D
|
Katalog > |
|
|
dbd(dato1,dato2)Þværdi Returnerer antallet af dage mellem dato1 og dato2 med tælling af faktiske dage. dato1 og dato2 kan være tal eller lister med tal inden for området af datoer i en standardkalender. Hvis både dato1 og dato2 er lister, skal de have samme længde. dato1 og dato2 skal ligge mellem årene 1950 til 2049. Du kan indtaste datoerne i to formater. Placeringen af decimaler er forskellen mellem datoformaterne. MM.DDÅÅ (almindeligt format i USA) DDMM.ÅÅ (almindeligt format i Europa) |
|
|
Katalog > |
|
|
Tal 4DDÞværdi Liste1 4DDÞliste Matrix1 4DDÞmatrix Bemærk: Du kan indsætte denne operator fra computerens tastatur ved at skrive @>DD. Returnerer den decimale ækvivalent til argumentet udtrykt i grader. Argumentet er et tal, en liste eller matrix, som efter den indstillede tilstand af Vinkel tolkes i grader, nygrader eller radianer. |
I vinkeltilstanden Grader:
I vinkeltilstanden Nygrader:
I vinkeltilstanden Radian:
|
|
Katalog > |
|
|
Liste1 4DecimalÞværdi Matrix1 4DecimalÞværdi Bemærk: Du kan indsætte denne operator fra computerens tastatur ved at skrive @>Decimal. Viser argumentet i decimal form. Denne operator kan kun anvendes ved slutningen af indtastningslinjen. |
|
|
Katalog > |
|
|
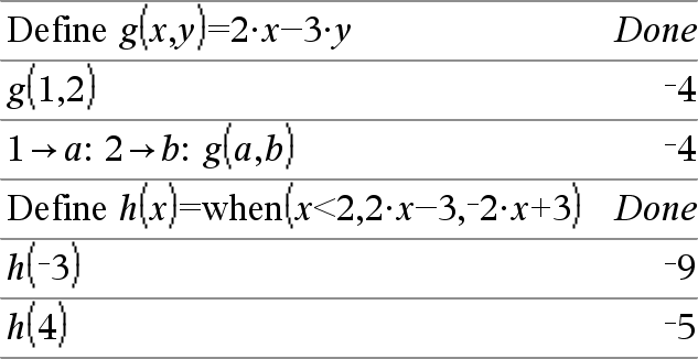
Define Var = Udtryk Define Funktion(Param1, Param2, ...) = Udtryk Definerer variablen Var eller den brugerdefinerede funktion Funktion. Parametre som Param1 er pladsholdere til at sætte argumenter ind i funktionen. Ved kald af en brugerdefineret funktion skal du angive argumenter (for eksempel værdier eller variable), der svarer til parametrene. Når den kaldes, evaluerer funktionen Udtryk med de angivne argumenter. Var og Funktion kan ikke være navnet på en systemvariabel eller en integreret funktion eller kommando. Bemærk: Denne form for Define svarer til at eksekvere udtrykket: udtryk & Funktion(Param1,Param2). |
|
|
Define Funktion(Param1, Param2, ...) = Func
Define Program(Param1, Param2, ...) = Prgm I denne form kan den brugerdefinerede funktion eller programmet eksekvere en blok med flere sætninger. Blok kan en være en enkelt sætning eller en række sætninger på separate linjer. Blok kan også rumme udtryk og kommandoer (som f.eks. If, Then, Else og For). Bemærk indtastning af eksemplet: For instruktioner til at indtaste programmer over flere linjer og definering af funktioner se Beregninger-afsnittet i din produktvejledning. |
|
|
Katalog > |
|
|
Define LibPriv Var = Udtryk Define LibPriv Funktion(Param1, Param2, ...) = Udtryk Define LibPriv Funktion(Param1, Param2, ...) = Func Define LibPriv Program(Param1, Param2, ...) = Prgm Fungerer på samme måde som Define med den undtagelse, at den definerer en privat biblioteksvariabel, funktion, eller et program. Private funktioner og programmer optræder ikke i Katalog. |
|
|
Katalog > |
|
|
Define LibPub Var = Udtryk Define LibPub Funktion(Param1, Param2, ...) = Udtryk Define LibPub Funktion(Param1, Param2, ...) = Func Define LibPub Program(Param1, Param2, ...) = Prgm Fungerer på samme måde som Define med den undtagelse, at den definerer en offentlig biblioteksvariabel, funktion, eller et program. Offentlige funktioner og programmer optræder i Katalog, når biblioteket er gemt eller opdateret. |
|
|
Se @List(), her. |
|
|
|
|
|
|
|
|
Katalog > |
|
|
DelVar Var1[, Var2] [, Var3] ... DelVar Var. Sletter de angivne variable, eller variabelgruppe fra hukommelse. Hvis en eller flere af variablene er låst, viser denne kommando en fejlmeddelelse og sletter kun de ulåste variable. Se |
|
|
DelVar Var. sletter alle elementer i Var. variabelgruppe(så som statistikken stat.nn resultater, eller variable dannet ved brug af LibShortcut()-funktionen). Punktummet (.) i denne form af DelVar -kommandoen begrænser den til at slette en variabelgruppe: den simple variabel Var berøres ikke. |
|
|
Catalog > |
|
|
Returnerer en liste med indholdet i Liste1 med alle tomme (ugyldige) elementer fjernet. Yderligere oplysninger om tomme elementer findes på her. |
|
|
Katalog > |
|||||||
|
det(kvadratMatrix[, Tolerance])Þudtryk Returnerer determinanten af kvadratMatrix. Ethvert matrixelement kan valgfrit behandles som nul, hvis den absolutte værdi er mindre end Tolerance. Denne tolerance anvendes kun, hvis matricen har elementer med flydende decimaler og ikke indeholder symbolske variable, der ikke er tildelt en værdi. Ellers, Tolerance ignoreres.
