R
|
Catalogus > |
|
|
Geeft de equivalente θ-coördinaat van het Opmerking: de uitkomst wordt in graden, decimale graden of radialen gegeven, volgens de ingestelde hoekmodus. Opmerking: u kunt deze operator invoeren vanaf het toetsenbord van de computer door R@>Ptheta(...) in te typen. |
In de hoekmodus Graden:
|
|
Catalogus > |
|
|
Geeft de equivalente r-coördinaat van het (x,y)-paar argumenten. Opmerking: u kunt deze operator invoeren vanaf het toetsenbord van de computer door R@>Pr(...) in te typen. |
In de hoekmodus Radialen:
|
|
Catalogus > |
|
|
Converteert het argument naar radialen. Opmerking: u kunt deze operator invoeren vanaf het toetsenbord van de computer door @>Rad in te typen. |
In de hoekmodus Graden:
|
|
Catalogus > |
|
|
rand() ⇒ uitdrukking rand() geeft een willekeurige waarde tussen 0 en 1. rand(AantalPogingen) geeft een lijst met AantalPogingen willekeurige waarden tussen 0 en 1. |
Stelt de seed van het willekeurige getal in.
|
|
Catalogus > |
|
|
randBin(n, p) ⇒ uitdrukking randBin(n, p) geeft een willekeurig reëel getal uit een opgegeven binomiale verdeling. randBin(n, p) AantalPogingen) geeft een lijst met AantalPogingen willekeurige reëele getallen uit een opgegeven binomiale verdeling. |
|
|
Catalogus > |
|
|
randInt(ondergrens,bovengrens) ⇒ uitdrukking randInt(ondergrens,bovengrens) geeft een willekeurig geheel getal binnen het bereik dat wordt bepaald door de gehele getallen ondergrens en bovengrens. randInt(ondergrens,bovengrens ,AantalPogingen) geeft een lijst met AantalPogingen van willekeurige gehele getallen binnen het opgegeven bereik. |
|
|
Catalogus > |
|
|
randMat(aantalRijen, aantalKolommen) ⇒ matrix Geeft een matrix met gehele getallen tussen -9 en 9 met de gespecificeerde afmeting. Beide argumenten moeten vereenvoudigen tot gehele getallen. |
Opmerking: de waarden in deze matrix veranderen elke keer dat u op · drukt. |
|
Catalogus > |
|
|
randNorm(μ, σ) ⇒ uitdrukking randNorm(μ, σ) geeft een decimaal getal uit de gespecificeerde normale verdeling. Dit kan elk reëel getal zijn, maar het zal sterk geconcentreerd zijn in het interval [μ−3•σ, μ+3•σ]. randNorm(μ, σ, AantalPogingen) geeft een lijst met AantalPogingen decimale getallen uit de gespecificeerde normale verdeling. |
|
|
Catalogus > |
|
|
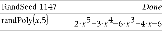
randPoly(Var, Orde)⇒ uitdrukking Geeft een veelterm in Var van de gespecificeerde Orde. De coëfficiënten zijn willekeurige gehele getallen in het bereik −9 t/m 9. De leidende coëfficiënt is niet nul. Orde moet 0–99 zijn. |
|
|
Catalogus > |
|
|
randSamp(Lijst,AantalPogingen[,geenTerugl]) ⇒ lijst Geeft een lijst met een willekeurige steekproef van AantalPogingen uit Lijst met een optie voor met teruglegging (geenTerugl=0), of zonder teruglegging (geenTerugl=1). De standaardinstelling is met teruglegging. |
|
|
Catalogus > |
|
|
RandSeed Getal Als Getal = 0, dan worden de seedwaarden ingesteld op de fabrieksinstellingen voor de generator van toevalsgetallen. Als Getal ≠0, dan wordt dit commando gebruikt om twee seedwaarden te genereren, die worden opgeslagen in systeemvariabelen seed1 en seed2. |
|
|
Catalogus > |
|
|
real(Waarde1) ⇒ waarde Geeft het reële deel van het argument. |
|
|
real(Lijst1) ⇒ lijst Geeft de reële delen van alle elementen. |
|
|
real(Matrix1) ⇒ matrix Geeft de reële delen van alle elementen. |
|
|
Catalogus > |
|
|
Vector ►Rect Opmerking: u kunt deze operator invoeren vanaf het toetsenbord van de computer door @>Rect in te typen. Geeft Vector in rechthoekige vorm [x, y, z]. De vector moet de afmeting 2 of 3 hebben en kan een rij of een kolom zijn. Opmerking: ►Rect is een instructie voor het weergave-format, geen conversiefunctie. U kunt dit commando alleen gebruiken aan het eind van een invoerregel, en ans wordt niet bijgewerkt. Opmerking: zie ook ►Polair, hier. |
|
|
complexeWaarde ►Rect Geeft complexeWaarde weer in rechthoekige vorm a+bi. De complexeWaarde kan elke complexe vorm hebben. Een reiθ-invoer veroorzaakt echter een fout in de hoekmodus Graden. Opmerking: u moet haakjes gebruiken voor een invoer (r∠θ) in poolcoordinaten. |
In de hoekmodus Radialen:
Opmerking: om ∠ te typen selecteert u dit uit de symbolenlijst in de Catalogus. |
|
Catalogus > |
|||||||
|
ref(Matrix1[, Tol]) ⇒ matrix Geeft de rij-echelonvorm van Matrix1. Optioneel wordt elk matrixelement behandeld als nul als de absolute waarde ervan minder is dan Tol. Deze tolerantie wordt alleen gebruikt als de matrix gegevens met een drijvende komma heeft, en geen symbolische variabelen bevat die geen waarde toegekend hebben gekregen. Anders wordt Tol genegeerd.
