeeld voor “=” (is gelijk). |
|
/=-toetsen |
|
|
Uitdr1 { Uitdr2 Þ Booleaanse uitdrukking Lijst1 { Lijst2 Þ Booleaanse lijst Matrix1 { Matrix2 Þ Booleaanse matrix Geeft waar als vastgesteld is dat Uitdr1 kleiner dan of gelijk is aan Uitdr2. Geeft onwaar als vastgesteld is dat Uitdr1 groter is dan Uitdr2. Elke andere invoer geeft een vereenvoudigde vorm van de vergelijking. Bij lijsten en matrices vergelijkt dit commando element voor element. Opmerking: u kunt deze operator vanaf het toetsenbord van de computer invoeren door <= in te typen |
Zie het voorbeeld voor “=” (is gelijk). |
|
/=-toetsen |
|
|
Uitdr1 > Uitdr2 Þ Booleaanse uitdrukking Lijst1 > Lijst2 Þ Booleaanse lijst Matrix1 > Matrix2 Þ Booleaanse matrix Geeft waar als vastgesteld is dat Uitdr1 groter is dan Uitdr2. Geeft onwaar als vastgesteld is dat Uitdr1 kleiner dan of gelijk is aan Uitdr2. Elke andere invoer geeft een vereenvoudigde vorm van de vergelijking. Bij lijsten en matrices vergelijkt dit commando element voor element. |
Zie het voorbeeld voor “=” (is gelijk). |
|
/=-toetsen |
|
|
Uitdr1 | Uitdr2 Þ Booleaanse uitdrukking Lijst1 | Lijst2 Þ Booleaanse lijst Matrix1 | Matrix2 Þ Booleaanse matrix Geeft waar als vastgesteld is dat Uitdr1 groter dan of gelijk is aan Uitdr2. Geeft onwaar als vastgesteld is dat Uitdr1 kleiner is dan Uitdr2. Elke andere invoer geeft een vereenvoudigde vorm van de vergelijking. Bij lijsten en matrices vergelijkt dit commando element voor element. Opmerking: u kunt deze operator vanaf het toetsenbord van de computer invoeren door >= in te typen |
Zie het voorbeeld voor “=” (is gelijk). |
|
/= toetsen |
|
|
BooleaanseUitdr1 Þ BooleaanseUitdr2 levertBooleaanse uitdrukking BooleaanseLijst1 ÞBooleaanseLijst2 levert Booleaanse lijst BooleaanseMatrix1 Þ BooleaanseMatrix2 levert Booleaanse matrix Geheel getal1 Þ Geheel getal2 levert Geheel getal
Werkt de uitdrukking Bij lijsten en matrices vergelijkt dit commando element voor element. Opmerking: u kunt deze operator vanaf het toetsenbord van de computer invoegen door => in te typen |
|
|
/= toetsen |
|
|
BooleaanseUitdr1 Û BooleaanseUitdr2 levert Booleaanse uitdrukking BooleaanseLijst1 ÛBooleaanseLijst2 levert Booleaanse lijst BooleaanseMatrix1 Û BooleaanseMatrix2 levert Booleaanse matrix Geheel getal1 Û Geheel getal2 levert Geheel getal
Geeft de ontkenning (negatie) van een Bij lijsten en matrices vergelijkt dit commando element voor element. Opmerking: u kunt deze operator vanaf het toetsenbord van de computer invoegen door <=> in te typen |
|
|
º-toets |
|
|
