R
|
Catalogue > |
|
|
Donne la valeur de l'ordonnée θ - du point de coordonnées Remarque : Donne le résultat en degrés, en grades ou en radians, suivant le mode angulaire utilisé. Remarque : Vous pouvez insérer cette fonction à partir du clavier de l'ordinateur en entrant R@>Ptheta(...). |
En mode Angle en degrés :
|
|
Catalogue > |
|
|
Donne la coordonnée r d'un point de coordonnées rectangulaires (x,y) Remarque : Vous pouvez insérer cette fonction à partir du clavier de l'ordinateur en entrant R@>Pr(...). |
En mode Angle en radians et en mode Auto :
|
|
Catalogue > |
|
|
Convertit l'argument en mesure d'angle en radians. Remarque : Vous pouvez insérer cet opérateur à partir du clavier de l'ordinateur en entrant @>Rad. |
En mode Angle en degrés :
|
|
Catalogue > |
|
|
rand() ⇒ expression rand() donne un nombre aléatoire compris entre 0 et 1. rand(nbreEssais) donne une liste de nombres aléatoires compris entre 0 et 1 pour le nombre d'essais nbreEssais |
Réinitialise le générateur de nombres aléatoires.
|
|
Catalogue > |
|
|
randBin(n, p) ⇒ expression randBin(n, p ) donne un nombre aléatoire tiré d'une distribution binomiale spécifiée randBin(n, p, nbreEssais) donne une liste de nombres aléatoires tirés d'une distribution binomiale spécifiée pour un nombre d'essais nbreEssais. |
|
|
Catalogue > |
|
|
randInt(lowBound,upBound) ⇒ expression randInt(LimiteInf,LimiteSup) donne un entier aléatoire pris entre les limites entières LimiteInf et LimiteSup randInt(LimiteInf,LimiteSup,nbreEssais ) donne une liste d'entiers aléatoires pris entre les limites spécifiées pour un nombre d'essais nbreEssais. |
|
|
Catalogue > |
|
|
randMat(nbreLignes, nbreColonnes) ⇒matrice Donne une matrice d'entiers compris entre -9 et 9 de la dimension spécifiée. Les deux arguments doivent pouvoir être simplifiés en entiers. |
Remarque : Les valeurs de cette matrice changent chaque fois que l'on appuie sur .. |
|
Catalogue > |
|
|
randNorm(μ, σ) ⇒ expression randNorm(μ, σ) Donne un nombre décimal issu de la loi normale spécifiée. Il peut s'agir de tout nombre réel, mais le résultat obtenu sera essentiellement compris dans l'intervalle [μ−3•σ, μ+3•σ]. randNorm(μ, σ, nbreEssais) donne une liste de nombres décimaux tirés d'une distribution normale spécifiée pour un nombre d'essais nbreEssais. |
|
|
Catalogue > |
|
|
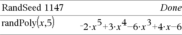
randPoly(Var, Order) ⇒ expression Donne un polynôme aléatoire de la variable Var de degré Ordre spécifié Les coefficients sont des entiers aléatoires situés dans la plage −9 à 9. Le coefficient du terme de plus au degré (Order) sera non nul. Ordre doit être un entier compris entre 0 et 99 |
|
|
Catalogue > |
|
|
randSamp(List,#Trials[,noRepl]) ⇒ liste Donne une liste contenant un échantillon aléatoire de nbreEssais éléments choisis dans Liste avec option de remise (sansRem=0) ou sans option de remise (sansRem=1) L'option par défaut est avec remise. |
|
|
Catalogue > |
|
|
RandSeed Nombre Si Nombre = 0, réinitialise le générateur de nombres aléatoires Si Nombre ≠ 0, il sert à générer deux germes qui sont stockés dans les variables système seed1 et seed2 |
|
|
Catalogue > |
|
|
real(Expr1) ⇒ expression Donne la partie réelle de l'argument.
