G
|
Katalog > |
|
|
gcd(Værdi1, Værdi2)Þudtryk Returnerer den største fælles divisor af to argumenter. Gcd for to brøker er gcd af deres tællere divideret med lcm af deres nævnere. I Auto eller tilnærmet- tilstand er gcd af flydende decimalbrøker 1.0. |
|
|
gcd(Liste1, Liste2)Þliste Returnerer de største fælles divisorer af de tilsvarende elementer i Liste1 og Liste2. |
|
|
gcd(Matrix1, Matrix2)Þmatrix Returnerer de største fælles divisorer af de tilsvarende elementer i Matrix1 og Matrix2. |
|
|
Katalog > |
|
|
geomCdf(p,nedreGrænse,øvreGrænse)Þtal, hvis nedreGrænse og øvreGrænse er tal, liste, hvis nedreGrænse og øvreGrænse er lister geomCdf(p,øvreGrænse)for P(1{X{øvreGrænse)Þtal hvis øvreGrænse er et tal, liste, hvis øvreGrænse er en liste Beregner den kumulerede geometriske sandsynlighed fra nedreGrænse til øvreGrænse med den angivne sandsynlighed for succes p. For P(X { øvreGrænse), sæt nedreGrænse= 1. |
|
|
Katalog > |
|
|
geomPdf(p,XVærdi)Þtal hvis XVærdi er et tal, liste hvis XVærdi er en liste Beregner sandsynligheden i XVærdi, nummeret på den forsøgsgang hvor den første succes forekommer, for den diskrete geometrisk distribution med den angivne sandsynlighed for succes, p. |
|
|
Hub-menu |
|||||||
|
Programmeringskommando: Henter en værdi fra en tilsluttet TI-Innovator™ Hub og tildeler værdien til den variable var. Der skal anmodes om værdien:
— eller —
Implicit reduktion finder sted. For eksempel fortolkes en modtaget streng på "123" som en numerisk værdi. Brug GetStr i stedet for Get for at bevare strengen. |
Eksempel: Anmod om den nuværende værdi for hubbens indbyggede lysniveausensor. Brug Get for at modtage værdien, og tildel den til den variable lightval.
Indlejr READ-anmodningen med Get-kommandoen.
|
||||||
|
Hvis du inkluderer det valgfrie argument statusVar, tildeles det en værdi baseret på operationens succes. En værdi på nul betyder, at ingen data blev modtaget. |
|
||||||
|
I den anden syntaks lader argumentet func() et program gemme den modtagne streng som en funktionsdefinition. Denne syntaks virker, ligesom hvis programmet udførte kommandoen: Define func(arg1, ...argn) = modtaget streng Så kan programmet bruge den definerede funktion func(). Bemærk: Du kan bruge kommandoen Get i et brugerdefineret program, men ikke i en funktion. |
|
Katalog > |
|
|
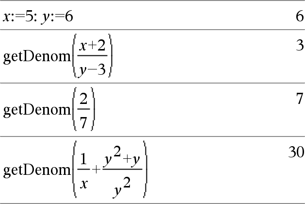
getDenom(Brøk1)Þværdi Transformerer argumentet til et udtryk med en forkortet fællesnævner og returnerer derefter dens nævner. |
|
|
Katalog > |
|||||||
|
getKey([0|1]) ⇒ returnString Beskrivelse:getKey() - tillader et TI-Basic-program at få tastaturinput - håndholdt, stationær og emuleret på stationær. Eksempel:
|
Eksempel:
|
Håndtering af tasttryk:
|
Håndholdte enheder/emulatortast |
Skrivebord |
Returværdi |
|---|---|---|
|
Esc |
Esc |
"esc" |
|
Touchpad - klik øverst |
n/a |
"op" |
|
Til |
n/a |
”til top” |
|
|
|
|
|
Scratchapps |
n/a |
”kladde” |
|
Touchpad - venstreklik |
n/a |
”venstre” |
|
Touchpad - klik i midten |
n/a |
”midten” |
|
Touchpad - højreklik |
n/a |
”højre” |
|
Dok |
n/a |
”dok” |
|
|
|
|
|
Tabulator |
Tabulator |
”tabulator” |
|
Touchpad - klik nederst |
Ned pil |
”ned” |
|
menu |
n/a |
”menu” |
|
|
|
|
|
Ctrl |
Ctrl |