Lijst1! Þ lijst Matrix1! Þ matrix Geeft de faculteit van het argument. Geeft bij een lijst of een matrix een lijst of een matrix met de faculteiten van de elementen. |
|
|
/k-toetsen |
|
|
String1 & String2 Þ string Geeft een tekststring die bestaat uit String2 toegevoegd aan String1. |
|
|
Catalogus > |
||||||||||
|
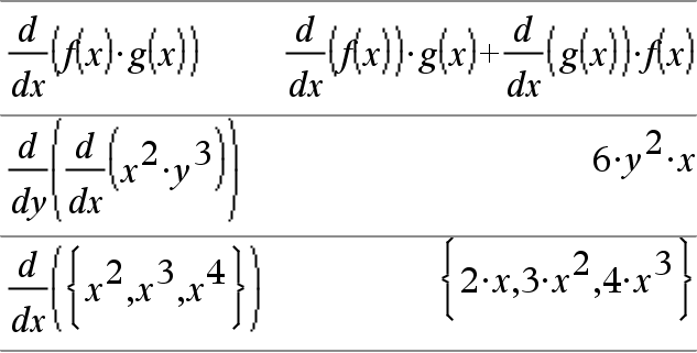
d(Uitdr1, Var[,Orde])Þuitdrukking d(Lijst1, Var[,Orde])Þlijst d(Matrix1, Var[,Order])Þmatrix Geeft de eerste afgeleide van het eerste argument ten opzichte van variabele Var. Orde moet, indien opgenomen, een geheel getal zijn. Als de orde kleiner dan nul is, dan is het resultaat een primitieve. Opmerking: u kunt deze operator vanaf het toetsenbord van de computer invoeren door
|
|
|
Catalogus > |
|
|
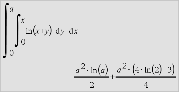
‰(Uitdr1, Var[, Onder, Boven]) Þ uitdrukking ‰(Uitdr1, Var[,Constante]) Þ uitdrukking Geeft de integraal van Uitdr1 ten opzichte van de variabele Var van Onder tot Boven. Opmerking: zie ook Bepaalde of Onbepaalde integraal-template, hier. Opmerking: u kunt deze operator vanaf het toetsenbord van de computer invoeren door integral(...) in te typen. |
|
|
Geeft een primitieve als Onder en Boven weggelaten worden. Een symbolische integratieconstante wordt weggelaten tenzij u het Constante-argument invoert. |
|
|
Geldige primitieven een numerieke constante verschillen. Zo'n constante kan 'vermomd' zijn—vooral als een primitieve logaritmes of inverse goniometrische functies bevat. Bovendien worden er soms stuksgewijs gedefinieerde constante-uitdrukkingen toegevoegd waardoor een primitieve geldig wordt over een groter interval dan de gebruikelijke formule. |
|
|
‰() geeft zichzelf voor stukken van Uitdr1 die het niet kan bepalen als een expliciete eindige combinatie van zijn ingebouwde functies en operatoren. Wanneer u Onder en Boven invoert, wordt er een poging gedaan om eventuele discontinuïteiten of discontinue afgeleiden in het interval Onder < Var < Boven te lokaliseren en om het interval op die plaatsen onder te verdelen. |
|
|
Bij de automatische instelling van de Automatische of Benaderende modus wordt indien van toepassing numerieke integratie gebruikt, wanneer er geen primitieve of limiet kan worden bepaald. |
|
|
Bij de Benaderende instelling wordt eerst numerieke integratie geprobeerd, indien van toepassing. Primitieven worden alleen gezocht waar een dergelijke numerieke integratie niet van toepassing is of mislukt. |
Opmerking: Om een decimale benaderende uitkomst te forceren, Rekenmachine: Druk op / ·.
