D
|
Katalog > |
|
|
dbd(Datum1,Datum2)ÞWert Zählt die tatsächlichen Tage und gibt die Anzahl der Tage zwischen Datum1 und Datum2 zurück. Datum1 und Datum2 können Zahlen oder Zahlenlisten innerhalb des Datumsbereichs des Standardkalenders sein. Wenn sowohl Datum1 als auch Datum2 Listen sind, müssen sie dieselbe Länge haben. Datum1 und Datum2 müssen innerhalb der Jahre 1950 und 2049 liegen. Sie können Datumseingaben in zwei Formaten vornehmen. Die Datumsformate unterscheiden sich in der Anordnung der Dezimalstellen. MM.TTJJ (üblicherweise in den USA verwendetes Format) TTMM.JJ (üblicherweise in Europa verwendetes Format) |
|
|
Katalog > |
|
|
Zahl 4DDÞWert Liste1 4DDÞListe Matrix1 4DDÞMatrix Hinweis: Sie können diesen Operator über die Tastatur Ihres Computers eingeben, indem Sie @>DD eintippen. Gibt das Dezimaläquivalent des Arguments zurück. Das Argument ist eine Zahl, eine Liste oder eine Matrix, die gemäß der Moduseinstellung als Neugrad, Bogenmaß oder Grad interpretiert wird. |
Im Grad-Modus:
Im Neugrad-Modus:
Im Bogenmaß-Modus:
|
|
Katalog > |
|
|
Liste1 4DecimalÞWert Matrix1 4DecimalÞWert Hinweis: Sie können diesen Operator über die Tastatur Ihres Computers eingeben, indem Sie @>Decimal eintippen. Zeigt das Argument in Dezimalform an. Dieser Operator kann nur am Ende der Eingabezeile verwendet werden. |
|
|
Katalog > |
|
|
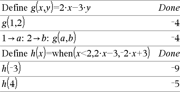
Define Var = Expression Define Function(Param1, Param2, ...) = Expression Definiert die Variable Var oder die benutzerdefinierte Funktion Function. Parameter wie z.B. Param1 enthalten Platzhalter zur Übergabe von Argumenten an die Funktion. Beim Aufrufen benutzerdefinierter Funktionen müssen Sie Argumente angeben (z.B. Werte oder Variablen), die zu den Parametern passen. Beim Aufruf wertet die Funktion Ausdruck (Expression) unter Verwendung der übergebenen Parameter aus. Var und Funktion (Function) dürfen nicht der Name einer Systemvariablen oder einer integrierten Funktion / eines integrierten Befehls sein. Hinweis: Diese Form von Definiere (Define) ist gleichwertig mit der Ausführung folgenden Ausdrucks: expression & Function(Param1,Param2). |
|
|
Define Function(Param1, Param2, ...) = Func
Define Program(Param1, Param2, ...) = Prgm In dieser Form kann die benutzerdefinierte Funktion bzw. das benutzerdefinierte Programm einen Block mit mehreren Anweisungen ausführen. Block kann eine einzelne Anweisung oder eine Serie von Anweisungen in separaten Zeilen sein. Block kann auch Ausdrücke und Anweisungen enthalten (wie If, Then, Else und For). Hinweis zum Eingeben des Beispiels: Anweisungen für die Eingabe von mehrzeiligen Programm- und Funktionsdefinitionen finden Sie im Abschnitt „Calculator“ des Produkthandbuchs. Hinweis: Siehe auch Definiere LibPriv (Define LibPriv), hier, und Definiere LibPub (Define LibPub), hier. |
|
|
Katalog > |
|
|
Define LibPriv Var = Expression Define LibPriv Function(Param1, Param2, ...) = Expression Define LibPriv Function(Param1, Param2, ...) = Func Define LibPriv Program(Param1, Param2, ...) = Prgm Funktioniert wie Define, definiert jedoch eine Variable, eine Funktion oder ein Programm für eine private Bibliothek. Private Funktionen und Programme werden im Katalog nicht angezeigt. Hinweis: Siehe auch Definiere (Define), hier, und Definiere LibPub (Define LibPub), hier. |
|
|
Katalog > |
|
|
Define LibPub Var = Expression Define LibPub Function(Param1, Param2, ...) = Expression Define LibPub Function(Param1, Param2, ...) = Func Define LibPub Program(Param1, Param2, ...) = Prgm Funktioniert wie Definiere (Define), definiert jedoch eine Variable, eine Funktion oder ein Programm für eine öffentliche Bibliothek. Öffentliche Funktionen und Programme werden im Katalog angezeigt, nachdem die Bibliothek gespeichert und aktualisiert wurde. Hinweis: Siehe auch Definiere (Define), hier, und Definiere LibPriv (Define LibPriv), hier. |
|
|
Siehe @List(), hier. |
|
|
|
|
|
|
|
|
Katalog > |
|
|
DelVar Var1[, Var2] [, Var3] ... DelVar Var. Löscht die angegebene Variable oder Variablengruppe im Speicher. Wenn eine oder mehrere Variablen gesperrt sind, wird bei diesem Befehl eine Fehlermeldung angezeigt und es werden nur die nicht gesperrten Variablen gelöscht. Siehe |
|
|
DelVar Var. löscht alle Mitglieder der Variablengruppe Var. (wie die Statistikergebnisse stat.nn oder Variablen, die mit der Funktion LibShortcut() erstellt wurden). Der Punkt (.) in dieser Form des Befehls DelVar begrenzt ihn auf das Löschen einer Variablengruppe; die einfache Variable Var ist nicht davon betroffen. |
|
|
Katalog > |
|
|
Gibt eine Liste mit dem Inhalt von Liste1 aus, wobei alle leeren (ungültigen) Elemente entfernt sind. Weitere Informationen zu leeren Elementen finden Sie (hier). |
|
|
Katalog > |
|||||||
|
det(Quadratmatrix[, Toleranz])ÞAusdruck Gibt die Determinante von Quadratmatrix zurück. Jedes Matrixelement wird wahlweise als 0 behandelt, wenn sein Absolutwert kleiner als Toleranz ist. Diese Toleranz wird nur dann verwendet, wenn die Matrix Fließkommaelemente aufweist und keinerlei symbolische Variablen ohne zugewiesene Werte enthält. Anderenfalls wird Toleranz ignoriert.