|
|
|
real(List1) ⇒ liste Donne les parties réelles de tous les éléments. |
|
|
real(Matrix1) ⇒ matrice Donne les parties réelles de tous les éléments. |
|
|
Catalogue > |
|
|
Vecteur ►Rect Remarque : Vous pouvez insérer cet opérateur à partir du clavier de l'ordinateur en entrant @>Rect Affiche Vecteur en coordonnées rectangulaires [x, y, z]. Le vecteur doit être un vecteur ligne ou colonne de dimension 2 ou 3. Remarque : ►Rect est uniquement une instruction d'affichage et non une fonction de conversion. On ne peut l'utiliser qu'à la fin d'une ligne et elle ne modifie pas le contenu du registre ans. Remarque : Voir également ►Polar, ici. |
|
|
complexValue ►Rect Affiche valeurComplexe sous forme rectangulaire (a+bi) La valeurComplexe peut prendre n'importe quelle forme rectangulaire Toutefois, une entrée reiθ génère une erreur en mode Angle en degrés Remarque : Vous devez utiliser des parenthèses pour les entrées en polaire (r∠θ). |
En mode Angle en radians et en modes Auto :
Remarque : Pour taper ∠ à partir du clavier, sélectionnez-le dans la liste des symboles du Catalogue. |
|
Catalogue > |
|||||||
|
ref(Matrix1[, Tol]) ⇒ matrice Donne une réduite de Gauss de la matrice Matrice1. L'argument facultatif Tol permet de considérer comme nul tout élément de la matrice dont la valeur absolue est inférieure à Tol. Cet argument n'est utilisé que si la matrice contient des nombres en virgule flottante et ne contient pas de variables symbolique sans valeur affectée. Dans le cas contraire, Tol est ignoré
N'utilisez pas d'éléments non définis dans Matrice1. L'utilisation d'éléments non définis peut générer des résultats inattendus. Par exemple, si a est un élément non défini dans l'expression suivante, un message d'avertissement s'affiche et le résultat affiché est le suivant :
Un message d'avertissement est affiché car l'élément 1/a n'est pas valide pour a=0. Pour éviter ce problème, vous pouvez stocker préalablement une valeur dans a ou utiliser l'opérateur "sachant que" (« | ») pour substituer une valeur, comme illustré dans l'exemple suivant.
Remarque : Voir également rref(), ici. |
|
|
Catalogue > |
|||||||||||
|
RefreshProbeVars Vous permet d’accéder aux données de capteur à partir de toutes les sondes de capteur connectées à l’aide de votre programme TI-Basic.
|
Par exemple
Remarque : Ceci peut également être utilisé avec le TI-Innovator™ Hub. |
|
Catalogue > |
|
|
Donne le reste de la division euclidienne du premier argument par le deuxième argument, défini par les identités suivantes : remain(x,0) x |
|
|
Par conséquent, remarquez que remain(–x,y)–remain(x,y). Le résultat peut soit être égal à zéro , soit être du même signe que le premier argument. Remarque : Voir aussi mod(), ici. |
|
|
Catalogue > |
|||||||||||||||||||
|
Commande de programmation : Marque une pause dans l'exécution du programme et affiche une boîte de dialogue contenant le message chaîneinvite, ainsi qu'une zone de saisie destinée à la réponse que doit fournir l'utilisateur. Lorsque l'utilisateur saisit une réponse et clique sur OK, le contenu de la zone de saisie est affecté à la variable var. Si l’utilisateur clique sur Annuler, le programme continue sans accepter aucune entrée. Le programme utilise la valeur précédete de la variable var si var était déjà définie. L'argument optionnel IndicAff peut correspondre à toute expression.
|
Définissez un programme : Define request_demo()=Prgm
Exécutez le programme et saisissez une réponse : request_demo()
Après avoir sélectionné OK, le résultat suivant s'affiche : Demi-droite : 6/2 |
||||||||||||||||||
|
L'argument optionnel VarÉtat indique au programme comment déterminer si l'utilisateur a fermé la boîte de dialogue. Notez que VarÉtat nécessite la saisie de l'argument IndicAff.