|
|
‰() kan genest worden om meervoudige integralen te bepalen. Integratiegrenzen kunnen afhangen van integratievariabelen erbuiten. Opmerking: zie ook nInt(), hier. |
|
|
/q-toetsen |
|
|
‡ (Lijst1)Þlijst Geeft de wortel van het argument. Geeft bij een lijst de wortel van alle elementen in Lijst1. Opmerking: u kunt deze operator vanaf het toetsenbord van de computer invoeren door sqrt(...) in te typen. Opmerking: zie ook Wortel-template, hier. |
|
|
Catalogus > |
|
|
P(Uitdr1, Var, Laag, Hoog)Þuitdrukking Werkt Uitdr1 uit voor elke waarde van Var van Laag tot Hoog, en geeft het product van de resultaten. Opmerking: u kunt deze operator vanaf het toetsenbord van de computer invoeren door prodSeq(...) in te typen. Werkt Uitdr1 uit voor elke waarde van Var van Laag tot Hoog, en geeft het product van de resultaten. Opmerking: zie ook Product-template (P), hier. |
|
|
P(Uitdr1, Var, Laag, LaagN1)Þ1 P(Uitdr1, Var, Laag, Hoog) Þ1/P(Uitdr1, Var, Hoog+1, LaagN1) als Hoog < LaagN1 De gebruikte productformules zijn afkomstig uit de volgende bron: Ronald L. Graham, Donald E. Knuth en Oren Patashnik. Concrete Mathematics: A Foundation for Computer Science. Reading, Massachusetts: Addison-Wesley, 1994. |
|
|
Catalogus > |
|
|
G(Uitdr1, Var, Laag, Hoog)Þuitdrukking Opmerking: u kunt deze operator vanaf het toetsenbord van de computer invoeren door sumSeq(...) in te typen. Werkt Uitdr1 uit voor elke waarde van Var van Laag naar Hoog, en geeft de som van de resultaten. Opmerking: Zie ook Som-template, hier. |
|
|
G(Uitdr1, Var, Laag, LaagN1)Þ0 G(Uitdr1, Var, Laag, Hoog) ÞLG(Uitdr1, Var, Hoog+1, LaagN1) als Hoog < LaagN1
De gebruikte somformules zijn afkomstig uit de volgende bron: Ronald L. Graham, Donald E. Knuth en Oren Patashnik. Concrete Mathematics: A Foundation for Computer Science. Reading, Massachusetts: Addison-Wesley, 1994. |
|
|
Catalogus > |
||||||||||
|
GInt(NPmt1, NPmt2, N, I, PV,[Pmt], [FV], [PpY], [CpY], [PmtAt], [afgerondeWaarde])Þwaarde GInt(NPmt1,NPmt2,amortTable)Þwaarde Aflossingsfunctie die de som van de rente gedurende een gespecificeerd aantal betalingen berekent. NPmt1 en NPmt2 definiëren de begin- en eindgrenzen van het betalingsbereik. N, I, PV, Pmt, FV, PpY, CpY en PmtAt worden beschreven in de tabel met TVM-argumenten, hier.
afgerondeWaarde specificeert het aantal decimalen voor afronding. Standaardwaarde=2. GInt(NPmt1,NPmt2,amortTable) berekent de som van de rente op basis van de aflossingstabel amortTable. Het argument amortTable moet een matrix zijn met de vorm die beschreven wordt onder amortTbl(), hier. Opmerking: zie ook GPrn(), hieronder, en Bal(), hier. |
|
|
Catalogus > |
||||||||||
|
GPrn(NPmt1, NPmt2, N, I, PV, [Pmt], [FV], [PpY], [CpY], [PmtAt], [afgerondeWaarde])Þwaarde GPrn(NPmt1,NPmt2,amortTable)Þwaarde Aflossingsfunctie die de som van de hoofdsom gedurende een gespecificeerd aantal betalingen berekent. NPmt1 en NPmt2 definiëren de begin- en eindgrenzen van het betalingsbereik. N, I, PV, Pmt, FV, PpY, CpY en PmtAt worden beschreven in de tabel met TVM-argumenten, hier.
afgerondeWaarde specificeert het aantal decimalen voor afronding. Standaardwaarde=2. GPrn(NPmt1,NPmt2,amortTable) berekent de som van de betaalde hoofdsom op basis van de aflossingstabel amortTable. Het argument amortTable moet een matrix zijn met de vorm die beschreven wordt onder amortTbl(), hier. Opmerking: zie ook GInt(), hierboven, en Bal(), hier. |
|
|
/k-toetsen |
|
|
# varNaamString Verwijst naar de variabele met de naam varNaamString. Hiermee kunt u strings gebruiken om variabelenamen binnen een functie te creëren. |
Creëert of verwijst naar de variabele xyz.
