E
|
Tecla u |
|
|
e^(Expr1) Þexpressão Devolve e elevado à potência Expr1. Nota: Consulte também e modelo do expoente, aqui. Nota: Premir u para ver e ^( é diferente de premir o carácter E no teclado. Pode introduzir um número complexo na forma polar re i q. No entanto, utilize esta forma apenas no modo de ângulo Radianos; causa um erro de domínio no modo de ângulo Graus ou Gradianos. |
|
|
e^(Lista1) Þlista Devolve e elevado à potência de cada elemento em Lista1. |
|
|
e^(MatrizQuadrada1) ÞMatrizQuadrada Devolve a matriz exponencial de MatrizQuadrada1. Isto não é o mesmo que calcular e elevado à potência de cada elemento. Para mais informações sobre o método de cálculo, consulte cos(). MatrizQuadrada1 tem de ser diagnolizável. O resultado contém sempre os números de ponto flutuante. |
|
|
Catálogo > |
|
|
eff(TaxaNominal,CpY) Þvalor Função financeira que converte a taxa de juro nominal TaxaNominal para uma taxa efectiva anual, dando CpY como o número de período compostos por ano. TaxaNominal tem de ser um número real e CpY tem de ser um número real > 0. Nota: Consulte também nom(), aqui. |
|
|
Catálogo > |
|
|
eigVc(MatrizQuadrada) Þmatriz Devolve uma matriz com os vectores próprios para uma MatrizQuadrada real ou complexa, em que cada coluna do resultado corresponde a um valor próprio. Não se esqueça de que um vector próprio não é único; pode ser dimensionado por qualquer factor constante. Os vectores próprios são normalizados, significando que se V = [ x 1, x 2, …, x n ]: x 1 2 + x 2 2 + … + x n 2 = 1 MatrizQuadrada é primeiro equilibrada com tranformações de similaridade até as normas das colunas e linhas estarem o mais perto possível do mesmo valor. A MatrizQuadrada é reduzida para a forma Hessenberg superior e os vectores próprios são calculados através de uma factorização Schur. |
No Formato complexo rectangular:
Para ver o resultado completo, prima 5 e, de seguida, utilize 7 e 8 para mover o cursor. |
|
Catálogo > |
|
|
eigVl(MatrizQuadrada) Þlista Devolve uma lista dos valores próprios de uma MatrizQuadrada real ou complexa. MatrizQuadrada é primeiro equilibrada com tranformações de similaridade até as normas das colunas e linhas estarem o mais perto possível do mesmo valor. A MatrizQuadrada é reduzida para a forma Hessenberg superior e os valores próprios são calculados a partir da matriz Hessenberg superior. |
No modo de formato complexo rectangular:
Para ver o resultado completo, prima 5 e, de seguida, utilize 7 e 8 para mover o cursor. |
|
Consulte If, aqui. |
|
|
|
|
|
Catálogo > |
|
|
Se ExprBooleana1 Block1 ElseIf BooleanExpr2 Block2 © ElseIf ExprBooleanaN BlockN EndIf © Obs para introdução do exemplo: Para obter instruções sobre como introduzir programas com várias linhas e definições de funções, consulte a secção Calculadora do manual do utilizador do produto. |
|
|
Consulte For, aqui. |
|
|
|
|
|
Consulte Func, aqui. |
|
|
|
|
|
Consulte If, aqui. |
|
|
|
|
|
Consulte Loop, aqui. |
|
|
|
|
|
Consulte Prgm, aqui. |
|
|
|
|
|
Consulte Try, aqui. |
|
|
|
|
|
Consulte While, aqui. |
|
|
|
|
|
Catálogo > |
|
|
Utiliza o método de Euler para resolver o sistema
com depVar(Var0)=depVar0 no intervalo [Var0,VarMax]. Apresenta uma matriz cuja primeira linha define os valores de saída Var e cuja segunda linha define o valor da primeira componente da solução nos valores Var correspondentes, e assim por diante. Expr é o lado direito que define a equação diferencial ordinária (EDO). SystemOfExpr é o sistema de lados direitos que definem o sistema de EDOs (corresponde à ordem de variáveis dependentes em ListOfDepVars). ListOfExpr é uma lista de segundos membros que definem o sistema de EDOs (corresponde à ordem de variáveis dependentes em ListOfDepVars). Var é a variável independente. ListOfDepVars é uma lista de variáveis dependentes. {Var0, VarMax} é uma lista de dois elementos que informa a função para integrar de Var0 a VarMax. ListOfDepVars0 é uma lista de valores iniciais para variáveis dependentes. VarStep é um número diferente de zero tal como eulerStep é um número inteiro positivo (passa para 1) que define o número de passos Euler entre os valores de saída. O tamanho de passo real utilizado pelo método Euler é VarStepàeulerStep. |
Equação diferencial: y'=0.001*y*(100-y) e y(0)=10
Para ver o resultado completo, prima 5 e, de seguida, utilize 7 e 8 para mover o cursor.
