D
|
Catálogo > |
|
|
dbd(fecha1,fecha2)Þvalor Entrega el número de días entre fecha1 y fecha2 usando el método de conteo de días reales. fecha1 y fecha2 pueden ser números dentro del rango de las fechas en el calendario estándar. Si tanto fecha1 como fecha2 son listas, deberán tener la misma longitud. Tanto fecha1 como fecha2 deben estar entre los años 1950 a 2049. Usted puede ingresar las fechas en uno de dos formatos. La colocación decimal se diferencia entre los formatos de fecha. MM.DDAA (formato que se usa de manera común en los Estados Unidos) DDMM.AA (formato que se usa de manera común en Europa) |
|
|
Catálogo > |
|
|
Expr1 4DDÞvalor Lista1 4DDÞlista Matriz1 4DDÞmatriz Nota: Usted puede insertar este operador desde el teclado de la computadora al escribir @>DD. Entrega el decimal equivalente del argumento expresado en grados. El argumento es un número, lista o matriz que se interpreta por medio de la configuración del modo de Ángulo en gradianes, radianes o grados. |
En modo de ángulo en Grados:
En modo de ángulo en Gradianes:
En modo de ángulo en Radianes:
|
|
Catálogo > |
|
|
Lista1 4DecimalÞexpresión Matriz1 4DecimalÞexpresión Nota: Usted puede insertar este operador desde el teclado de la computadora al escribir @>Decimal. Despliega el argumento en forma decimal. Este operador se puede usar únicamente al final de la línea de ingreso. |
|
|
Catálogo > |
|
|
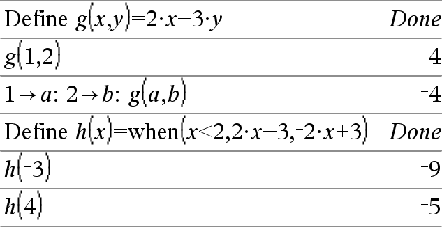
Define Var = Expresión Define Función(Param1, Param2, ...) = Expresión Define la variable Var o la función definida por el usuario Función. Los parámetros, como Param1, proporcionan marcadores de posición para pasar argumentos a la función. Cuando llame a una función definida por el usuario, usted deberá suministrar argumentos (por ejemplo, valores o variables) que correspondan a los parámetros. Cuando se llama, la función evalúa la Expresión usando los argumentos provistos. Var y Función no pueden ser el nombre de una variable de sistema o de una función o un comando integrado. Nota: Esta forma de Define es equivalente a ejecutar la expresión: expresión & Función(Param1,Param2). |
|
|
Define Función(Param1, Param2, ...) = Func Define Programa(Param1, Param2, ...) = Prgm En esta forma, la función o el programa definido por el usuario puede ejecutar un bloque de varias sentencias. Bloque puede ser una sentencia sencilla o una serie de sentencias en líneas separadas. Bloque también puede incluir expresiones e instrucciones (como If, Then, Else, y For). Nota para introducir el ejemplo: Para obtener instrucciones sobre cómo introducir las definiciones de programas y funciones en varias líneas, consulte la sección Calculadora de la guía del producto. Nota: Vea también Define LibPriv, aquíy Define LibPub, aquí. |
|
|
Catálogo > |
|
|
Define LibPriv Var = Expresión Define LibPriv Función(Param1, Param2, ...) = Expresión Define LibPriv Función(Param1, Param2, ...) = Func Define LibPriv Programa(Param1, Param2, ...) = Prgm Opera igual que Define, excepto porque define una variable de librería privada, función o programa. Las funciones y los programas privados no aparecen en el Catálogo. |
|
|
Catálogo > |
|
|
Define LibPub Var = Expresión Define LibPub Función(Param1, Param2, ...) = Expresión Define LibPub Función(Param1, Param2, ...) = Func Define LibPub Programa(Param1, Param2, ...) = Prgm Opera igual que Define, excepto porque define una variable de librería pública, función o programa. Las funciones y los programas públicos aparecen en el Catálogo después de que la librería se ha guardado y actualizado. |
|
|
Vea @List(), aquí. |
|
|
|
|
|
Vea @tmpCnv(), aquí. |
|
|
|
|
|
Catálogo > |
|
|
DelVar Var1[, Var2] [, Var3] ... DelVar Var. Borra la variable o el grupo de variables especificado de la memoria. Si una o más de las variables están bloqueadas, este comando despliega un mensaje de error y borra únicamente las variables no bloqueadas. Vea |
|
|
DelVar Var. borra todos los miembros del grupo de variables Var. (como las estadísticas stat.nn los resultados o las variables que se crean con el uso de LibShortcut() función). El punto (.) en esta forma de comando DelVar lo limita a borrar un grupo de variables; la variable sencilla Var no se ve afectada. |
|
|
Catálogo > |
|
|
Entrega una lista que tiene el contenido de Lista1 con todos los elementos (nulos) vacíos eliminados. Para obtener más información sobre elementos vacíos, vea aquí. |
|
|
Vea d(), aquí. |
|
|
|
|
|
Catálogo > |
|||||||
|
det(matrizCuadrada[, Tolerancia])Þexpresión Entrega la determinante de matrizCuadrada. De manera opcional, cualquier elemento de matriz se trata como cero si su valor absoluto es menor que la Tolerancia. Esta tolerancia se usa sólo si la matriz tiene ingresos de punto flotante y no contiene ninguna variable simbólica a la que no se le haya asignado un valor. De otro modo, la Tolerancia se ignora.