L'argument de func() permet à un programme de stocker la réponse de l'utilisateur sous la forme d'une définition de fonction. Cette syntaxe équivaut à l'exécution par l'utilisateur de la commande suivante : Definir func(arg1, ...argn) = réponse de l'utilisateur Le programme peut alors utiliser la fonction définie fonc(). La chaîneinvite doit guider l'utilisateur pour la saisie d'une réponse appropriée qui complète la définition de la fonction. Remarque : Vous pouvez utiliser l Pour arrêter un programme qui contient une commande Request dans une boucle infinie :
Remarque : Voir également |
Définissez un programme : Define polynomial()=Prgm
Exécutez le programme et saisissez une réponse : polynomial()
Résultat après avoir saisi x^3+3x+1 et sélectionné OK : Les racines réelles sont : {-0.322185} |
|
Catalogue > |
|||||||||||||
|
Commande de programmation : Fonctionne de façon similaire à la première syntaxe de la commande Request, excepté que la réponse de l'utilisateur est toujours interprétée comme une chaîne de caractères. Par contre, la commande Request interprète la réponse comme une expression, à moins que l'utilisateur ne la saisisse entre guillemets (““). Remarque : Vous pouvez utiliser la commande RequestStr dans un programme créé par l'utilisateur, mais pas dans une fonction. Pour arrêter un programme qui contient une commande
Remarque : Voir également |
Définissez un programme : Define requestStr_demo()=Prgm
Exécutez le programme et saisissez une réponse : requestStr_demo()
Après avoir sélectionné OK, le résultat affiché est le suivant (notez que si l'argument IndicAff a pour valeur 0, le message d'invite et la réponse de l'utilisateur ne s'affichent pas dans l'historique) :
requestStr_demo() La réponse comporte 5 caractères. |
|
Catalogue > |
|
|
Return [Expr] Donne Expr comme résultat de la fonction S'utilise dans les blocs Func...EndFunc. Remarque : Vous pouvez utiliser Return sans argument dans un bloc Prgm...EndPrgm pour quitter un programme Remarque pour la saisie des données de l’exemple : Pour obtenir des instructions sur la saisie des définitions de fonction ou de programme sur plusieurs lignes, consultez la section relative à la calculatrice dans votre guide de produit. |
|
|
Catalogue > |
|
|
right(Liste1[, Num]) ⇒ liste Donne les Nomb éléments les plus à droite de la liste Liste1. Si Nomb est absent, on obtient Liste1. |
|
|
right(chaîneSrce[,Nomb]) ⇒chaîne Donne la chaîne formée par les Nomb caractères les plus à droite de la chaîne de caractères chaîneSrce. Si Nomb est absent, on obtient chaîneSrce. |
|
|
right(Comparaison) ⇒ expression Donne le membre de droite d'une équation ou d'une inéquation. |
|
|
Catalogue > |
|
|
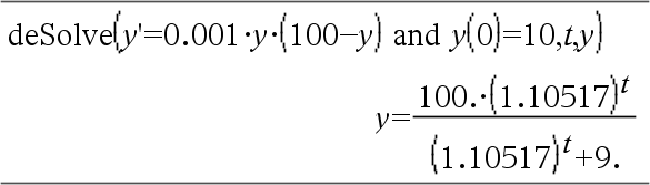
Utilise la méthode de Runge-Kutta pour résoudre le système d'équations. Expr représente la partie droite qui définit l'équation différentielle. SystèmeExpr correspond aux côtés droits qui définissent le système des équations différentielles (en fonction de l'ordre des variables dépendantes de la ListeVarDép). ListeExpr est la liste des côtés droits qui définissent le système des équations différentielles (en fonction de l'ordre des variables dépendantes de la ListeVarDép). Var est la variable indépendante. ListeVarDép est la liste des variables dépendantes. {Var0, MaxVar} est une liste à deux éléments qui indique la fonction à intégrer, comprise entre Var0 et MaxVar. ListeVar0Dép est la liste des valeurs initiales pour les variables dépendantes. Si IncVar est un nombre différent de zéro, signe(IncVar) = signe(MaxVar–Var0) et les solutions sont retournées pour Var0+i*IncVar pour tout i=0,1,2,… tel que Var0+i*IncVar soit dans [var0,MaxVar] (il est possible qu'il n'existe pas de solution en MaxVar). si IncVar est un nombre égal à zéro, les solutions sont retournées aux valeurs Var "Runge-Kutta". tolErr correspond à la tolérance d'erreur (valeur par défaut 0,001). |
Équation différentielle : y'=0.001*y*(100-y) et y(0)=10 Pour afficher le résultat entier, appuyez sur 5, puis utilisez les touches 7 et 8 pour déplacer le curseur. Même équation avec TolErr définie à 1.E–6 Comparez le résultat ci-dessus avec la solution exacte CAS obtenue en utilisant deSolve() et seqGen() :
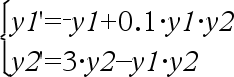
Système d'équations :