Geeft de waarde van de variabele (r) waarvan de naam is opgeslagen in variabele s1. |
|
i-toets |
|
|
mantisseEexponent Voert een getal in wetenschappelijke notatie in. Het getal wordt geïnterpreteerd als mantisse × 10exponent. Tip: als u een macht van 10 wilt invoeren zonder een resultaat met decimalen te veroorzaken, gebruik dan 10^geheel getal. Opmerking: u kunt deze operator vanaf het toetsenbord van de computer invoeren door @E in te typen. typ bijvoorbeeld 2.3@E4 om 2.3E4 in te voeren. |
|
|
1-toets |
|
|
Lijst1gÞlijst Matrix1gÞmatrix Deze functie geeft u een manier om een hoek in decimale graden te specificeren terwijl u in de modus Graden of Radialen bent. In de hoekmodus Radialen: vermenigvuldigt Uitdr1 met p/200. In de hoekmodus Graden: vermenigvuldigt Uitdr1 met g/100. In de modus Decimale graden: geeft Uitdr1 ongewijzigd. Opmerking: u kunt deze operator vanaf het toetsenbord van de computer invoeren door @g in te voeren. |
In de modus Graden, Decimale graden of Radialen:
|
|
1-toets |
|
|
Lijst1RÞlijst Matrix1RÞmatrix Deze functie geeft u een manier om een hoek in radialen te specificeren terwijl u in de modus Graden of Decimale graden bent. In de hoekmodus Graden: vermenigvuldigt het argument met 180/p. In de hoekmodus Radialen: geeft het argument ongewijzigd. In de modus Decimale graden: vermenigvuldigt het argument met 200/p. Tip: gebruik Rals u radialen wilt forceren in een functiedefinitie, ongeacht de modus die de voorkeur heeft wanneer de functie wordt gebruikt. Opmerking: u kunt deze operator vanaf het toetsenbord van de computer invoeren door @r in te voeren. |
In de hoekmodus Graden, Decimale graden of Radialen:
|
|
1-toets |
|
|
Lijst1¡Þlijst Matrix1¡Þmatrix Deze functie geeft u een manier om een hoek in graden te specificeren terwijl u in de modus Decimale graden of Radialen bent. In de hoekmodus Radialen: vermenigvuldigt het argument met p/180. In de hoekmodus Graden: geeft het argument ongewijzigd. In de hoekmodus Decimale graden: vermenigvuldigt het argument met 10/9. Opmerking: u kunt deze operator vanaf het toetsenbord van de computer invoeren door @d in te voeren. |
In de hoekmodus Graden, Decimale graden of Radialen:
In de hoekmodus Radialen: Opmerking: Om een decimale benaderende uitkomst te forceren, Rekenmachine: Druk op / ·.
|
|
/k-toetsen |
|||||||
|
dd¡mm'ss.ss''Þuitdrukking ddEen positief of negatief getal mmEen niet-negatief getal ss.ssEen niet-negatief getal Geeft dd+(mm/60)+(ss.ss/3600). Met deze grondtal‑60-invoeropmaak kunt u:
Opmerking: laat ss.ss volgen door twee apostroffen (''), niet door een dubbel aanhalingsteken ("). |
In de hoekmodus Graden:
|
|
/k-toetsen |
|
|
[Straal,±q_Hoek]Þvector (polaire invoer) [Straal,±q_Hoek,Z_Coördinaat]Þvector (cilindrische invoer) [Straal,±q_Hoek,±q_Hoek]Þvector (bolvormige invoer) Geeft coördinaten als een vector op basis van de modusinstelling voor vectoropmaak: rechthoekig, cilindrisch of bolvormig. Opmerking: u kunt deze operator vanaf het toetsenbord van de computer invoeren door @< in te voeren. |
In de modus Radialen en met vectoropmaak ingesteld op: rechthoekig
cilindrisch
bolvormig
|
|