|
|
|
Katalog > |
|
|
diag(List)Þmatrix diag(rækkeMatrix)Þmatrix diag(kolonneMatrix)Þmatrix Returnerer en matrix med værdierne i argumentlisten eller matricen i hoveddiagonalen. |
|
|
diag(kvadratMatrix)ÞrækkeMatrix Returnerer en rækkematrix, der indeholder elementerne fra hoveddiagonalen i kvadratMatrix. kvadratMatrix skal være kvadratisk. |
|
|
Katalog > |
|
|
dim(Liste)Þheltal Returnerer dimensionen af liste. |
|
|
dim(matrix)Þliste Returnerer dimensionerne af matricen som en liste med to elementer {rækker, kolonner}. |
|
|
dim(Streng)Þheltal Returnerer det antal tegn, der er indeholdt i tegnstrengen Streng. |
|
|
Katalog > |
|
|
Disp udtrykEllerStreng1 [, udtrykEllerStreng2] ... Viser argumenterne i Calculator historikken. Argumenterne vises efter hinanden med små mellemrum som separator. Anvendes hovedsagelig i programmer og funktioner til at sikre at mellemregninger vises. Bemærk indtastning af eksemplet: For instruktioner til at indtaste programmer over flere linjer og definering af funktioner se Beregninger-afsnittet i din produktvejledning. |
|
|
Katalog > |
|||||
|
DispAt int,expr1 [,expr2 ...] ... DispAt tillader dig at angive den linje, hvor det specificerede udtryk eller streng vil blive vist på skærmen. Linjeantallet kan angives som et udtryk. Vær opmærksom på, at linjenummeret ikke gælder hele skærmen, men for området umiddelbart efter kommando/program. Denne kommando tillader dashboard-lignende output fra programmer, hvor værdien af et udtryk eller fra en sensor-aflæsning bliver opdateret på den samme linje. DispAtog Disp kan bruges indenfor det samme program. Bemærk: Det maksimale antal er sat til 8, idet det passer til en hel skærm af linjer på den håndholdte skærm - sålænge linjerne ikke har 2D-matematiske udtryk. Det præcise antal linjer afhænger af indholdet af den viste information.
|
Eksempel
Konkrete eksempler:
|
Fejlbetingelser:
|
Fejlmeddelelse |
Beskrivelse |
|---|---|
|
DispAt linjeantal skal være mellem 1 og 8 |
Udtryk evaluerer linjeantallet udenfor rækken 1-8 (inklusive) |
|
For få argumenter |
Funktionen eller kommandoen mangler et eller flere argumenter. |
|
Ingen argumenter |
Samme som aktuel syntaksfejl-dialog |
|
For mange argumenter |
Begræns argument. Samme fejl som Disp. |
|
Ugyldig datatype |
Første argument skal være et tal. |
|
Ugyldig: DispAt ugyldig |
"Hallo verden" datatypefejl er fundet ugyldig (hvis tilbagekald er defineret) |
|
Katalog > |
|
|
List 4DMS Matrix 4DMS Bemærk: Du kan indsætte denne operator fra computerens tastatur ved at skrive @>DMS. Tolker argumentet som en vinkel og viser tilsvarende tal for grader (D), minutter (M) og sekunder (S/s) (DDDDDD¡MM'SS.ss''). Se mere om DMS-formatet for grader, minutter og sekunder ¡, ', '' på her. Bemærk: 4DMS konverterer fra radianer til grader ved anvendelse i radiantilstanden. Hvis inputtet følges af et grader-symbol ¡, sker der ingen konvertering. Du kan kun anvende 4DMS ved slutningen af en indtastningslinje. |
I vinkeltilstanden Grader:
|
|
Katalog > |
|
|
dotP(Liste1, Liste2)Þudtryk Returnerer “prik” produktet af to lister. |
|
|
dotP(Vektor1, Vektor2)Þudtryk Returner “prik” produktet af to vektorer. Begge skal være rækkevektorer, eller begge skal være kolonnevektorer. |
|