|
|
|
Katalog > |
|
|
diag(Liste)ÞMatrix diag(Zeilenmatrix)ÞMatrix diag(Spaltenmatrix)ÞMatrix Gibt eine Matrix mit den Werten der Argumentliste oder der Matrix in der Hauptdiagonalen zurück. |
|
|
diag(Quadratmatrix)ÞZeilenmatrix Gibt eine Zeilenmatrix zurück, die die Elemente der Hauptdiagonalen von Quadratmatrix enthält. Quadratmatrix muss eine quadratische Matrix sein. |
|
|
Katalog > |
|
|
dim(Liste)ÞGanzzahl Gibt die Dimension von Liste zurück. |
|
|
dim(Matrix)ÞListe Gibt die Dimensionen von Matrix als Liste mit zwei Elementen zurück {Zeilen, Spalten}. |
|
|
dim(String)ÞGanzzahl Gibt die Anzahl der in der Zeichenkette String enthaltenen Zeichen zurück. |
|
|
Katalog > |
|
|
Disp AusdruckOderString1 [, AusdruckOderString2] ... Zeigt die Argumente im Calculator Protokoll an. Die Argumente werden hintereinander angezeigt, dabei werden Leerzeichen zur Trennung verwendet. Dies ist vor allem bei Programmen und Funktionen nützlich, um die Anzeige von Zwischenberechnungen zu gewährleisten. Hinweis zum Eingeben des Beispiels: Anweisungen für die Eingabe von mehrzeiligen Programm- und Funktionsdefinitionen finden Sie im Abschnitt „Calculator“ des Produkthandbuchs. |
|
|
Katalog > |
|||||
|
DispAt int,Term1 [,Term2 …] … Mit DispAt können Sie die Zeile festlegen, in der der angegebene Term oder die angegebene Zeichenkette auf dem Bildschirm angezeigt wird. Die Zeilennummer kann als Term angegeben werden. Beachten Sie, dass die Zeilennummer nicht für den gesamten Bildschirm gedacht ist, sondern für den Bereich unmittelbar nach dem Befehl/Programm. Dieser Befehl ermöglicht die dashboard-ähnliche Ausgabe von Programmen, bei denen der Wert eines Terms oder von einer Sensormessung in der gleichen Zeile aktualisiert wird. DispAtund Disp können im gleichen Programm verwendet werden. Hinweis: Die maximale Anzahl ist auf 8 eingestellt, da diese Zahl einem Bildschirm voller Zeilen auf dem Handheld-Bildschirm entspricht – soweit die Zeilen über keine mathematischen 2D-Ausdrücke verfügen. Die genaue Anzahl der Zeilen hängt vom Inhalt der angezeigten Informationen ab.
|
Beispiel
Erläuternde Beispiele:
|
Fehlermeldungen:
|
Fehlermeldung |
Beschreibung |
|---|---|
|
DispAt Zeilennummer muss zwischen 1 und 8 liegen |
Term bewertet die Zeilennummer außerhalb des Bereichs 1-8 (inklusive) |
|
Zu wenig Argumente |
Der Funktion oder dem Befehl fehlen ein oder mehr Argumente. |
|
Keine Argumente |
Entspricht dem aktuellen Dialog 'Syntaxfehler' |
|
Zu viele Argumente |
Argument eingrenzen. Gleicher Fehler wie Disp. |
|
Ungültiger Datentyp |
Erstes Argument muss eine Zahl sein. |
|
Ungültig: DispAt ungültig |
„Hallo Welt“ Datentypfehler für die Lücke wird verworfen (falls die Rückmeldung definiert ist) |
|
Katalog > |
|
|
Liste 4DMS Matrix 4DMS Hinweis: Sie können diesen Operator über die Tastatur Ihres Computers eingeben, indem Sie @>DMS eintippen. Interpretiert den Parameter als Winkel und zeigt die entsprechenden GMS-Werte (engl. DMS) an (GGGGGG¡MM'SS.ss''). Siehe ¡, ', '' (hier) zur Erläuterung des DMS-Formats (Grad, Minuten, Sekunden). Hinweis: 4DMS wandelt Bogenmaß in Grad um, wenn es im Bogenmaß-Modus benutzt wird. Folgt auf die Eingabe das Grad-Symbol ¡, wird keine Umwandlung vorgenommen. Sie können 4DMS nur am Ende einer Eingabezeile benutzen. |
Im Grad-Modus:
|
|
Katalog > |
|
|
dotP(Liste1, Liste2)ÞAusdruck Gibt das Skalarprodukt zweier Listen zurück. |
|
|
dotP(Vektor1, Vektor2)ÞAusdruck Gibt das Skalarprodukt zweier Vektoren zurück. Es müssen beide Zeilenvektoren oder beide Spaltenvektoren sein. |
|