avec y1(0)=2 et y2(0)=5
|
|
Catalogue > |
|
|
root(Expr) ⇒ racine
root(Expr1, Expr2) renvoie la racine Expr2-ième de Expr1. Expr1 peut être un nombre réel ou complexe en virgule flottante, un entier ou une constante rationnelle complexe, ou une expression symbolique générale Remarque : Voir aussi Modèle Racine n-ième, ici. |
|
|
Catalogue > |
|
|
rotate(Entier1[,NbreRotations]) ⇒ entier Permute les bits de la représentation binaire d'un entier. Vous pouvez saisir Entier1 dans un système de numération quelconque ; il est converti automatiquement en une forme binaire 64 bits signée. Si Entier1 est trop important pour être codé, il est ramené à l'aide d'une congruence dans la plage appropriée Pour plus d’informations, consultez la section ►Base2, ici. |
En mode base Bin :
Pour afficher le résultat entier, appuyez sur 5, puis utilisez les touches 7 et 8 pour déplacer le curseur. |
|
Si nbreRotations est positif, la permutation circulaire s'effectue vers la gauche Si nbreRotations est négatif, la permutation circulaire s'effectue vers la droite La valeur par défaut est −1 (permutation circulation de un bit vers la droite) Par exemple, dans une permutation circulaire vers la droite : |
En mode base Hex :
|
|
Chaque bit est permuté vers la droite. 0b00000000000001111010110000110101 Le bit le plus à droite passe à la position la plus à gauche. donne : 0b10000000000000111101011000011010 Le résultat s'affiche suivant le mode Base utilisé. |
Important : Pour une entrée binaire ou hexadécimale, vous devez utiliser respectivement le préfixe 0b ou 0h (zéro, pas la lettre O). |
|
rotate(Liste1[,NbreRotations]) ⇒ liste Donne une copie de Liste1 dont les éléments ont été permutés circulairement vers la gauche ou vers la droite de nbreRotations éléments Ne modifie en rien Liste1 Si nbreRotations est positif, la permutation circulaire s'effectue vers la gauche Si nbreRotations est négatif, la permutation circulaire s'effectue vers la droite. La valeur par défaut est −1 (permutation circulation de un bit vers la droite) |
En mode base Dec :
|
|
rotate(Chaîne1[,nbreRotations]) ⇒ chaîne Donne une copie de Chaîne1 dont les caractères ont été permutés circulairement vers la gauche ou vers la droite de nbreRotations caractères. Ne modifie en rien Chaîne1 Si nbreRotations est positif, la permutation circulaire s'effectue vers la gauche Si nbreRotations est négatif, la permutation circulaire s'effectue vers la droite La valeur par défaut est −1 (permutation vers la droite d'un caractère). |
|
|
Catalogue > |
|
|
round(Expr1[, chiffres]) ⇒ expression Arrondit l'argument au nombre de chiffres n spécifié après la virgule. chiffres doit être un entier compris dans la plage 0–12. Si chiffres esf absent, affiche l’argument arrondi à 12 chiffres significatifs. Remarque : Le mode d'affichage des chiffres peut affecter le résultat affiché. |
|
|
round(List1[, chiffres]) ⇒ liste Donne la liste des éléments arrondis au nombre de chiffres spécifié. |
|
|
round(Matrice1[, chiffres]) ⇒ matrice Donne une matrice des éléments arrondis au nombre de chiffres n spécifié.. |
|
|
Catalogue > |
|
|
rowAdd(Matrice1, rIndex1, rIndex2) ⇒ matrice Donne une copie de Matrice1 obtenue en remplaçant dans la matrice la ligne IndexL2 par la somme des lignes IndexL1 et IndexL2 |
|
|
Catalogue > |
|
|
rowDim(Matrix) ⇒ expression Donne le nombre de lignes de Matrice. Remarque : Voir aussi colDim(), ici. |
|
|
Catalogue > |
|
|
rowNorm(Matrice) ⇒ expression Donne le maximum des sommes des valeurs absolues des éléments de chaque ligne de Matrice. Remarque : La matrice utilisée ne doit contenir que des éléments numériques. Voir aussi colNorm() ici. |
|
|
Catalogue > |
|
|
rowSwap(Matrice1, IndexL1, IndexL2) ⇒ matrice Donne la matrice Matrice1 obtenue en échangeant les lignes IndexL1 et IndexL2. |
|
|
Catalogue > |
|||||||
|
rref(Matrice1[, Tol]) ⇒ matrice Donne la réduite de Gauss-Jordan de Matrice1. |
|
||||||
|
L'argument facultatif Tol permet de considérer comme nul tout élément de la matrice dont la valeur absolue est inférieure à Tol. Cet argument n'est utilisé que si la matrice contient des nombres en virgule flottante et ne contient pas de variables symbolique sans valeur affectée. Dans le cas contraire, Tol est ignoré
Remarque : Voir aussi ref() ici. |
|



