D
|
Katalog > |
|
|
dbd(dato1,dato2)Þverdi Returnerer antallet dager mellom dato1 og dato2 ved hjelp av aktuelt-antall-dager-metoden. dato1 og dato2 kan være tall eller lister av tall innenfor datoområdet på en vanlig kalender. Hvis både dato1 og dato2 er lister, må de være like lange. dato1 og dato2 må ligge mellom årene 1950 og 2049. Du kan legge inn datoene i ett av to formater. Hvor du setter desimalkommaet bestemmer hvilket datoformat du bruker. MM.DDÅÅ (format som vanligvis brukes i USA) DDMM.ÅÅ (format som vanligvis brukes i Europa) |
|
|
Katalog > |
|
|
Verdi 4DDÞverdi Liste1 4 DDÞliste Matrise1 4DDÞmatrise Merk: Du kan sette inn denne operatoren fra datamaskintastaturet ved å skrive @>DD. Returnerer desimalekvivalenten til argumentet uttrykt i grader. Argumentet er et tall, en liste eller matrise som tolkes av vinkelmodus-innstillingen i gradianer, radianer eller grader. |
I Grader-vinkelmodus:
I Gradian-vinkelmodus:
I Radian-vinkelmodus:
|
|
Katalog > |
|
|
Verdi1 4DecimalÞverdi Liste1 4DecimalÞverdi Matrise1 4DecimalÞverdi Merk: Du kan sette inn denne operatoren fra datamaskintastaturet ved å skrive @>Decimal. Viser argumentet i desimalform. Denne operatoren kan kun brukes på slutten av kommandolinjen. |
|
|
Katalog > |
|
|
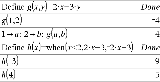
Define Var = Uttrykk Define Funksjon(Param1, Param2, ...) = Uttrykk Definerer variabelen Var eller den egendefinerte funksjonen Funksjon. Parametere, som f.eks. Param1, er plassholdere for å sette argumenter til funksjonen. Når du kaller opp en egendefinert funksjon, må du legge til argumenter (for eksempel verdier eller variabler) som samsvarer med parameterne. Når funksjonen er kalt opp, behandler den Uttrykk ved hjelp av de argumentene som er lagt til. Var og Funksjon kan ikke være navnet på systemvariabel eller innebygget funksjon eller kommando. Merk: Denne type Define er ekvivalent til å utføre uttrykket: uttrykk & Funksjon(Param1,Param2). |
|
|
Define Funksjon(Param1, Param2, ...) = Funk Define Program(Param1, Param2, ...) = Prgm I denne formen kan egendefinert funksjon eller program utføre en blokk med flere utsagn. Blokk kan enten være et enkelt utsagn eller en rekke med utsagn på separate linjer. Blokk kan også inkludere uttrykk og instruksjoner (som If, Then, Else og For). Merk for å legge inn eksemplet: For anvisninger om hvordan du legger inn flerlinjede program- og funksjonsdefinisjoner, se avsnittet Kalkulator i produkthåndboken. |
|
|
Katalog > |
|
|
Define LibPriv Var = Uttrykk Define LibPriv Funksjon(Param1, Param2, ...) = Uttrykk Define LibPriv Funksjon(Param1, Param2, ...) = Funk Define LibPriv Program(Param1, Param2, ...) = Prgm Opererer på samme måte som Define, men definerer en privat biblioteksvariabel, -funksjon eller et -program. Private funksjoner og programmer forekommer ikke i Katalogen. |
|
|
Katalog > |
|
|
Define LibPub Var = Uttrykk Define LibPub Funksjon(Param1, Param2, ...) = Uttrykk Define LibPub Funksjon(Param1, Param2, ...) = Funk Define LibPub Program(Param1, Param2, ...) = Prgm Opererer på samme måte som Define, men definerer en felles (offentlig) biblioteksvariabel, -funksjon eller et -program. Felles (offentlige) funksjoner og programmer forekommer i Katalogen etter at biblioteket er blitt lagret og oppdatert. |
|
|
Se @List(), her. |
|
|
|
|
|
|
|
|
katalog > |
|
|
DelVar Var1[, Var2] [, Var3] ... DelVar Var. Sletter den angitte variabelen eller variabelgruppen fra minnet. Hvis en eller flere av variablene er låst, viser denne kommandoen en feilmelding og sletter kun de ulåste variablene. Se |
|
|
DelVar Var. sletter alle medlemmer av Var. variabelgruppen (for eksempel statistikk stat.nn-resultater eller variabler som er opprettet med LibShortcut()-funksjonen). Prikken (.) i denne formen av DelVar-kommandoen begrenser den til å slette en variabelgruppe. Enkeltvariabelen Var påvirkes ikke. |
|
|
Katalog > |
|
|
Returnerer en liste som har innholdet til Liste1, der alle tomme (åpne) elementer er fjernet. For mer informasjon om tomme elementer, se her. |
|
|
Katalog > |
|||||||
|
det(kvadratMatrise[, Toleranse])Þuttrykk Returnerer determinanten til kvadratMatrise. Alternativt kan ethvert matriseelement behandles som null hvis absoluttverdien er mindre enn Toleranse. Denne toleransen brukes bare hvis matrisen har elementer med flytende desimalpunkt og ikke inneholder noen symbolske variabler som ikke er tildelt noen verdi. Ellers ignoreres Toleranse.
