您在此處:「函數繪圖」應用程式 > 繪製函數

繪製函數

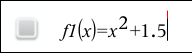
1. 繪圖 輸入/編輯功能表中選取函數

2. 輸入函數的表達式

3. 按下輸入 即可繪製函數圖。

 

© 2006 - 2016 Texas Instruments Incorporated