Sistema de equações:
com y1(0)=2 e y2(0)=5
|
|
Menu Hub |
|
|
eval() só é válida no TI-Innovator™ Hub argumento Comando dos comandos programados Get, GetStr e Send. O software avalia a expressão Expr e substitui a instrução eval() pelo resultado como cadeia de caracteres. O argumento Expr tem de ser simplificado para um número real. |
Definir o elemento azul do LED RGB para metade da intensidade.
Repor o elemento azul para DESLIGADO.
O argumento eval() tem de ser simplificado para um número real.
Programar para aparecimento gradual do elemento vermelho.
Executar o programa.
|
|
Embora eval() não apresente o resultado, pode ver a cadeia de comando resultante do Hub após executar o comando inspecionando qualquer uma das variáveis especiais seguintes. iostr.SendAns |
|
|
Catálogo > |
|
|
exact(Expr1 [, Tolerância])Þexpressão exact(Lista1 [, Tolerância])Þlista exact(Matriz1 [, Tolerância])Þmatriz Utiliza o modo aritmético Exacto para apresentar, quando possível, o número racional equivalente do argumento. Tolerância especifica a tolerância para a conversão; a predefinição é 0 (zero). |
|
|
Catálogo > |
|
|
Exit Sai do bloco For, While ou Loop actual. Exit não é permitido fora das três estruturas circulares (For, While ou Loop). Obs para introdução do exemplo: Para obter instruções sobre como introduzir programas com várias linhas e definições de funções, consulte a secção Calculadora do manual do utilizador do produto. |
Listagem de funções:
|
|
Catálogo > |
|
|
Expr 4exp Representa Expr em função do expoente natural e. Este é um operador de conversão. Apenas pode ser utilizado no fim da linha de entrada. Nota: Pode introduzir este operador através da escrita de @>exp no teclado do computador. |
|
|
Tecla u |
|
|
exp(Expr1) Þexpressão Devolve e elevado à potência Expr1. Nota: Consulte também e modelo do expoente, aqui. Pode introduzir um número complexo na forma polar re i q. No entanto, utilize esta forma apenas no modo de ângulo Radianos; causa um erro de domínio no modo de ângulo Graus ou Gradianos. |
|
|
exp(Lista1) Þlista Devolve e elevado à potência de cada elemento em Lista1. |
|
|
exp(MatrizQuadrada1) ÞMatrizQuadrada Devolve a matriz exponencial de MatrizQuadrada1. Isto não é o mesmo que calcular e elevado à potência de cada elemento. Para mais informações sobre o método de cálculo, consulte cos(). MatrizQuadrada1 tem de ser diagnolizável. O resultado contém sempre os números de ponto flutuante. |
|
|
Catálogo > |
|
|
exp4lista(Expr, Var) Þlista Examina Expr para equações separadas pela palavra “ Nota: exp4list() não é necessário com os zeros e as funções cZeros() porque devolvem uma lista dos valores das soluções directamente. Pode introduzir esta função através da escrita de exp@>list(...) no teclado. |
|
|
Catálogo > |
|
|
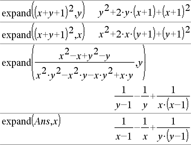
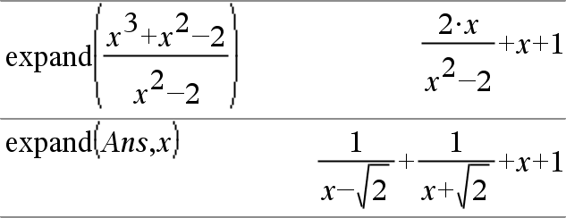
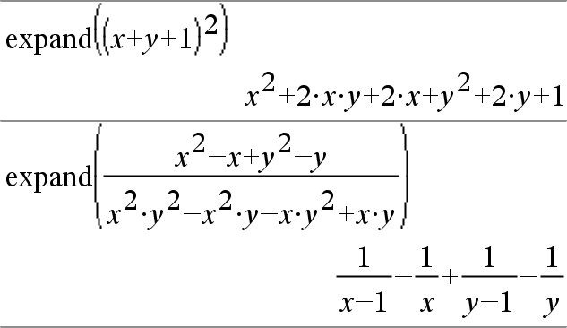
expand(Expr1 [, Var ]) Þexpressão expand(Lista1 [, Var ]) Þlista expand(Matriz1 [, Var ]) Þmatriz expand(Expr1) devolve Expr1 expandido em relação a todas as variáveis. A expansão é uma expansão polinomial para polinómios e a expansão de fracção parcial para expressões racionais. O objectivo de expand() é transformar Expr1 numa soma e/ou diferença de termos simples. Pelo contrário, o objectivo de factor() é transformar Expr1 num produto e/ou quociente de factores simples. |