ingen retur |
|
Skift |
Skift |
ingen retur |
|
Var |
n/a |
”var” |
|
Del |
n/a |
"del" |
|
|
|
|
|
= |
= |
"=" |
|
trigonometri |
n/a |
”trigonometri” |
|
0 til 9 |
0-9 |
"0" ... "9" |
|
Skabeloner |
n/a |
”skabelon” |
|
Katalog |
n/a |
”kat” |
|
|
|
|
|
^ |
^ |
"^" |
|
X^2 |
n/a |
”kvadrat” |
|
/ (divisionstast) |
/ |
"/" |
|
* (gangetast) |
* |
"*" |
|
e^x |
n/a |
”eksp” |
|
10^x |
n/a |
"10potens" |
|
+ |
+ |
"+" |
|
- |
- |
"-" |
|
|
|
|
|
( |
( |
"(" |
|
) |
) |
")" |
|
. |
. |
"." |
|
(-) |
n/a |
”-” (negativ fortegn) |
|
Indtast |
Indtast |
”indtast” |
|
|
|
|
|
ee |
n/a |
”E” (eksponentiel notation E) |
|
a - z |
a - z |
alpha = bogstav trykket ned (lille bogstav) ("a" - "z") |
|
skift a - z |
skift a - z |
alpha = bogstav trykket ned "A" - "Z" |
|
|
|
Bemærk: ctrl-shift fungerer som lock-caps |
|
?! |
n/a |
"?!" |
|
|
|
|
|
pi |
n/a |
”pi” |
|
Flag |
n/a |
ingen retur |
|
|
|
|
|
, |
, |
"," |
|
Return |
n/a |
”retur” |
|
mellemrum |
mellemrum |
” ” (mellemrum) |
|
|
|
|
|
Utilgængelig |
Specielle tegntaster som @,!^, osv. |
Tegnet returneres |
|
n/a |
Funktionstaster |
Ingen returnerede tegn |
|
n/a |
Specielle skrivebordskontroltaster |
Ingen returnerede tegn |
|
Utilgængelig |
Andre skrivebordstaster, som ikke er tilgængelige på beregneren, når getkey () venter på et tastetryk. ({, },;, :, ...) |
Samme tegn du får i noter (ikke i et matematik-felt) |
Bemærk: Det er vigtigt at være opmærksom på, at tilstedeværelsen af getKey() i et program ændrer, hvordan visse hændelser, bliver håndteret af systemet. Nogle af disse er beskrevet nedenfor.
Afslut program og håndter hændelse - Præcis som hvis en bruger ville afbryde et program ved at trykke på tasten ON
"Support" nedenfor betyder - system fungerer som forventet - program kører stadig.
|
Hændelse |
Enhed |
Skrivebord - TI-Nspire™ Student Software |
|---|---|---|
|
Hurtigsvar |
Afslut program, håndter hændelse |
Samme som den håndholdte ( |
|
Fjern fil mgmt
(Inkl. afsendelse af ”exit tryk 2 test” fil fra en anden håndholdt eller skrivebordshåndholdt) |
Afslut program, håndter hændelse |
Samme som den håndholdte. ( |
|
Afslut klasse |
Afslut program, håndter hændelse |
Support ( |
|
Hændelse |
Enhed |
Skrivebords - TI-Nspire™ alle versioner |
|
|
Support - kan med held udstede kommandoer til |
Samme som den håndholdte |
|
Katalog > |
|
|
getLangInfo()Þstreng Returnerer en streng, som svarer til det korte navn af det aktuelle aktive sprog. Man kan, for eksempel, bruge det i et program eller funktion til at bestemme det aktuelle sprog. Engelsk = “en” |
|
|
Catalog > |
|
|
Returnerer den aktuelle låste/oplåste tilstand på variablen Var. værdi =0: Var er ulåst eller findes ikke. værdi =1: Var er låst og kan ikke ændres eller slettes. |
|
|
Katalog > |
|
|
getMode(TilstandNavnHeltal)Þværdi getMode(0)Þliste getMode(TilstandNavnHeltal) returnerer en værdi, der repræsenterer den aktuelle indstilling for tilstanden TilstandNavnHeltal. getMode(0) returnerer en liste, der indeholder talpar. Hvert par består af et tilstandsheltal og et indstillingsheltal. Se tabellen nedenfor for en oversigt over tilstande og deres indstillinger. Hvis du gemmer indstillingerne med getMode(0) & var, kan du anvende setMode(var) i en funktion eller et program for midlertidigt at gendanne indstillingerne under eksekveringen af funktionen eller programmet. Se setMode(), her. |
