Modèles d'expression
Les modèles d'expression facilitent la saisie d'expressions mathématiques en notation standard. Lorsque vous utilisez un modèle, celui-ci s'affiche sur la ligne de saisie, les petits carrés correspondants aux éléments que vous pouvez saisir. Un curseur identifie l'élément que vous pouvez saisir.
Utilisez les touches fléchées ou appuyez sur e pour déplacer le curseur sur chaque élément, puis tapez la valeur ou l'expression correspondant à chaque élément. Appuyez sur · ou /· pour calculer l'expression.
|
Touches /p |
|
|
|
Exemple :
|
|
Touche l |
|
|
Remarque : Tapez la première valeur, appuyez sur l, puis entrez l'exposant. Pour ramener le curseur sur la ligne de base, appuyez sur la flèche droite (¢). Remarque : Voir aussi ^ (puissance), ici. |
Exemple :
|
|
Touches /q |
|
|
|
Exemple :
|
|
Touches /l |
|
|
|
Exemple :
|
|
Touches u |
|
|
La base du logarithme népérien e élevée à une puissance Remarque : Voir aussi e^(), ici. |
Exemple :
|
|
Touches /s |
|
|
Calcule le logarithme selon la base spécifiée. Par défaut la base est 10, dans ce cas ne spécifiez pas de base. Remarque : Voir aussi log(), ici. |
Exemple :
|
|
Catalogue > |
|
|
Permet de créer des expressions et des conditions pour une fonction définie par deux morceaux.‑ Pour ajouter un morceau supplémentaire, cliquez dans le modèle et appliquez-le de nouveau. Remarque : Voir aussi piecewise(), ici. |
Exemple :
|
|
Catalogue > |
|
|
Permet de créer des expressions et des conditions pour une fonction définie par n‑ morceaux. Le système vous invite à définir n.
Remarque : Voir aussi piecewise(), ici. |
Exemple : Voir l'exemple donné pour le modèle Fonction définie par morceaux (2 morceaux). |
|
Catalogue > |
|
|
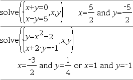
Crée une système de deux équations Remarque : Voir aussi system(), ici. |
Exemple :
|
|
Catalogue > |
|
|
Permet de créer un système de N
Remarque : Voir aussi system(), ici. |
Exemple : Voir l'exemple donné pour le modèle Système de 2 équations. |
|
Catalogue > |
|
|
Remarque : Voir aussi abs(), ici. |
Exemple :
|
|
Catalogue > |
|
|
Permet d'entrer des angles en utilisant le format dd°mm’ss.ss’’, où dd correspond au nombre de degrés décimaux, mm au nombre de minutes et ss.ss au nombre de secondes. |
Exemple :
|
|
Catalogue > |
|
|
Crée une matrice de type 2 x 2. |
Exemple :
|
|
Catalogue > |
|
|
|
Exemple :
|
|
Catalogue > |
|
|
|
Exemple :
|
|
Catalogue > |
|
|
Le modèle s'affiche après que vous ayez saisi le nombre de lignes et de colonnes.
Remarque : si vous créez une matrice dotée de nombreuses lignes et colonnes, son affichage peut prendre quelques minutes. |
Exemple :
|
|
Catalogue > |
|
|
Remarque : voir aussi G() (sumSeq), ici. |
Exemple :
|
|
Catalogue > |
|
|
Remarque : Voir aussi P() (prodSeq), ici. |
Exemple :
|
|
Catalogue > |
|
|
Vous pouvez utiliser ce modèle pour calculer la dérivée première numérique en un point, à l'aide de méthodes de différenciation automatique. Remarque : voir aussi d() (dérivée), ici. |
Par exemple :
|
|
Catalogue > |
|
|
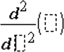
Vous pouvez utiliser ce modèle pour calculer la dérivée seconde numérique en un point, à l'aide de méthodes de différenciation automatique. Remarque : voir aussi d() (dérivée), ici. |
Par exemple :
|
|
Catalogue > |
|
|
Vous pouvez utiliser ce modèle pour calculer l'intégrale définie numérique, en utilisant la même méthode que nInt().
|
Exemple :
|




.