|
|
|
Catálogo > |
|
|
diag(Lista)Þmatriz diag(matrizFila)Þmatriz diag(matrizColumna)Þmatriz Entrega una matriz con los valores en la lista o matriz de argumentos en su diagonal principal. |
|
|
diag(matrizCuadrada)ÞmatrizFila Entrega una matriz de filas que contiene los elementos de la diagonal principal de matrizCuadrada. matrizCuadrada debe ser cuadrada. |
|
|
Catálogo > |
|
|
dim(Lista)Þentero Entrega la dimensión de Lista. |
|
|
dim(Matriz)Þlista Entrega las dimensiones de la matriz como una lista de dos elementos {filas, columnas}. |
|
|
dim(Cadena)Þentero Entrega el número de caracteres contenidos en la cadena de caracteres Cadena. |
|
|
Catálogo > |
|
|
Disp exprOCadena1 [, exprOCadena2] ... Despliega los argumentos en el historial de la Calculadora . Los argumentos se despliegan en sucesión, con espacios pequeños como separadores. Es útil principalmente con programas y funciones para asegurar en despliegue de cálculos intermedios. Nota para introducir el ejemplo: Para obtener instrucciones sobre cómo introducir las definiciones de programas y funciones en varias líneas, consulte la sección Calculadora de la guía del producto. |
|
|
Catálogo > |
|||||
|
DispAt int,expr1 [,expr2 ...] ... DispAt permite especificar la línea en la que se mostrará en la pantalla la expresión o cadena de caracteres especificada. El número de línea se puede especificar como una expresión. Tenga en cuenta que el número de línea no es para toda la pantalla, sino para el área inmediatamente después del comando/programa. Este comando permite tener salidas tipo tablero de instrumentos de programas donde el valor de una expresión o de una lectura de sensor se actualiza en la misma línea. DispAty Disp pueden utilizarse dentro del mismo programa. Nota: El número máximo se establece en 8 ya que coincide con una pantalla llena de líneas en la pantalla del dispositivo portátil, siempre y cuando las líneas no tengan expresiones matemáticas en 2D. El número exacto de líneas depende del contenido de la información mostrada.