Vermijd ongedefinieerde elementen in Matrix1. Deze kunnen leiden tot onverwachte resultaten. Bijvoorbeeld: als in de volgende uitdrukking aniet gedefinieerd is, dan verschijnt er een waarschuwingsbericht en wordt de uitkomst weergegeven als:
De waarschuwing verschijnt omdat het gegeneraliseerde element 1/a niet geldig zou zijn voor a=0. U kunt dit vermijden door van tevoren een waarde in a op te slaan of door de beperkende operator ("|") te gebruiken om een waarde te vervangen, zoals te zien is in het volgende voorbeeld.
Opmerking: zie ook rref(), here. |
|
|
Catalogus > |
|||||||||||
|
RefreshProbeVars Geeft u toegang tot sensorgegevens van alle aangesloten sensorsondes in uw TI-Basic-programma.
|
Voorbeeld
Opmerking: dit kan ook worden gebruikt met TI-Innovator™ Hub. |
|
Catalogus > |
|
|
Geeft de rest van het eerste argument ten opzichte van het tweede argument zoals wordt gedefinieerd door de identiteiten: remain(x,0) x |
|
|
Merk op dat daarom geldt: remain(−x,y) − remain(x,y). Het resultaat is ofwel nul, of heeft hetzelfde teken als het eerste argument. Opmerking: zie ook mod(), hier. |
|
|
Catalogus > |
|||||||||||||||||||
|
Programmeeropdracht: Pauzeert het programma en toont een dialoogvenster met het bericht promptString en een invoervak voor het antwoord van de gebruiker. Als de gebruiker een antwoord typt en op OK klikt, wordt de inhoud van het invoervak toegekend aan variabele var. Als de gebruiker klikt op Annuleren, gaat het programma verder zonder invoer te accepteren. Het programma gebruikt de vorige waarde van var als var al gedefinieerd was. Het optionele argument ToonVlag kan een willekeurige uitdrukking zijn.
|
Definieer een programma: Definieer request_demo()=Prgm
Voer het programma uit en typ een antwoord: request_demo()
Resultaat na selectie van OK: Straal: 6/2 |
||||||||||||||||||
|
Het optionele argument statusVar geeft het programma een manier om te vast te stellen hoe de gebruiker het dialoogvenster heeft afgesloten. Merk op dat voor statusVar het argument ToonVlag vereist is.