|
|
expand (Expr1, Var) devolve Expr1 expandido em relação a Var. As potências similares de Var são recolhidas. Os termos e os factores são ordenados com Var como variável principal. Pode existir alguma decomposição de factores incidental ou a expansão dos coeficientes recolhidos. Comparada para omitir Var, esta poupa tempo frequentemente, memória e espaço no ecrã, enquanto torna a expressão mais compreensível. |
|
|
Mesmo quando exista apenas uma variável, a utilização de Var pode tornar a factorização do denominador utilizada para a expansão da fracção parcial mais completa. Sugestão: Para expressões racionais, propFrac() é mais rápida, mas uma alternativa menos extrema para expand(). Nota: Consulte também comDenom() para um numerador expandido sobre um denominador expandido. |
|
|
expand (Expr1, [ Var ]) também distribui potências fraccionárias e logaritmos, independentemente de Var. Para uma distribuição aumentada de potências fraccionárias e logaritmos, os limites das desigualdades podem ser necessários para garantir que alguns factores são não negativos. expand (Expr1, [ Var ]) também distribui valores absolutos, sign(), e exponenciais, independentemente de Var. Nota: Consulte também tExpand() para a soma de ângulos trigonométricos e a expansão de ângulos múltiplos. |
|
|
Catálogo > |
|
|
expr(Cadeia) Þexpressão Devolve a cadeia de caracteres contidos em Cadeia como uma expressão e executa-a imediatamente. |
|
|
Catálogo > |
|
|
ExpReg X, Y [, [Freq][, Categoria, Incluir]] Calcula a regressão exponencialy = a·(b)xa partir das listas X e Y com a frequência Freq. Um resumo dos resultados é guardado na variável stat.results (aqui). Todas as listas têm de ter a mesma dimensão, excepto para Incluir. X e Y são listas de variáveis independentes e dependentes. Freq é uma lista opcional de valores de frequência. Cada elemento em Freq especifica a frequência de ocorrência para cada ponto de dados X e Y correspondente. O valor predefinido é 1. Todos os elementos têm de ser números inteiros 0. Categoria é uma lista de códigos de categorias para os dados X e Y correspondentes. Incluir é uma lista de um ou mais códigos de categorias. Apenas os itens de dados cujo código de categoria está incluído nesta lista são considerados no cálculo. Para mais informações sobre o efeito dos elementos vazios numa lista, consulte “Elementos (nulos) vazios” (aqui). |
|
|
Variável de saída |
Descrição |
|
stat.RegEqn |
Equação de regressão: a·(b)x |
|
stat.a, stat.b |
Parâmetros da regressão |
|
stat.r2 |
Coeficiente de determinação linear para dados transformados |
|
stat.r |
Coeficiente de correlação para dados transformados (x, ln(y)) |
|
stat.Resid |
Resíduos associados ao modelo exponencial |
|
stat.ResidTrans |
Residuais associados ao ajuste linear de dados transformados |
|
stat.XReg |
Lista de pontos de dados na Lista X modificada utilizada na regressão com base em restrições de Freq, Lista de categorias e Incluir categorias |
|
stat.YReg |
Lista de pontos de dados na Lista Y modificada utilizada na regressão com base nas restrições de Freq, Lista de categorias e Incluir categorias |
|
stat.FreqReg |
Lista de frequências correspondentes a stat.XReg e stat.YReg |