|
|
Tilstands- navn |
Tilstands- heltal |
Indstillingsheltal |
|
Viste cifre |
1 |
1=Float, 2=Float1, 3=Float2, 4=Float3, 5=Float4, 6=Float5, 7=Float6, 8=Float7, 9=Float8, 10=Float9, 11=Float10, 12=Float11, 13=Float12, 14=Fix0, 15=Fix1, 16=Fix2, 17=Fix3, 18=Fix4, 19=Fix5, 20=Fix6, 21=Fix7, 22=Fix8, 23=Fix9, 24=Fix10, 25=Fix11, 26=Fix12 |
|
Vinkel |
2 |
1=Radian, 2=Grader, 3=Gradian |
|
Eksponentielt format |
3 |
1=Normal, 2=Videnskabelig, 3=Teknisk |
|
Reel eller kompleks |
4 |
1=Reel, 2=Rektangulær, 3=Polær |
|
Auto eller tilnærmet |
5 |
1=Auto, 2=Tilnærmet |
|
Vektorformat |
6 |
1=Rektangulær, 2=Cylindrisk, 3=Sfærisk |
|
Talsystem |
7 |
1=Decimal, 2=Hex, 3=Binær |
|
Katalog > |
|
|
getNum(Brøk1)Þværdi Transformerer argumentet til et udtryk med en forkortet fællesnævner og returnerer derefter dens tæller. |
|
|
Hub-menu |
|
|
Programmeringskommando: Fungerer identisk med kommandoen Get, bortset fra at den hentede værdi altid fortolkes som en streng. I modsætning hertil fortolker kommandoen Get svarene som et udtryk, medmindre det er omsluttet af citationstegn (""). |
Se Get for eksempler. |
|
Katalog > |
|
|
Returnerer en streng, som angiver datatypen for variablen var. Hvis var ikke er defineret, returneres strengen "NONE". |
|
|
Katalog > |
|
|
getVarInfo()Þmatrix eller streng getVarInfo(BibNavnStreng) Þmatrix eller streng getVarInfo() returnerer en matrix med informationer (variabelnavn, type, bibliotekets tilgængelighed og låst/ulåst-status) for alle variable og biblioteksobjekter defineret i den aktuelle opgave. Hvis der ikke er defineret nogen variable, returnerer getVarInfo() strengen "NONE" getVarInfo(Biblioteksnavnestreng)returnerer en matrix med oplysninger for alle biblioteksobjekter, der er defineret i biblioteket BibNavnStreng. BibNavnStreng skal være en streng (tekst omsluttet af citationstegn) eller en strengvariabel. Hvis biblioteket BibNavnStreng ikke findes, opstår der en fejl. |
|
|
Bemærk eksemplet til venstre, i hvilket resultatet af getVarInfo() er tilknyttet til variabel vs. Forsøg på at vise række 2 eller række 3 af vs returnerer en “ugyldig liste eller matrix” fejl, fordi mindst et af elementerne i disse rækker (variable b, f.eks) reevaluerer til en matrix. Denne fejl kan også opstå, når Ans bruges til at evaluere et getVarInfo() resultat. Systemet giver den ovenfor nævnte fejl, fordi den aktuelle version af softwaren ikke understøtter en generaliseret matrixstruktur, hvor et element i en matrix enten kan være en matrix eller en liste. |
|
|
Katalog > |
|
|
Goto etiketnavn Overfører kontrol til etiketten etiketnavn. Etiketnavn skal defineres i den samme funktion med en Lbl-kommando. Bemærk indtastning af eksemplet: For instruktioner til at indtaste programmer over flere linjer og definering af funktioner se Beregninger-afsnittet i din produktvejledning. |
|
|
Katalog > |
|
|
Udtr1 4 GradÞudtryk Konverterer Udtr1 til vinkelmål i nygrader. Bemærk: Du kan indsætte denne operator fra computerens tastatur ved at skrive @>Grad. |
I vinkeltilstanden Grader:
I vinkeltilstanden Radian:
|