(Grootte ± Hoek)ÞcomplexeWaarde (polaire invoer) Voert een complexe waarde in (r±q) polaire vorm in. De Hoek wordt geïnterpreteerd volgens de huidige instelling van de hoekmodus. |
In de hoekmodus Radialen en rechthoekige complexe opmaak:
Opmerking: Om een decimale benaderende uitkomst te forceren, Rekenmachine: Druk op / ·. |
|
º-toets |
|
|
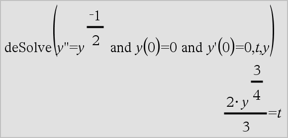
variabele ' variabele '' Voert een prime-symbool in een differentiaalvergelijking in. Een enkel prime-symbool duidt een differentiaalvergelijking van de eerste orde aan, twee prime-symbolen duiden een differentiaalvergelijking van de tweede orde aan, enz. |
|
|
Zie “Lege elementen” hier. |
|
|
|
|
|
/_-toetsen |
|
|
Uitdr_Eenheid Duidt de eenheden voor een Uitdr aan. Alle namen van eenheden moeten beginnen met een onderstrepingsteken. U kunt voorgedefinieerde eenheden gebruiken of uw eigen eenheden creëren. Voor een lijst met voorgedefinieerde eenheden opent u de Catalogus en geeft u de tab Eenhedenconversies weer. U kunt namen van eenheden selecteren uit de Catalogus of de namen voor de eenheden direct intypen. |
Opmerking: u vindt het conversiesymbool, 4, in de Catalogus. Klik op |
|
Variabele_ Als Variabele geen waarde heeft, dan wordt hij behandeld alsof hij een complex getal representeert. Standaard wordt de variabele zonder het _ als reëel behandeld. Als Variabele een waarde heeft, dan wordt het _ genegeerd en behoudt Variabele zijn oorspronkelijke gegevenstype. Opmerking: u kunt een complex getal in een variabele opslaan zonder _ te gebruiken. Voor de beste resultaten in berekeningen als cSolve() en cZeros() wordt echter aangeraden om het _ te gebruiken. |
Aangenomen dat z onbepaald is:
|
|
/k-toetsen |
|||||||
|
Uitdr_Eenheid1 4 _Eenheid2ÞUitdr_Eenheid2 Converteert een uitdrukking van de ene eenheid naar een andere. Het onderstrepingsteken _ duidt de eenheden aan. De eenheden moeten in dezelfde categorie vallen, zoals Lengte of Oppervlakte. Voor een lijst met voorgedefinieerde eenheden opent u de Catalogus en geeft u de tab Eenhedenconversies weer:
U kunt de namen van eenheden ook met de hand intypen. Om “_” te typen als u namen van eenheden op de rekenmachine typt, drukt u op /_. Opmerking: gebruik tmpCnv() en @tmpCnv() om temperatuureenheden te converteren. De conversie-operator 4 converteert geen temperatuureenheden. |
|
|
Catalogus > |
|
|
10^ (Uitdr1)Þuitdrukking 10^ (Lijst1)Þlijst Geeft 10 tot de macht van het argument. Geeft bij een lijst 10 tot de macht van de elementen in Lijst1. |
|
|
10^(vierkanteMatrix1)ÞvierkanteMatrix Geeft 10 tot de macht van vierkanteMatrix1. Dit is niet hetzelfde als het berekenen van 10 tot de macht van elk element. Zie voor informatie over de berekeningsmethode cos(). vierkanteMatrix1 moet diagonaliseerbaar zijn. Het resultaat bevat altijd getallen met een drijvende komma. |
|
|
Catalogus > |
|
|
Lijst1 ^/Þlijst Geeft de omgekeerde van het argument. Geeft bij een lijst de omgekeerden van de elementen in Lijst1. |
|
|
vierkanteMatrix1 ^/ÞvierkanteMatrix Geeft de inverse van vierkanteMatrix1. vierkanteMatrix1 moet een niet-singuliere vierkante matrix zijn. |
|
|
/k-toetsen |
||||||||||
|
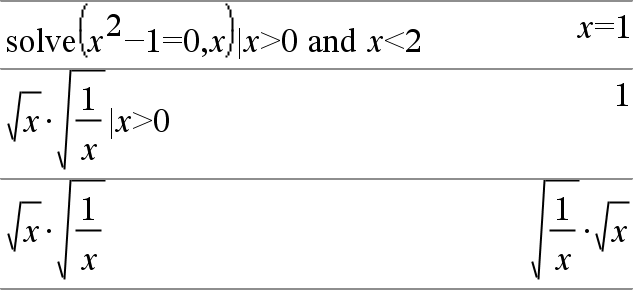