Met het argument func() kan een programma het antwoord van een gebruiker opslaan als een functiedefinitie. Deze syntax werkt alsof de gebruiker het volgende commando heeft uitgevoerd: Definieer func(arg1, ...argn) = antwoord van gebruiker Het programma kan vervolgens de gedefinieerde functie func() gebruiken. De promptString moet de gebruiker helpen om een passend antwoord van de gebruiker in te voeren, dat de functiedefinitie voltooit. Opmerking: u kunt het commando Om een programma te stoppen dat een Request-commando binnen een oneindige lus bevat:
Opmerking: zie ook |
Definieer een programma: Definieer polynomial()=Prgm
Voer het programma uit en typ een antwoord: polynomial()
Resultaat na het invoeren van x^3+3x+1 en selecteren van OK: Echte oplossingen zijn: {-0.322185} |
|
Catalogus > |
|||||||||||||
|
Programmeeropdracht: Werkt hetzelfde als de eerste syntax van het commando Request, behalve dat het antwoord van de gebruiker altijd wordt geïnterpreteerd als een string. Het commando Request daarentegen interpreteert het antwoord als een uitdrukking, tenzij de gebruiker deze tussen aanhalingstekens zet (““). Opmerking: u kunt het commando RequestStr binnen een door de gebruiker gedefinieerd programma gebruiken, maar niet binnen een functie. Om een programma te stoppen dat een
Opmerking: zie ook |
Definieer een programma: Definieer requestStr_demo()=Prgm
Voer het programma uit en typ een respons: requestStr_demo()
Resultaat na het selecteren van OK (merk op dat het ToonVlag argument van 0 de prompt en het antwoord weglaat uit de geschiedenis):
requestStr_demo() Antwoord heeft 5 tekens. |
|
Catalogus > |
|
|
Return [Uitdr] Geeft Uitdr als het resultaat van de functie. Gebruik dit commando binnen een blok Func...EndFunc. Opmerking: Gebruik Return zonder een argument binnen een blok Prgm...EndPrgm om een programma af te sluiten. Opmerking bij het invoeren van het voorbeeld: Instructies over het invoeren van programma's met meerdere regels en functiedefinities vindt u in het hoofdstuk Rekenmachine van de handleiding van uw product. |
|
|
Catalogus > |
|
|
right(Lijst1[, Aantal]) ⇒ lijst Geeft het meest rechtse Aantal elementen in Lijst1. Als u Aantal weglaat, wordt de hele Lijst1 gegeven. |
|
|
right(bronString[, Aantal]) ⇒ string Geeft het meest rechtse Aantal tekens in de tekenreeks bronString. Als u Aantal weglaat, wordt de hele bronString gegeven. |
|
|
right(Vergelijken) ⇒ uitdrukking Geeft het rechterlid van een vergelijking of ongelijkheid. |
|
Catalogus > |
|
|
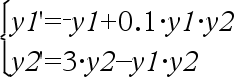
Gebruikt de Runge-Kutta-methode om het stelsel op te lossen Uitdr is het rechterlid dat de gewone differentiaalvergelijking (GDV) definieert. StelselUitdr is een stelsel van rechterleden dat het stelsel van GDV's definiëren (deze komt overeen met de volgorde van afhankelijke variabelen in LijstVanAfhVars). LijstVanUitdr is een lijst van rechterleden die het stelsel van GDV's definiëren (deze komt overeen met de volgorde van afhankelijke variabelen in LijstVanAfhVars). Var is de onafhankelijke variable. LijstVanAfhVars is een lijst van afhankelijke variabelen. {Var0, VarMax} is een lijst met twee elementen die de functie de opdracht geeft om van Var0 tot VarMax te integreren. LijstVanAfhVars0 is een lijst met beginwaarden voor afhankelijke variabelen. Als VarStap wordt uitgewerkt tot een getal dat niet nul is, geldt: sign(VarStap) = sign(VarMax-Var0) en oplossingen worden gegeven bij Var0+i*VarStap voor alle i=0,1,2,… zodanig dat Var0+i*VarStapvalt binnen [var0,VarMax] (mogelijk is er geen oplossingswaarde bij VarMax). als VarStap wordt uitgewerkt naar nul, worden oplossingen gegeven voor de "Runge-Kutta" Var-waarden. fouttol is de fouttolerantie (standaardwaarde is 0,001). |
Differentiaalvergelijking: y'=0,001*y*(100-y) en y(0)=10 Om het hele resultaat te zien drukt u op 5 en gebruikt u vervolgens 7 en 8 om de cursor te verplaatsen. Dezelfde vergelijking met fouttol ingesteld op 1.E−6 Stelsel vergelijkingen:
met y1(0)=2 en y2(0)=5
|
|
Catalogus > |
|
|
root(Waarde) ⇒ wortel
root(Waarde1, Waarde2) geeft de Waarde2-wortel van Waarde1. Waarde1 kan bestaan uit een reële of complexe constante met drijvende komma, een geheel getal of een complexe rationale constante. Opmerking: zie ook N-de wortelsjabloon, hier. |
|
|
Catalogus > |
|
|
rotate(Geheel getal1[,AantalRotaties]) ⇒ geheel getal Roteert de bits in een binair geheel getal. U kunt Geheel getal1 invoeren in elk grondtal; het wordt automatisch geconverteerd naar een 64-bits binaire vorm met een plus- of min-teken. Als de grootte van Geheel getal1 te groot is voor deze vorm, dan wordt een symmetrische modulo-bewerking gebruikt om het binnen het bereik te brengen. Voor meer informatie zie ►Grondtal2, hier. |
In de Bin-grondtalmodus:
Om het hele resultaat te zien drukt u op 5 en gebruikt u vervolgens 7 en 8 om de cursor te verplaatsen. |
|
Als AantalRotaties positief is, dan is de rotatie naar links. Als AantalRotaties negatief is, dan is de rotatie naar rechts. De standaardinstelling is −1 (één bit naar rechts roteren). Bijvoorbeeld in een rotatie naar rechts: |
In de Hex-grondtalmodus:
|
|
Elk bit roteert naar rechts. 0b00000000000001111010110000110101 Het meest rechtse bit roteert naar het meest linkse. Dit levert op: 0b10000000000000111101011000011010 Het resultaat wordt weergegeven volgens de grondtal-modus. |
Belangrijk: om een binair of hexadecimaal getal in te voeren moet u altijd het prefix 0b of 0h gebruiken (nul, niet de letter O). |
|
rotate(Lijst1[,AantalRotaties]) ⇒ lijst Geeft een kopie van Lijst1 die met AantalRotaties elementen naar rechts of links is geroteerd. Verandert Lijst1 niet. Als AantalRotaties positief is, dan is de rotatie naar links. Als AantalRotaties negatief is, dan is de rotatie naar rechts. De standaardinstelling is −1 (één element naar rechts roteren). |
In de Dec-grondtalmodus:
|
|
rotate(String1[,AantalRotations]) ⇒ string Geeft een kopie van String1 die met AantalRotaties tekens naar rechts of links is geroteerd. Verandert String1 niet. Als AantalRotaties positief is, dan is de rotatie naar links. Als AantalRotaties negatief is, dan is de rotatie naar rechts. De standaardinstelling is −1 (één teken naar rechts roteren). |
|
|
Catalogus > |
|
|
round(Waarde1[, cijfers]) ⇒ waarde Geeft het argument, afgerond op het gespecificeerde aantal cijfers achter de komma. cijfers moet een geheel getal zijn in het bereik 0-12. Als cijfers niet is inbegrepen, wordt het argument afgerond op 12 significante cijfers. Opmerking: de modus voor cijferweergave kan invloed hebben op hoe dit wordt weergegeven. |
|
|
round(Lijst1[, cijfers]) ⇒ lijst Geeft een lijst van elementen, afgerond op het gespecificeerde aantal cijfers. |
|
|
round(Matrix1[, cijfers]) ⇒ matrix Geeft een matrix met de elementen, afgerond op het gespecificeerde aantal cijfers. |
|
|
Catalogus > |
|
|
rowAdd(Matrix1, rIndex1, rIndex2) ⇒ matrix Geeft een kopie van Matrix1 met rij rIndex2 vervangen door de som van de rijen rIndex1 en rIndex2. |
|
|
Catalogus > |
|
|
rowDim(Matrix) ⇒ uitdrukking Geeft het aantal rijen in Matrix. Opmerking: zie ook colDim(), hier. |
|
|
Catalogus > |
|
|
rowNorm(Matrix) ⇒ uitdrukking Geeft het maximum van de sommen van de absolute waarden van de elementen in de rijen in Matrix. Opmerking: alle matrixelementen moeten vereenvoudigen tot getallen. Zie ook colNorm(), hier. |
|
|
Catalogus > |
|
|
rowSwap(Matrix1, rIndex1, rIndex2) ⇒ matrix Geeft Matrix1 met rijen rIndex1 en rIndex2verwisseld. |
|
|
Catalogus > |
|||||||
|
rref(Matrix1[, Tol]) ⇒ matrix Geeft de gereduceerde rij-echelonvorm van Matrix1. |
|
||||||
|
Optioneel wordt elk matrixelement behandeld als nul als de absolute waarde ervan minder is dan Tol. Deze tolerantie wordt alleen gebruikt als de matrix gegevens met een drijvende komma heeft, en geen symbolische variabelen bevat die geen waarde toegekend hebben gekregen. Anders wordt Tol genegeerd.
Opmerking: zie ook ref(), here. |