|
|
|
Katalog > |
|
|
diag(Liste)Þmatrise diag(radMatrise)Þmatrise diag(kolonneMatrise)Þmatrise Returnerer en matrise med verdiene i argumentlisten eller matrise i hoveddiagonalen. |
|
|
diag(kvadratMatrise)ÞradMatrise Returnerer en radmatrise som inneholder elementene fra hoveddiagonalen til kvadratMatrise. kvadratMatrise må være kvadrat. |
|
|
Katalog > |
|
|
dim(Liste)Þheltall Returnerer dimensjonen av Liste. |
|
|
dim(Matrise)Þliste Returnerer matrisens dimensjoner som en to-elements liste {rader, kolonner}. |
|
|
dim(Streng)Þheltall Returnerer antallet tegn som er inneholdt i tegnstrengen Streng. |
|
|
Katalog > |
|
|
Disp uttrElStreng1 [, uttrElStreng2] ... Viser argumentene i Calculator-loggen. Agrumentene vises suksessivt, med korte avstander som skille. Hovedsakelig nyttig i programmer og funksjoner for å sikre visning av mellomregninger. Merk for å legge inn eksemplet: For anvisninger om hvordan du legger inn flerlinjede program- og funksjonsdefinisjoner, se avsnittet Kalkulator i produkthåndboken. |
|
|
Katalog > |
|||||
|
DispAt int,expr1 [,expr2 ...] ... DispAt lar deg angi linjen der det angitte uttrykket eller den angitte strengen skal vises på skjermen. Linjenummeret kan angis som et uttrykk. Merk: Linjenummeret gjelder ikke hele skjermbildet, men kun området som følger umiddelbart etter kommandoen/programmet. Denne kommandoen lar deg opprette en instrumentbordlignende visning av data fra programmer der verdien til et uttrykk eller en sensoravlesning oppdateres på samme linje. DispAtog Disp kan brukes i samme program. Merk: Maksimumsantall er definert som 8 ettersom dette tilsvarer et fullt display av linjer på grafregnerens skjermbilde, såfremt linjene ikke inneholder matematiske uttrykk i 2D. Det nøyaktige antallet linjer avhenger av innholdet til de viste dataene.
|
Eksempel
Illustrerende eksempler:
|
Feilmeldinger:
|
Feilmelding |
Beskrivelse |
|---|---|
|
DispAt-linjenummeret må være mellom 1 og 8 |
Uttrykk evaluerer linjenummeret utenfor området 1–8 (til og med) |
|
For få argumenter |
Funksjonen eller kommandoen mangler et eller flere argumenter. |
|
Ingen argumenter |
Det samme som gjeldende Syntaksfeil-dialogboks |
|
For mange argumenter |
Begrens argument. Samme feil som Disp. |
|
Ugyldig datatype |
Det første argumentet må være et tall. |
|
Åpen: DispAt åpen |
Datatypefeilen "Hei alle sammen" iverksettes for den tomme verdien (hvis oppkall er definert) |
|
Katalog > |
|
|
Liste 4DMS Matrise 4DMS Merk: Du kan sette inn denne operatoren fra datamaskintastaturet ved å skrive @>DMS. Tolker argumentet som en vinkel og viser ekvivalenten DMS (GGGGGG¡MM ' SS.ss '')-tallet. Se ¡, ', '' (her) for DMS-format (grader, minutter, sekunder). Merk: 4DMS vil omregne fra radianer til grader når det brukes i radian-modus. Hvis inndata blir fulgt av et grader-symbol ¡, finner det ikke sted noe omregning. Du kan bare bruke 4DMS på slutten av en kommandolinje. |
I Grader-vinkelmodus:
|
|
Katalog > |
|
|
dotP(Liste1, Liste2)Þuttrykk Returnerer “prikk”produktet av to lister. |
|
|
dotP(Vektor1, Vektor2)Þuttrykk Returnerer “prikk”produktet av to vektorer. Begge må være radvektorer, eller begge må være kolonnevektorer. |
|