|
Ejemplo
Ejemplos ilustrativos:
|
Condiciones de error:
|
Mensaje de error |
Descripción |
|---|---|
|
El número de línea de DispAt debe ser entre 1 y 8 |
La expresión evalúa el número de línea fuera del rango 1 a 8 (inclusive) |
|
Muy pocos argumentos |
Le falta uno o más argumentos a la función o al comando. |
|
No hay argumentos |
Igual que el cuadro de diálogo actual 'error de sintaxis' |
|
Demasiados argumentos |
Limite los argumentos. Mismo error que en Disp. |
|
Tipo de datos no válido |
El primer argumento debe ser un número. |
|
Anular: anular DispAt |
Un tipo de error datatype "Hello World" se produce para la anulación (si se define la devolución de llamada) |
|
Operador de conversión: DispAt 2_ft @> _m, "Hello World" |
CAS: Se produce un tipo de error datatype "Hello World" para la anulación (si se define la devolución de llamada) Numérico: La conversión se evaluará y si el resultado es un argumento válido, DispAt imprime la cadena en la línea de resultados. |
|
Catálogo > |
|
|
Lista 4DMS Matriz 4DMS Nota: Usted puede insertar este operador desde el teclado de la computadora al escribir @>DMS. Interpreta el argumento como un ángulo y despliega el número GMS (GGGGGG¡MM'SS.ss'') equivalente. Vea ¡, ', '' (aquí) para el formato GMS (grado, minutos, segundos). Nota: 4DMS se convertirá de radianes a grados cuando se use en el modo de Radián. Si la entrada va seguida de un símbolo de grados ¡ , no ocurrirá ninguna conversión. Usted puede usar 4DMS sólo al final de una línea de ingreso. |
En modo de ángulo en Grados:
|
|
Catálogo > |
|
|
domain(Expr1, Var)Þexpresión Devuelve el dominio de Expr1con respecto a Var. domain() puede utilizarse para examinar los dominios de las funciones. Se restringe a un dominio real y finito. Esta funcionalidad presenta limitaciones debido a defectos en los algoritmos de simplificación algebráicos para computadora y algoritmos solucionadores. Algunas funciones no pueden ser utilizadas como argumentos para domain(), sin importar si aparecen explícitamente o dentro de las variables y funciones definidas por el usuario: En el siguiente ejemplo, la expresión no puede simplificarse porque ‰() no es una función permitida.
|
|
|
Catálogo > |
|
|
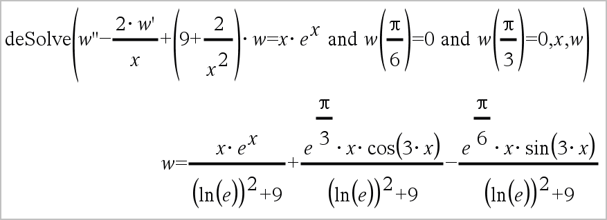
dominantTerm(Expr1, Var [, Punto])Þexpresión dominantTerm(Expr1, Var [, Punto]) | Var>Punto Þexpresión dominantTerm(Expr1, Var [, Punto]) | Var<Punto Þexpresión Entrega el término dominante de la representación de una serie de potencia de Expr1 expandida alrededor de Punto. El término dominante es aquel cuya magnitud crece con más rapidez cerca de Var = Punto. La potencia resultante de (Var N Punto) puede tener un exponente negativo y/o fraccional. El coeficiente de esta potencia puede incluir logaritmos de (Var N Punto) y otras funciones de Var que están dominadas por todas las potencias de (Var N Punto) teniendo el mismo signo de exponente. Punto se predetermina a 0. Punto puede ser ˆ o Nˆ, en cuyos casos el término dominante será el término que tiene el exponente más grande de Var en lugar del exponente más pequeño de Var. dominantTerm(…) entrega “dominantTerm(…)” si no puede determinar tal representación, como para singularidades esenciales como sin(1/z) en z=0, eN1/z en z=0, o ez en z = ˆ o Nˆ. Si la serie o una de sus derivadas tiene una discontinuidad de salto en un Punto, es probable que el resultado contenga subexpresiones del signo de forma(…) o abs(…) para una variable de expansión real o (-1)piso(…angle(…)…) para una variable de expansión compleja, que es una que termina con “_”. Si usted pretende usar el término dominante sólo para valores en un lado de Punto, entonces anexe a dominantTerm(...) el apropiado de “| Var > Punto”, “| Var < Punto”, “| “Var | Punto” o “Var { Punto” para obtener un resultado más simple. dominantTerm() se distribuye sobre listas y matrices del 1er argumento. dominantTerm() es útil cuando usted desea conocer la expresión más simple posible que sea asintótica para otra expresión como Var " Punto. dominantTerm() también es útil cuando no es obvio cuál será el grado del primer término no-cero de una serie, y usted no desea calcular iterativamente, ya sea de manera interactiva o por medio de un bucle de programa. Nota: Vea también series(), aquí. |
|
|
Catálogo > |
|
|
dotP(Lista1, Lista2)Þexpresión Entrega el producto "punto" de dos listas. |
|
|
dotP(Vector1, Vector2)Þexpresión Entrega el producto punto" de dos vectores. Ambos deben ser vectores de fila, o ambos deben ser vectores de columna. |
|