Uitdr | BooleaanseUitdr1 [ Uitdr | BooleaanseUitdr1 [ Het beperkingssymbool (“|”) dient als een binaire operator. De operand aan de linkerkant van | is een uitdrukking. De operand aan de rechterkant van | specificeert één of meer relaties die bedoeld zijn om de vereenvoudiging van de uitdrukking te beïnvloeden. Meerdere relaties na | moeten gekoppeld worden door logische “ De beperkings-operator biedt drie basistypen functionaliteit:
|
|
|||||||||
|
Substituties zijn in de vorm van een gelijkheid, zoals x=3 of y=sin(x). Om het meest effectief te zijn moet de linkerkant een enkelvoudige variabele zijn. Uitdr | Variabele = waarde substitueert waarde elke keer dat Variabele voorkomt in Uitdr. |
|
|||||||||
|
Intervalbeperkingen kunnen de vorm aannemen van één of meer ongelijkheden die gekoppeld worden door logische “and” of “or”-operatoren. Intervalbeperkingen maken ook vereenvoudigingen mogelijk, die anders ongeldig of niet te berekenen zouden kunnen zijn. |
|
|||||||||
|
Uitsluitingen gebruiken de relationele operator “is niet gelijk aan” (/= of ƒ) om een specifieke waarde buiten beschouwing te laten. |
|
|
/h-toets |
|
|
Lijst & Var Matrix & Var Uitdr & Functie(Param1,...) Lijst & Functie(Param1,...) Matrix & Functie(Param1,...) Als de variabele Var niet bestaat, dan wordt deze gecreëerd en geïnitialiseerd naar Uitdr, Lijst of Matrix. Als de variabele Var reeds bestaat en niet vergrendeld of beveiligd is, dan wordt de inhoud ervan vervangen door Uitdr, Lijst of Matrix. Tip: als u symbolische berekeningen wilt uitvoeren met behulp van ongedefinieerde variabelen, sla dan niets op in veelgebruikte éénletterige variabelen zoals a, b, c, x, y, z enz. Opmerking: u kunt deze operator vanaf het toetsenbord van de computer invoeren door =: als sneltoets in te voeren. Typ bijvoorbeeld pi/4 =: mijnvar. |
|
|
/t -toetsen |
|
|
Var := Lijst Var := Matrix Functie(Param1,...) := Uitdr Functie(Param1,...) := Lijst Functie(Param1,...) := Matrix Als variabele Var niet bestaat, dan wordt Var gecreëerd en geïnitialiseerd naar Uitdr, Lijst of Matrix. Als Var reeds bestaat en niet vergrendeld of beveiligd is, dan wordt de inhoud ervan vervangen door Uitdr, Lijst of Matrix.
|
|
|
/k-toetsen |
|
|
© [tekst] © verwerkt tekst als een commentaarregel, waardoor u door u gecreëerde functies en programma's kunt annoteren. © kan aan het begin of op een willekeurige plaats in de regel staan. Alles rechts van ©, tot aan het eind van de regel, is het commentaar. Opmerking bij het invoeren van het voorbeeld: Instructies over het invoeren van programma's met meerdere regels en functiedefinities vindt u in het hoofdstuk Rekenmachine van de handleiding van uw product. |
|
|
0B-toetsen, 0H-toetsen |
|
|
0b binairGetal 0h hexadecimaalGetal Duidt respectievelijk een binair of hexadecimaal getal aan. Om een binair of hexadecimaal getal in te voeren moet u het 0b- of 0h-prefix invoeren, ongeacht de instelling van de grondtal-modus. Zonder prefix wordt een getal behandeld als decimaal (grondtal 10). Resultaten worden weergegeven volgens de grondtal-modus. |
In de Dec-grondtalmodus:
In de Bin-grondtalmodus:
In de Hex-grondtalmodus:
|

.

en klik vervolgens op